优先发表栏目展示本刊经同行评议确定正式录用的文章。这些文章目前处在编校过程,尚未确定卷期及页码,但可以根据DOI进行引用。本栏目内容尚未正式出版,未经编辑部许可,不得转载。
当前状态:
,最新更新时间:
doi:10.11833/j.issn.2095-0756.20250170
摘要:
目的探讨粤北石漠化地区的群落特征与碳储量的关系,揭示影响碳储量的关键群落特征指标。
方法以粤北轻度、中度和重度3种石漠化程度的森林群落为研究对象,通过典型取样,各选取3个30 m×40 m植物样地,运用单因素方差分析、Pearson相关性分析、随机森林模型等方法,分析粤北石漠化地区的植物群落特征、碳储量特征及两者关系。
结果①石漠化地区的植物群落优势树种为秀丽锥
Castanopsis jucunda、马尾松
Pinus massoniana、麻栎
Quercus acutissima等, 中度石漠化群落物种多样性最高。② 3种石漠化程度的森林群落径级结构均呈现倒“J”型,其中径级Ⅰ个体占主导地位(轻度石漠化占53.8%、中度石漠化占67.8%、重度石漠化占77.4%),垂直结构以高阶Ⅰ、高阶Ⅱ为主,随着石漠化的加重,群落结构趋于简化;平均林分密度从大到小依次为重度石漠化群落、中度石漠化群落、轻度石漠化群落。③ 3种森林群落碳储量从大到小依次为中度石漠化群落、 轻度石漠化群落、重度石漠化群落,群落间碳储量差异未达显著水平,碳储量组分中枯死木、凋落物碳储量最少。④物种多样性与碳储量特征无显著相关;胸径和树高与碳储量特征呈显著正相关(
P<0.05);林分密度与碳储量特征无显著相关;基岩裸露度与土壤碳储量呈极显著负相关(
P<0.01),与总碳储量无显著相关;物种优势度指数、胸径、树高对碳储量相对重要性分别为21.23、19.95和19.55。
结论粤北石漠化地区森林群落物种多样性以中度石漠化群落最高,群落中物种径级总体偏小,垂直结构分层不明显。优势种碳储量是群落碳储量的主要组成部分,群落结构对碳储量的影响占据主导地位。 图6表5参40
当前状态:
,最新更新时间:
doi:10.11833/j.issn.2095-0756.20250346
摘要:
目的森林碳储量在全球气候系统中扮演着重要角色,对实现碳达峰、碳中和目标具有重要的参考价值。模型方法是估测森林碳储量的有效手段,而提高模型预估精度是当前需要重点解决的问题。
方法结合国家森林资源调查数据和Landsat 7、8遥感影像,分别利用时空地理加权回归(GTWR)、随机森林(RF)、梯度提升回归树(GBRT)以及组合模型GTWR-RF、GTWR-GBRT进行建模,选出最优模型估测2012—2021年“三江并流”区域的森林碳储量。
结果①GTWR模型同时考虑了空间和时间维度,GBRT在解释空间异质性方面存在明显局限,单一模型应用时解释力仍有限,而两阶段顺序混合模型组合的表现优于单一模型,在解决空间异质性及碳储量与变量之间的非线性问题上效果更佳;②GTWR-GBRT模型拟合效果最佳,决定系数(
R
2)达0.98,预测精度(
A)为0.90,相对均方根误差(
r
RMSE)为5.91,优于其他4个模型,表明在估算森林碳储量时,同时考虑时空异质性和非线性的组合是必要的;③研究区森林碳储量呈空间正相关性,利用GTWR-GBRT模型估测2012—2021年森林碳储量,森林碳储量总体分布并不均匀,主要分布在高海拔地区,呈现西高东低、局部偏高的分布格局。
结论相较于各类单一模型及其他组合模型,GTWR-GBRT组合模型表现出最优的拟合与预测性能,说明融合时空特征与非线性的两阶段混合模型能更精准地估算森林碳储量。图3表6参30
当前状态:
,最新更新时间:
doi:10.11833/j.issn.2095-0756.20250249
摘要:
土壤无机碳(SIC)是土壤碳库的重要组成部分,其固存和损失对全球碳循环和气候变化具有深远影响。中国城市化率正不断上升,城市生态系统成为最受关注的生态系统之一。城市绿地作为城市生态系统的重要组成部分,其土壤碳循环与气候变化和生态系统服务功能密切相关,对城市化的响应和反馈必然会成为科学界研究的焦点和重点。然而,目前对城市绿地土壤无机碳循环的认知仍相对匮乏。本文讨论了城市生态系统中的人为活动(城市化进程中土地管理和建设活动等)可能对土壤无机碳产生的影响,系统概述了:①城市化背景下城市绿地土壤无机碳的固存、损失及其影响因素。②土壤物理性质、氮输入、土壤pH和盐分变化对城市绿地土壤无机碳溶解—沉淀平衡的驱动作用。③土壤动物活动和微生物群落变化对城市绿地土壤无机碳形成过程的影响。未来需深入探究城市化背景下土壤无机碳动态变化的驱动机制,不仅能够进一步弥补城市绿地土壤无机碳方面的研究不足,还有助于为城市生态系统碳循环理论完善和生态系统功能优化提供科学支撑。表1参83
土壤无机碳(SIC)是土壤碳库的重要组成部分,其固存和损失对全球碳循环和气候变化具有深远影响。中国城市化率正不断上升,城市生态系统成为最受关注的生态系统之一。城市绿地作为城市生态系统的重要组成部分,其土壤碳循环与气候变化和生态系统服务功能密切相关,对城市化的响应和反馈必然会成为科学界研究的焦点和重点。然而,目前对城市绿地土壤无机碳循环的认知仍相对匮乏。本文讨论了城市生态系统中的人为活动(城市化进程中土地管理和建设活动等)可能对土壤无机碳产生的影响,系统概述了:①城市化背景下城市绿地土壤无机碳的固存、损失及其影响因素。②土壤物理性质、氮输入、土壤pH和盐分变化对城市绿地土壤无机碳溶解—沉淀平衡的驱动作用。③土壤动物活动和微生物群落变化对城市绿地土壤无机碳形成过程的影响。未来需深入探究城市化背景下土壤无机碳动态变化的驱动机制,不仅能够进一步弥补城市绿地土壤无机碳方面的研究不足,还有助于为城市生态系统碳循环理论完善和生态系统功能优化提供科学支撑。表1参83
当前状态:
,最新更新时间:
doi:10.11833/j.issn.2095-0756.20250420
摘要:
目的研究兰州百合
Lilium davidiivar.
unicolor与不同品系观赏百合
Lilium杂交亲和性,为培育多用途优良百合新品种提供种质资源和技术支撑。
方法对所有供试百合花粉活力进行检验,根据结果配置以兰州百合为父本,‘虎宝宝’ ‘Tiger Babies’、‘紫梦’ ‘Purple Dream’、‘黑色魅力’ ‘Black Charm’、‘甜糖’ ‘Sweet Sugar’、‘眼线’ ‘Eye Liner’、‘小玩意’ ‘Gizmo’、‘守望’ ‘Watch Up’为母本,以及以兰州百合为母本,‘紫梦’‘黑色魅力’‘守望’为父本的10个杂交组合。采用直接授粉、切割柱头授粉、1 g·L
−1萘乙酸(NAA)水溶液涂抹柱头授粉3种方式进行杂交,结合花粉管生长和结实情况评价组合亲和性,并利用简单重复序列标记(SSR)技术对胚培养获得的杂种实生苗进行真实性检验。
结果①杂交亲和性评价表明:‘甜糖’ ‘黑色魅力’作为母本与兰州百合杂交亲和性较高,‘眼线’ ‘虎宝宝’ ‘紫梦’作为母本与兰州百合杂交亲和性次之,而‘守望’和‘小玩意’作为母本与兰州百合杂交亲和性低。②直接授粉操作简便且普适性强。③SSR鉴定结果显示:‘甜糖’× 兰州百合、‘黑色魅力’× 兰州百合、‘虎宝宝’× 兰州百合、‘眼线’× 兰州百合、兰州百合 ב黑色魅力’、兰州百合 ב紫梦’的杂交后代共145株实生苗均为真杂种。
结论兰州百合与不同品系百合亲和性存在差异,本研究筛选出了高亲和亲本‘甜糖’ ‘黑色魅力’;切割柱头授粉可改善‘虎宝宝’× 兰州百合的坐果率;SSR标记技术可以实现对杂种苗的早期准确鉴定。图2表6参34
当前状态:
,最新更新时间:
doi:10.11833/j.issn.2095-0756.20250455
摘要:
木本植物的高效遗传转化与无性繁殖是实现其遗传改良与产业化的核心环节,然而当前器官发生型再生体系在成年材料中普遍存在生根困难、褐化严重及强基因型依赖性等技术瓶颈,严重制约了相关育种与繁育进程。本研究系统梳理了影响再生效率的关键外部因素,包括外植体选择、培养基优化以及植物生长调节剂的配比与处理时序。在分子机制层面,重点阐述了从愈伤诱导到不定根/不定芽形成过程中的细胞与分子调控机制,揭示了生长素信号(ARF-WOX-LBD通路)调控不定根发生以及细胞分裂素信号(ARR-WUS-CLV3环路)调控不定芽建成的核心机制。针对成年材料生根困难和高酚品种褐化严重等技术瓶颈,提出了结合生理与表观遗传调控的综合对策。本研究分析指出:木本植物器官发生能力受外部培养条件、内部激素通路与表观遗传状态的共同调控,成年材料再生障碍的本质在于再生相关基因在表观层面被系统性抑制。未来通过深化机制解析与技术创新,将有望系统突破木本植物再生障碍,为林木精准育种与基因功能研究提供体系支撑。图1表2参82
木本植物的高效遗传转化与无性繁殖是实现其遗传改良与产业化的核心环节,然而当前器官发生型再生体系在成年材料中普遍存在生根困难、褐化严重及强基因型依赖性等技术瓶颈,严重制约了相关育种与繁育进程。本研究系统梳理了影响再生效率的关键外部因素,包括外植体选择、培养基优化以及植物生长调节剂的配比与处理时序。在分子机制层面,重点阐述了从愈伤诱导到不定根/不定芽形成过程中的细胞与分子调控机制,揭示了生长素信号(ARF-WOX-LBD通路)调控不定根发生以及细胞分裂素信号(ARR-WUS-CLV3环路)调控不定芽建成的核心机制。针对成年材料生根困难和高酚品种褐化严重等技术瓶颈,提出了结合生理与表观遗传调控的综合对策。本研究分析指出:木本植物器官发生能力受外部培养条件、内部激素通路与表观遗传状态的共同调控,成年材料再生障碍的本质在于再生相关基因在表观层面被系统性抑制。未来通过深化机制解析与技术创新,将有望系统突破木本植物再生障碍,为林木精准育种与基因功能研究提供体系支撑。图1表2参82
当前状态:
,最新更新时间:
doi:10.11833/j.issn.2095-0756.20250196
摘要:
目的探索浙江省岱山岛森林群落树种的组成和结构,为海岛森林群落的修复提供树种组合模式参考。
方法利用样方调查法,调查样地(100 m×100 m)内胸径≥1 cm的木本植物,分析其树种组成、区系成分、径级结构、物种多样性、树种组合等特征。
结果岱山岛样地内共有木本植物8 767株,隶属18科28属29种,平均树高为4.11 m,平均胸径为4.35 cm。麻栎
Quercus acutissima、樟树
Cinnamomum camphora和天仙果
Ficus erecta等为该群落的主要优势树种。在科水平上,群落树种的世界分布占27.78%,热带成分占50.00%,温带成分占22.22%;在属水平上,热带成分占64.29%,温带成分占28.57%,中国特有占7.14%。样地树种径级结构呈倒“J”型分布,小径级和较小径级的植物数量占比达91.80%。群落Shannon-Wiener多样性指数、Pielou均匀度指数、Simpson多样性指数和Margalef丰富度指数分别为1.28、0.38、0.50、3.08。群落有樟树-麻栎、水杉
Metasequoia glyptostroboides-麻栎、麻栎-天仙果等具有较好恢复力的树种组合。
结论岱山岛森林群落以麻栎、樟树、天仙果、细齿叶柃
Eurya nitida、枸骨
Ilex cornuta等为优势树种,径级结构呈现倒“J”型分布。该群落植物区系以热带成分占主导,群落整体上树种分布不均匀,形成了不同的树种组合。图4表4参30
当前状态:
,最新更新时间:
doi:10.11833/j.issn.2095-0756.20250192
摘要:
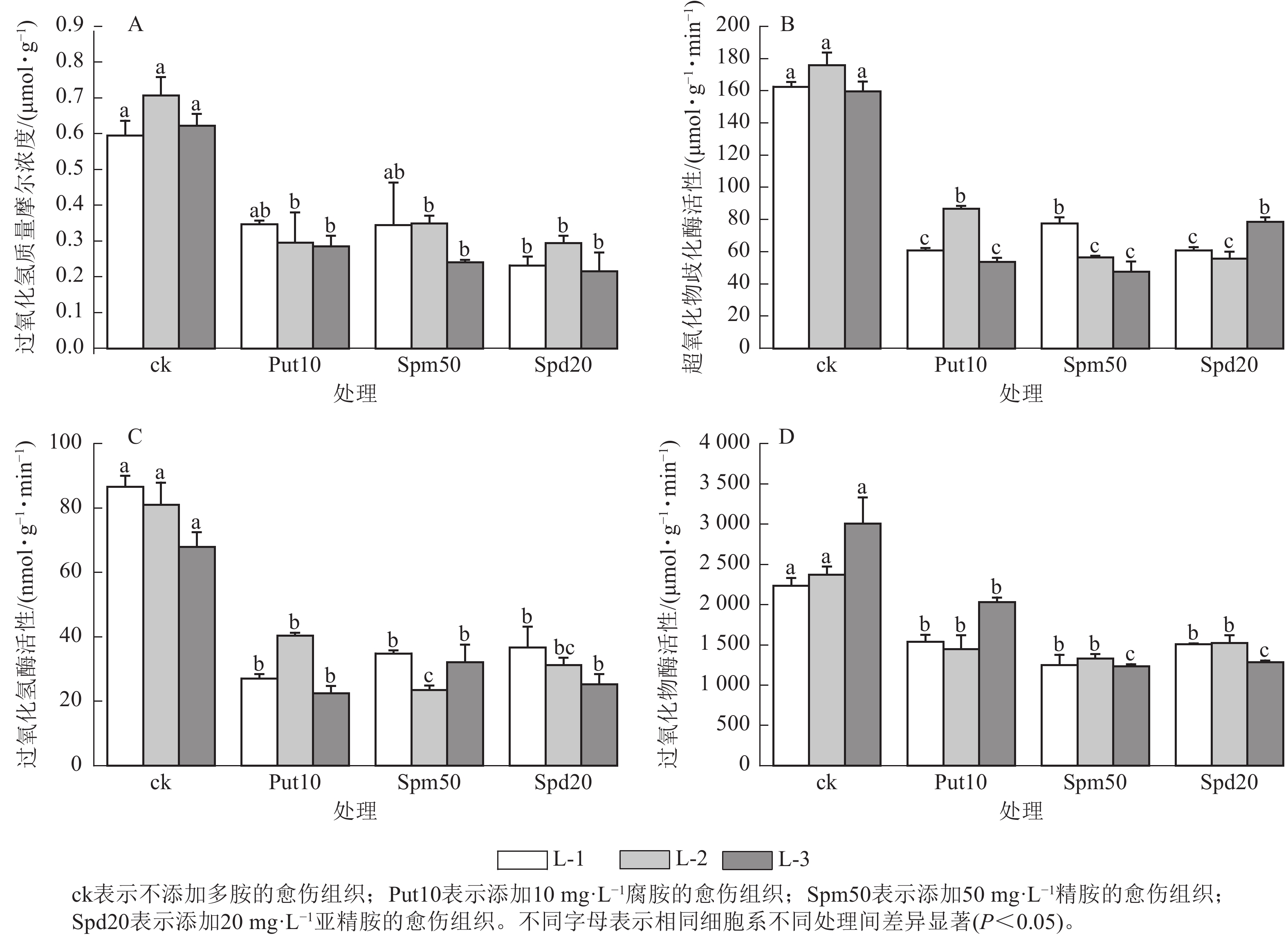
目的阐明添加外源多胺(PAs)对红松
Pinus koraiensis胚性愈伤组织生理生化的影响,以提高红松胚性愈伤组织的增殖能力。
方法在增殖培养基中分别添加不同质量浓度的腐胺、精胺和亚精胺,统计红松胚性愈伤组织的增殖率,分析细胞内的过氧化氢(H
2O
2)、超氧化物歧化酶(SOD)、过氧化氢酶(CAT)、过氧化物酶(POD)、吲哚乙酸(IAA)、脱落酸(ABA)、乙烯(ETH)以及腐胺、精胺和亚精胺水平的动态变化。
结果外源多胺对红松胚性细胞增殖起到促进作用,其中5~30 mg·L
−1腐胺、40~50 mg·L
−1精胺和10~20 mg·L
−1亚精胺促进效果最优,增殖率分别提升了2.22%~79.27%、80.56%~141.12%、61.25%~96.21%。此外,外源添加多胺显著降低了细胞内H
2O
2质量摩尔浓度和抗氧化酶活性(
P<0.05),提高细胞内源多胺和激素水平。外源添加50 mg·L
−1精胺能够显著提升细胞内源多胺水平和激素水平(
P<0.05),外源添加10 mg·L
−1腐胺可显著提升细胞内乙烯和精胺质量浓度(
P<0.05),而外源添加20 mg·L
−1亚精胺则有效促进吲哚乙酸、腐胺和精胺质量浓度的增加。
结论添加适当质量浓度的外源多胺能提高内源多胺水平、激素含量和抗氧化能力,促进红松胚性愈伤组织的增殖。图4参35
当前状态:
,最新更新时间:
doi:10.11833/j.issn.2095-0756.20250219
摘要:
发生林火的坡面会被林火灰烬层覆盖,这是火后坡面水文侵蚀过程改变的重要原因。由于林火灰烬覆盖对坡面水文和侵蚀过程的影响存在多重效果相反的影响机制,叠加效应下其影响结果具有高度变异性和条件依赖性。通过回顾相关研究文献,总结了林火灰烬对坡面水文和侵蚀过程的影响机制和作用。林火灰烬层覆盖在土壤表面形成火灰-土壤双层系统。林火灰烬的“灰毯”效应或封闭效应可增加或减少坡面渗透性和持水性,其易蚀特性或结壳封闭可降低或增加坡面的抗蚀性。林火灰烬层在坡面上侵蚀迁移,可能形成火灰斑块或火灰泥浆而降低或增加地表径流侵蚀能力。林火灰烬颗粒及其水溶液进入土壤能够改变土壤理化性质,可能堵塞土壤孔隙,降低坡面入渗能力;促进土壤团聚体形成,增强坡面抗蚀能力;通过施肥效应或生物毒性,促进或抑制坡面生态恢复,产生长期影响。根据不同的林火、降水和土壤条件,识别特定条件下林火灰烬对坡面水文侵蚀过程的主导影响机制,有助于提高火后水文侵蚀模拟能力和相关风险预测的准确性。参73
发生林火的坡面会被林火灰烬层覆盖,这是火后坡面水文侵蚀过程改变的重要原因。由于林火灰烬覆盖对坡面水文和侵蚀过程的影响存在多重效果相反的影响机制,叠加效应下其影响结果具有高度变异性和条件依赖性。通过回顾相关研究文献,总结了林火灰烬对坡面水文和侵蚀过程的影响机制和作用。林火灰烬层覆盖在土壤表面形成火灰-土壤双层系统。林火灰烬的“灰毯”效应或封闭效应可增加或减少坡面渗透性和持水性,其易蚀特性或结壳封闭可降低或增加坡面的抗蚀性。林火灰烬层在坡面上侵蚀迁移,可能形成火灰斑块或火灰泥浆而降低或增加地表径流侵蚀能力。林火灰烬颗粒及其水溶液进入土壤能够改变土壤理化性质,可能堵塞土壤孔隙,降低坡面入渗能力;促进土壤团聚体形成,增强坡面抗蚀能力;通过施肥效应或生物毒性,促进或抑制坡面生态恢复,产生长期影响。根据不同的林火、降水和土壤条件,识别特定条件下林火灰烬对坡面水文侵蚀过程的主导影响机制,有助于提高火后水文侵蚀模拟能力和相关风险预测的准确性。参73
当前状态:
,最新更新时间:
doi:10.11833/j.issn.2095-0756.20250182
摘要:
目的针对环境废水治理中偶氮类阴离子染料降解难、传统吸附材料环境适应性差等问题,本研究旨在开发一种基于农林生物质(木质素)新型复合水凝胶,实现染料高效吸附,为绿色水处理材料制备提供新策略。
方法通过自由基共聚法合成一种新型木质素基复合水凝胶(HPAAM-VIM-LS),利用扫描电子显微镜(SEM)、傅立叶变换红外光谱仪(FT-IR)、X射线光电子能谱(XPS)和X射线衍射(XRD)表征材料微观结构与化学组成;进行热重分析、拉伸/压缩实验评估热稳定性与力学性能;通过吸附实验探究HPAAM-VIM-LS对阴离子染料刚果红(CR)的吸附性能及循环利用性,并结合吸附动力学与等温线模型阐明吸附机制。
结果HPAAM-VIM-LS呈现三维多孔网络结构,表面富含羟基、羧基及咪唑阳离子基团赋予材料丰富的活性位点,材料热分解温度大于189.9 ℃,拉伸应变达746%,弹性模量为15.15 MPa。在pH 6.0、温度35 ℃条件下,HPAAM-VIM-LS对CR的去除率达96.4%,最大吸附量为490.58 mg·g
−1,且在pH 5.0~8.0、温度25~55 ℃范围内保持高效吸附。结构解析表明:吸附机制由静电吸引、氢键、π—π堆叠、孔隙填充及配位作用协同驱动,符合准二级动力学模型,受颗粒外/内扩散与化学吸附共同控制。HPAAM-VIM-LS 7次吸附-解吸循环后,CR去除率仍保持85%以上。
结论本研究成功制备了一种环境友好型木质素基复合水凝胶,它兼具高吸附容量、宽环境适应性和优异机械性能。本研究可为木质素资源化利用及染料废水治理提供了高效、可持续的解决方案。图11表3参29
当前状态:
,最新更新时间:
doi:10.11833/j.issn.2095-0756.20250146
摘要:
目的浙江省是中国最早开展农业文化遗产挖掘和保护工作的省份,浙江省的中国重要农业文化遗产和全球重要农业文化遗产数量均居中国首位。研究浙江省农业文化遗产的空间分布格局和影响因素,对推动中国农业遗产保护和可持续利用具有重要借鉴意义。
方法基于浙江省农业农村厅2024年认定的205处农业文化遗产,利用ArcGIS 10.2分析其空间格局、形态和集中程度,结合浙江省的地形对农业文化遗产进行空间分类,并分析其影响因素。
结果浙江省农业文化遗产空间分布呈现整体分散、小范围多点聚集的形态。农业文化遗产在市域尺度上集中程度较高,主要集中在丽水市和衢州市;在县域尺度上,龙游县最为集中。浙江省农业文化遗产在空间上分为浙西中山丘陵—高山农业文化遗产区、中部金衢盆地—平原与盆地农业文化遗产区、浙北平原—水乡农业文化遗产区、浙东丘陵—复合农业文化遗产区、东南沿海平原与滨海岛屿—海洋渔类农业文化遗产区。
结论浙江省农业文化遗产空间分布格局差异主要受高程、气候、水系等自然因素以及经济水平、人口、城镇化率、历史文化等社会因素的综合影响。图6参37
当前状态:
,最新更新时间:
doi:10.11833/j.issn.2095-0756.20250366
摘要:
目的揭示梅花
Prunus mume株型性状形成的分子机制,明确AP2/ERF转录因子家族在梅花分枝调控中的作用,以期为梅花株型改良提供理论依据和候选基因。
方法通过基因克隆技术获得
PmERF011基因序列,采用生物信息学方法分析其系统进化关系及启动子顺式作用元件;利用实时荧光定量PCR检测该基因在梅花不同组织(根、茎、叶)中的时空表达模式;构建过表达载体并转化拟南芥
Arabidopsis thaliana,通过表型观察和统计分析验证其转基因功能。
结果
PmERF011属于AP2/ERF转录因子家族,与蔷薇科Rosaceae近缘物种(桃
P. persica、杏
P. armeniaca)高度同源,但与拟南芥、水稻
Oryza sativa等差异显著;启动子顺式作用元件分析发现:
PmERF011含茉莉酸甲酯与生长素响应元件;组织特异性检测结果显示:
PmERF011在根与茎木质部中表达量最高,叶片中表达量较低。转基因拟南芥结果表明:过表达
PmERF011显著增加了拟南芥侧枝数量(
P<0.05)。
结论
PmERF011具有促进分枝增多的功能,是梅花和李属
Prunus植物株型改良的候选基因。图7表2参46
当前状态:
,最新更新时间:
doi:10.11833/j.issn.2095-0756.20250279
摘要:
目的对菜心
Brassica campestrisvar.
parachinensis叶绿体基因组进行组装、注释和分析,揭示其与其他十字花科Brassicaceae植物的系统进化关系。
方法利用Illumina NovaSeq 6000平台对菜心叶绿体全基因组测序,利用生物信息学的手段分析其叶绿体基因组结构、重复序列、核苷酸多样性、密码子偏好性,以及结合其他25种十字花科植物叶绿体基因组序列构建系统发育关系。
结果菜心叶绿体基因组全长为153 482 bp,GC含量为36.36%,是典型的四分体结构;共注释到132个编码基因,其中86个蛋白质编码基因、37个tRNA基因、8个rRNA基因,以及1个假基因;密码子偏好性分析结果显示:亮氨酸的使用频率最高,相对同义密码子使用度大于1的密码子有31个,多以A或者U结尾;共有37个散在重复序列,315个简单重复序列,其中单核苷酸重复占比最高,为72.70%;小单拷贝区的核苷酸多样性最高,反向重复区的核苷酸多样性最低;系统发育分析结果显示:菜心与其他白菜类蔬菜亲缘关系最近。
结论菜心叶绿体基因组为典型的四分体结构,相对保守,与普通白菜
B. rapavar.
chinensis、紫菜薹
B. rapavar.
purpuraria、大白菜
B. rapasubsp.
pekinensis等亲缘关系密切。图5表3参39
当前状态:
,最新更新时间:
doi:10.11833/j.issn.2095-0756.20250291
摘要:
目的探讨不同火烈度对林下植被物种多样性和土壤理化性质的影响,对火烧迹地森林生态系统恢复及可持续经营具有重要意义。
方法以山西太岳山油松
Pinus tabuliformis林火烧后4 a的迹地为研究对象,采用野外调查和室内分析相结合的方法,研究不同火烈度(低烈度火烧、中烈度火烧、高烈度火烧和未过火)样地林下植被物种多样性和土壤理化性质的差异性和变化趋势,以及火后物种多样性对土壤理化性质的短期响应。
结果①共记录维管束植物50种,分属于20科43属,草本层低烈度火烧样地和灌木层中烈度火烧样地物种数高于未过火样地。②灌木层中,Shannon-Wiener指数、Simpson指数、Margalef指数从大到小依次均为中烈度火烧样地、高烈度火烧样地、未过火样地、低烈度火烧样地,Pielou指数从大到小依次为高烈度火烧样地、中烈度火烧样地、未过火样地、低烈度火烧样地。草本层中,Shannon-Wiener指数和Margalef指数在低烈度火烧样地较未过火样地分别显著增加了21.38%和47.55%(
P<0.05),Simpson指数和Pielou指数在高烈度火烧样地较未过火样地分别显著增加了20.00%和19.40%(
P<0.05)。③不同火烈度极显著影响土壤理化性质(
P<0.01),土壤含水率、总孔隙度随着火烈度升高而下降,全磷、全钾质量分数随着火烈度升高呈先下降再上升的变化趋势,在中烈度火烧样地最低。土壤总孔隙度以及土壤有机碳、全氮、速效钾质量分数在不同火烈度样地均随土层的加深而降低。④冗余分析结果表明:0~10 cm土层中的土壤含水率、毛管孔隙度、全钾质量分数和10~20 cm土层中的速效磷质量分数、土壤总孔隙度、速效钾质量分数是显著影响灌木层、草本层物种多样性的土壤因子。
结论低烈度火烧、中烈度火烧对油松林群落的植被更新具有一定促进作用,土壤含水率和速效磷等理化性质是驱动火后物种多样性分异的关键因子。图2表4参48
当前状态:
,最新更新时间:
doi:10.11833/j.issn.2095-0756.20250158
摘要:
目的通过在种植苦草
Vallisneria natans的基质底泥上用鹅卵石基质以不同面积覆盖,探讨苦草在不同生长环境下净化水体污染的能力及效果,为水生态修复及应用提供数据支持。
方法2024年5—10月,以砂壤土为栽种苦草的基质底泥,鹅卵石为覆盖基质,通过人工栽植试验,分别在鹅卵石覆盖率为0、30%、60%、70%、80%、90%的条件下,研究苦草对水体中的总氮、总磷和砷的净化效果。
结果在不同面积的鹅卵石基质覆盖下,苦草对水中总氮、总磷和砷的净化均存在差异。具体表现为随着鹅卵石覆盖率的增高,水中污染物去除率总体呈先上升后下降再上升的趋势。苦草本身是净化水质的主要途径,此外,污染物沉淀以及基质底泥和鹅卵石的吸附作用也对水质净化起到一定作用。总氮去除率在鹅卵石覆盖率为30%时最高,质量浓度从最初的31.33 mg·L
−1下降至1.59 mg·L
−1,去除率为94.93%;总磷去除率在鹅卵石覆盖率为30%时最高,质量浓度从最初的1.56 mg·L
−1下降至0.04 mg·L
−1,去除率为97.43%;砷去除率在鹅卵石覆盖率为30%时最高,质量浓度从最初的967.33 μg·L
−1下降至4.00 μg·L
−1,去除率为99.59%。方差分析表明:鹅卵石基质不同覆盖率对水体中的总氮、总磷和砷的去除效果具有显著差异(
P<0.05)。
结论鹅卵石基质不同覆盖率会对苦草净化水质的效果产生影响。当鹅卵石基质覆盖率为30%时,苦草对水体中的总氮、总磷、砷的去除效果最好。图4表3参37
当前状态:
,最新更新时间:
doi:10.11833/j.issn.2095-0756.20250206
摘要:
目的探究城市森林不同植被类型土壤呼吸的时空动态特征及其影响因素,以期为区域碳预估提供理论参考。
方法以北京奥林匹克森林公园为研究对象,采用便携式土壤呼吸测量仪,于2023年4—10月每月测定该公园26个样地(乔木群落与乔灌混交群落各13个)的土壤呼吸、土壤温度和土壤含水量,并结合高分辨率归一化植被指数,对土壤呼吸的季节与空间变化及其影响因素进行拟合分析。
结果①土壤呼吸和土壤温度的季节动态一致,均呈现先上升后下降单峰变化。乔木群落土壤呼吸均值为4.83 μmol·m
−2·s
−1,大于乔灌混交群落的4.42 μmol·m
−2·s
−1。②土壤温度可以分别解释乔木群落和乔灌混交群落土壤呼吸季节变化的90.0%和73.0%, 土壤含水量可以分别解释28.0%和37.0%,综合考虑温度−水分的双因子模型可以分别解释93.0%和82.0%。③乔灌混交群落土壤呼吸的空间变异系数与土壤含水量变化趋势相似,两者极显著正相关[决定系数(
R
2)为0.88,
P<0.01],乔木群落土壤呼吸空间变化与土壤温度之间呈现极显著的非线性关系(
R
2=0.65,
P<0.01)。④土壤呼吸对土壤温度的响应存在时空差异,时间上为近似直线增加,空间上为非线性响应,而土壤呼吸虽然时间和空间上都随土壤含水量的增加而增加,但其增加速率存在差异。
结论城市森林土壤呼吸对环境因素的响应存在时空差异:土壤温度是主导城市森林土壤呼吸季节变化的主要因素,城市森林土壤呼吸空间变化主要影响因素在不同植被类型间存在差异。图6表2参38
当前状态:
,最新更新时间:
doi:10.11833/j.issn.2095-0756.20250246
摘要:
目的探索侧柏
Platycladus orientalis幼苗对弱光环境的适应机制,阐明外源硅对遮光胁迫的缓解效应。
方法以3年生侧柏幼苗为材料,采用黑尼龙网覆盖,设置自然光、低度遮光、中度遮光和高度遮光的4种遮光梯度,结合0 (Si
0)和2 mmol·L
−1(Si
1)硅酸钠外源硅处理水平,两者随机组合为8种处理。测定不同处理侧柏幼苗生长指标以及光合色素、渗透调节和抗氧化等的生理指标,分析幼苗弱光适应特征及硅的调控效应。
结果①遮光处理显著抑制侧柏基径生长,抑制幅度达5.18%~40.51% (
Ρ<0.05);施硅处理促进基径生长,增粗幅度达4.72%~16.67%。遮光环境可促进株高生长,但在自然光和中低度遮光条件下,施硅处理抑制株高生长。说明在一定的光强范围内施硅处理具有“基径增粗-顶端抑制”双向调控效应。②光强降低,叶绿素a和叶绿素b质量分数总体呈上升趋势,叶绿素a/b总体呈下降趋势,有利于在低光强时提升光合系统对光的捕获效率。③遮光诱导渗透调节物质动态响应(可溶糖、游离脯氨酸质量分数先升后降,可溶性蛋白质量分数先降后升),增强抗氧化酶保护[过氧化物酶和过氧化氢酶活性升高,丙二醛质量摩尔浓度显著降低(
Ρ<0.01) ];外源硅强化渗透调节和抗氧化能力,提升了可溶性糖、蛋白质质量分数及过氧化物酶活性,降低了丙二醛质量摩尔浓度。
结论侧柏幼苗利用叶绿素合成增强光捕获能力,激活抗氧化酶防御以提高耐荫性;外源硅能不同程度地优化形态建成,并通过提高渗透调节和抗氧化特性,提升幼苗抵御弱光胁迫的能力。图4表2参39
当前状态:
,最新更新时间:
doi:10.11833/j.issn.2095-0756.20250275
摘要:
目的探明晋西黄土区不同生长阶段刺槐
Robinia pseudoacacia人工林水源涵养功能的差异,为林分水源涵养能力提升及刺槐林的管理提供科学依据。
方法以山西省临汾市吉县蔡家川流域刺槐人工林幼龄林、中龄林、近熟林、成熟林、过熟林(林龄分别为15、23、27、34、41 a)为对象,测定刺槐林垂直方向各层(林冠层、凋落物层、土壤层)的水源涵养指标(林冠截留率、凋落物持水能力、土壤物理性质和持水特性),基于熵权-逼近理想解排序(TOPSIS)法综合评价其水源涵养功能。
结果①叶面积指数、林冠截留率随龄组攀升呈先升后降趋势,中龄林时最高,在达到成熟林后基本维持稳定。②中林龄凋落物层有最高的蓄积量和最大持水量,而有效拦蓄量在成熟林分中表现更佳;③幼龄林的土壤非毛管持水能力和饱和持水能力最佳,中龄林的毛管持水量最高。④熵权-TOPSIS法计算得出刺槐林地土壤层对水源涵养贡献最大,水源涵养能力整体上随龄组攀升先增强后减弱,其中,中龄刺槐人工林水源涵养功能最佳。
结论中龄刺槐人工林水源涵养功能最佳。建议结合研究区现有低效林改造及功能提升工程,对现有低效和衰退林分进行合理采伐与补植,以更好地提升刺槐人工林水源涵养功能。图2表5参34
当前状态:
,最新更新时间:
doi:10.11833/j.issn.2095-0756.20250128
摘要:
目的探讨不同热解温度及钙铁(Ca/Fe)改性对生物质炭的孔隙结构及其对水体中磷酸盐吸附性能的影响,为改性生物质炭在水处理领域的应用提供参考。
方法在300、500和700 ℃下制备未改性及Ca/Fe改性生物质炭,通过扫描电子显微镜(SEM)、X射线衍射仪(XRD)和傅里叶红外光谱仪(FTIR)等技术分析改性生物质炭的微观结构和表面化学性质,通过吸附实验评估不同热解温度、投加量、pH及共存离子对磷酸盐去除效果的影响,并采用等温线和动力学模型解析其吸附机制。
结果随着热解温度的升高,生物质炭孔隙结构逐步发育,尤其在700 ℃下,Ca/Fe改性生物质炭表现出高度有序的孔隙结构和较大的比表面积,最大磷吸附量达890.836 mg·g
−1,对磷酸盐的去除率达90.32%。吸附等温线分析符合Sips模型,动力学实验符合准二级模型,表明对磷酸盐的吸附过程主要由化学吸附驱动。XRD分析表明:高温下形成的氢氧化钙晶相增强了磷酸根离子的固定吸附。溶液pH、投加量和共存离子对吸附性能有影响,碱性条件和适宜的投加量可有效促进磷酸盐的去除,而硝酸根、硫酸根等阴离子则表现出抑制作用。
结论调控热解温度和Ca/Fe改性条件能够显著优化生物质炭的孔隙结构及其吸附性能。Ca/Fe改性生物质炭是一种高效去除水体磷污染的新型材料。图5表4参32
当前状态:
,最新更新时间:
doi:10.11833/j.issn.2095-0756.20250164
摘要:
植物地下觅食性状对于植物的养分获取和环境适应至关重要。氮磷有效性作为关键驱动因子,深刻影响植物地下养分获取策略。本文介绍了植物地下觅食性状的划分,包括吸收根性状(形态、构型、增殖)、菌根性状(菌根真菌侵染率、菌丝密度)和分泌性状(根系碳分泌速率、根系酶活性),阐述了氮磷添加对不同觅食性状的影响。研究发现:氮磷添加对吸收根性状的影响因树种和养分条件而异,植物会通过改变其形态、构型、增殖特征来优化资源吸收;菌根真菌通过差异化策略(如丛枝菌根真菌依赖菌丝拓展无机养分吸收,外生菌根真菌分泌酶分解有机质)调控植物地下资源获取,但氮磷添加普遍抑制菌根侵染率;根系酸性磷酸酶和硝酸还原酶作为反映植物对磷氮获取与代谢的关键指标,其活性受氮磷添加显著调控。本文还探讨了地下觅食性状之间的协调机制,包括性状间的协同与权衡、资源分配中的成本效益优化。针对当前研究的不足之处,提出从氮磷养分的交互作用、根系分泌性状与吸收根及菌根性状的协同响应机制、野外成熟植物的原位观测、不同菌根类型树种觅食策略等方面进一步研究,旨在深入理解植物地下养分获取策略及其对环境变化的适应机制,为森林生态系统的经营管理提供科学依据。表2参95
植物地下觅食性状对于植物的养分获取和环境适应至关重要。氮磷有效性作为关键驱动因子,深刻影响植物地下养分获取策略。本文介绍了植物地下觅食性状的划分,包括吸收根性状(形态、构型、增殖)、菌根性状(菌根真菌侵染率、菌丝密度)和分泌性状(根系碳分泌速率、根系酶活性),阐述了氮磷添加对不同觅食性状的影响。研究发现:氮磷添加对吸收根性状的影响因树种和养分条件而异,植物会通过改变其形态、构型、增殖特征来优化资源吸收;菌根真菌通过差异化策略(如丛枝菌根真菌依赖菌丝拓展无机养分吸收,外生菌根真菌分泌酶分解有机质)调控植物地下资源获取,但氮磷添加普遍抑制菌根侵染率;根系酸性磷酸酶和硝酸还原酶作为反映植物对磷氮获取与代谢的关键指标,其活性受氮磷添加显著调控。本文还探讨了地下觅食性状之间的协调机制,包括性状间的协同与权衡、资源分配中的成本效益优化。针对当前研究的不足之处,提出从氮磷养分的交互作用、根系分泌性状与吸收根及菌根性状的协同响应机制、野外成熟植物的原位观测、不同菌根类型树种觅食策略等方面进一步研究,旨在深入理解植物地下养分获取策略及其对环境变化的适应机制,为森林生态系统的经营管理提供科学依据。表2参95
当前状态:
,最新更新时间:
doi:10.11833/j.issn.2095-0756.20250202
摘要:
目的探究生态系统服务与原住居民福祉的关系,对推动国家公园可持续发展意义重大。
方法以东北虎豹国家公园东宁区域为例,从居民感知视角构建生态系统服务-原住居民福祉的分析框架,运用耦合协调度模型剖析两者关系。
结果①农户整体的社会关系福祉(
P=0.000)和基本物质需求福祉(
P=0.000)显著低于林场职工,核心区社会关系福祉(
P=0.043)和基本物质需求福祉(
P=0.001)显著低于一般区。②核心区文化服务(
P=0.000)与支持服务感知(
P=0.025)显著低于一般区,与林场职工相比,农户在文化服务(
P=0.000)和支持服务(
P=0.004)上的感知显著较弱,但在供给服务(
P=0.006)感知上显著高于林场职工。③生态系统服务与居民福祉耦合协调性差,75%的区域处于中度失调到磨合之间,维度差异整体呈现“服务领先、福祉滞后”的不均衡特征,其中文化服务与基本物质需求、安全与健康、社会关系、精神福祉间的协调性尤为薄弱。
结论国家公园政策的制定需关注群体差异与区域平衡,推动生态系统服务与原住居民福祉的可持续发展。图5表7参31
当前状态:
,最新更新时间:
doi:10.11833/j.issn.2095-0756.20250155
摘要:
目的采伐是森林生态系统重要的干扰因子。研究不同采伐强度对针阔混交林叶功能性状的影响可为采伐后树种的恢复提供科学依据。
方法以吉林蛟河针阔混交林中4种主要树种(色木槭
Acer mono、水曲柳
Fraxinus mandshurica、紫椴
Tilia amurensis和红松
Pinus koraiensis)为研究对象,设置对照(ck,采伐强度为0)、轻度采伐(T
1,17.24%)、中度采伐(T
2,34.74%)和重度采伐(T
3,51.85%) 4种不同处理,采集样品,分析其光合特性、叶结构性状等叶功能性状指标。运用单因素方差分析和最小显著差异法比较不同采伐处理的差异。
结果不同采伐强度对色木槭、水曲柳、紫椴和红松4种树种的光合特性与叶结构性状产生了显著影响,色木槭、水曲柳、紫椴和红松的最大净光合速率分别在采伐强度为T
3、T
2、T
1和ck处理下最大,分别在采伐强度为T
2、T
1、ck和T
3时最小。通过叶结构性状分析发现:色木槭、水曲柳和紫椴比叶重在T
1时最大,色木槭与水曲柳的叶干物质质量分数在T
3时最大,水曲柳与紫椴的叶组织密度在T
1时最大,而色木槭则在T
2时最大。各树种的叶绿素相对含量在种内差异均不显著。
结论采伐影响了各树种光合特性和叶结构性状:阔叶树种色木槭、水曲柳、紫椴分别在T
3、T
2、T
1采伐强度下碳同化能力最强,且采伐能够提升各阔叶树种叶结构性状参数;红松的光合能力随采伐强度增加而下降,叶结构性状不随采伐强度变化。低强度的采伐可提高吉林蛟河针阔混交林中阔叶树种的光合能力及资源配置效率,高强度的采伐会造成红松适应不良。图1表4参48
当前状态:
,最新更新时间:
doi:10.11833/j.issn.2095-0756.20250198
摘要:
目的
WOX4基因是参与植物生长发育调控的关键基因之一。研究毛竹
Phyllostachys edulis
PheWOX4
c启动子的生物学功能和表达调控机理,为阐明毛竹生长发育过程的调控机制提供参考。
方法通过Plant CARE网站初步鉴定毛竹
PheWOX4
c基因启动子上顺式作用元件,构建不同长度5′端缺失启动子植物表达载体,报告基因为GUS,选择不同环境因子对瞬时转化后的本氏烟草
Nicotiana tabacum叶片进行处理。通过 GUS染色分析
PheWOX4
c基因启动子全长及各长度启动子片段活性,以及启动子在不同环境因子处理下的响应模式。
结果
PheWOX4
c基因启动子序列上可能包含众多激素响应元件[水杨酸(SA)、脱落酸(ABA)、生长素(IAA)和茉莉酸甲酯(MeJA)等]和非生物胁迫响应元件(低温、干旱等)。通过GUS染色发现
PheWOX4
c基因启动子活性会受到SA、ABA、IAA以及低温处理的抑制, 表明有负调控SA的响应元件存在于启动子序列−507~−137 bp,且该区间还存在负调控ABA的响应元件,而−137~0 bp处存在正调控ABA的响应元件,在−2 045~−1 745 bp和−137~0 bp存在MeJA应答增强元件,在−1 140~−507 bp存在与低温相关的负调控响应元件。
结论
PheWOX4
c基因启动子含有多种激素响应元件和非生物胁迫响应元件,且不同调控元件对多种激素的响应存在差异,表明该基因受多个转录因子的调控,其上游调控网络十分复杂。图7表2参38
当前状态:
,最新更新时间:
doi:10.11833/j.issn.2095-0756.20250203
摘要:
目的探究保护性耕作措施处理下,宁夏贺兰山东麓酿酒葡萄园土壤的理化性质、团聚体和微生物群落的变化趋势,阐明土壤理化性质与微生物群落的相关关系。
方法以酿酒葡萄‘赤霞珠’
Vitis vinifera‘Cabernet Sauvignon’为试验材料,设置自然生草(NT)、枝条覆盖(CTS)和自然生草+枝条覆盖(NTS)作为处理,同时以清耕(ck)作为对照,测定分析宁夏贺兰山东麓酿酒葡萄园葡萄开花期(5月)、果实膨大期(7月)和果实成熟期(9月)土壤pH、电导率、团聚体稳定性,氮、磷、钾、有机质质量分数,细菌、真菌相对丰度及多样性等指标。
结果①与ck相比,NT、CTS和NTS处理显著提高了葡萄不同生长时期的土壤pH以及全磷、碱解氮、有效磷、有机质质量分数(
P<0.05),其中在9月,NT、CTS和NTS处理的土壤有机质分别增加了34.71%、93.33%、68.73%。②与ck相比,NT、CTS和NTS处理的土壤团聚体稳定性显著提高(
P<0.05),特别是在9月,NTS处理的团聚体平均质量直径显著增加26.23%,团聚体平均几何直径显著增加67.65%,大于0.250 mm团聚体百分比显著增加31.33%(
P<0.05),土壤结构得到了改善。③NT、CTS和NTS处理显著提高了土壤中细菌、真菌的相对丰度和多样性(
P<0.05),改变了微生物群落结构。
结论在‘赤霞珠’酿酒葡萄园中NT、CTS和NTS处理均能显著改善土壤理化性质及微生物性质。图4表3参54
当前状态:
,最新更新时间:
doi:10.11833/j.issn.2095-0756.20250130
摘要:
目的探讨喀斯特森林粗糠柴
Mallotus philippensis种群的空间格局及其影响机制,有助于加深对粗糠柴种群的发展规律及潜在生态学过程的理解,同时为喀斯特森林的保护与退化林恢复提供参考依据。
方法依托于茂兰喀斯特常绿落叶阔叶混交林1.28 hm
2固定样地,利用2023年调查的粗糠柴种群和环境因子数据,采用点格局分析、Pearson相关性分析,探讨该种群的径级结构、空间分布格局及其与环境因子的关联性。
结果①粗糠柴种群不同径级的植株数量不同,整体呈增长型分布。径级Ⅰ数量最多,径级Ⅲ数量最少。②随着径级的增加,从径级Ⅰ到径级Ⅳ,粗糠柴种群空间分布格局由集群分布向随机分布转化。③4个径级两两之间总体上表现为小尺度(多为0~2 m)上呈现正关联,其余尺度上无空间关联性。④粗糠柴整体分布与土壤含水率、土壤速效钾显著正相关(
P<0.05),地形因子中海拔、坡度显著影响径级Ⅱ空间分布(
P<0.01)。
结论茂兰喀斯特常绿落叶阔叶混交林粗糠柴种群呈增长型,随着径级的增加,其空间分布格局由集群分布向随机分布转化,受环境异质性(土壤和地形)、种内竞争作用等的影响。图3表2参36
当前状态:
,最新更新时间:
doi:10.11833/j.issn.2095-0756.20250213
摘要:
目的明确辽宁省宽甸县月季
Rosa chinensis枯枝病的病原菌种类,研究病原菌的生物学特性与防治药剂,为此病害的有效防控提供参考依据。
方法利用组织分离法分离纯化病原菌,依据柯赫氏法则对该病害开展致病性试验,通过形态学观察与多基因系统发育学分析鉴定病原菌;采用菌丝生长速率法测定不同碳氮源培养基、pH和温度条件对病原菌生长的影响以及5种杀菌剂对病原菌菌丝生长的抑制作用。
结果在烧伤接种处理下,分离获得的纯菌株R1007使月季枝条发病,并从发病枝条中再次分离到该菌株。R1007形态学特征与榆生丛赤壳
Nectria ulmicola基本一致,Blast结果与系统发育分析中R1007与榆生丛赤壳的模式菌株CFCC52117表现出极高的亲缘性;单因素试验表明:菌株R1007在碳源为麦芽糖、氮源为酵母浸粉、pH7.17和温度为25 ℃时菌丝生长速率最快;供试药剂对病原菌均有不同程度的抑制作用,其中多菌灵对病原菌的菌丝生长抑制效果最好,其抑制中浓度(EC
50)为0.338 8 mg·L
−1。
结论引起月季枯枝病的病原菌为榆生丛赤壳,该病原菌最适碳氮源分别为麦芽糖和酵母浸粉,最佳生长pH为7.17,温度为25 ℃,可用多菌灵作为防治月季枯枝病的潜在药剂。图5表2参28
当前状态:
,最新更新时间:
doi:10.11833/j.issn.2095-0756.20250126
摘要:
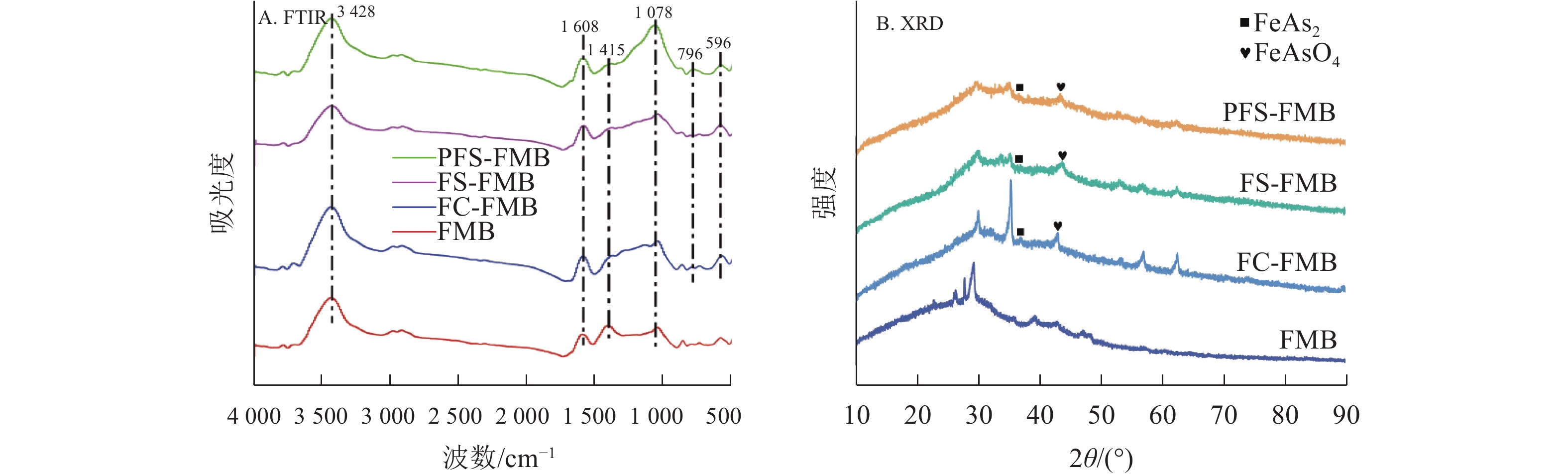
目的探究铁基改性提升生物质炭对砷[As(Ⅲ)]吸附固定能力的潜力与机制,构建有效的固碳控砷体系。
方法以大宗园林废弃物细叶榕
Ficus microcarpa为生物质炭原材料,采用批量吸附实验并结合扫描电子显微镜-能量色散光谱(SEM-EDS)、傅里叶变换红外光谱(FTIR)、X射线衍射(XRD)及X射线光电子能谱(XPS)等技术手段,系统研究了原始生物质炭(FMB)、氯化铁改性生物质炭(FC-FMB)、硫酸铁改性生物质炭(FS-FMB)和聚合硫酸铁改性生物质炭(PFS-FMB)的结构性质及其对水溶液中As(Ⅲ)的吸附性能和作用机制。
结果铁基改性有效提升了生物质炭的比表面积,增幅达3.36~4.22倍,且改性生物质炭表面富含更多官能团,铁氧化物成功负载在生物质炭表面。pH为5时,PFS-FMB对As(Ⅲ)的去除率最高,达到91.16%,高于其他类型生物质炭。As(Ⅲ)的吸附过程符合Elovich动力学模型和Langmuir等温吸附模型。4种生物质炭对As(Ⅲ)的最大吸附容量从大到小依次为:PFS-FMB (13.53 mg·g
−1)、FS-FMB (6.36 mg·g
−1)、FC-FMB (3.11 mg·g
−1)、FMB (1.29 mg·g
−1)。铁基改性生物质炭对As(Ⅲ)以化学吸附为主,通过表面络合形式实现,吸附机制为砷氧阴离子与铁氧化物的配位作用以及表面羟基官能团的络合作用。
结论铁基改性生物质炭是一种高效的As吸附剂,其中PFS-FMB展现出最佳的吸附性能。图9表3参50
当前状态:
,最新更新时间:
doi:10.11833/j.issn.2095-0756.20250112
摘要:
目的研究土壤有效磷质量分数对玉米
Zea mays生长、光合产物的地下分配和根际微生物群落结构的影响,探究玉米应对低磷胁迫的响应及对根际土壤碳动态的影响。
方法采用根箱栽培法,在高磷和低磷条件下种植玉米,测定并分析土壤、根系、根系分泌物、植株样品和微生物群落结构等相关指标。
结果高磷增加了玉米叶片磷质量分数,促进了玉米地上和地下部分的生长,增加了总根系分泌物可溶性碳的分泌,提高了根际几丁质酶、葡萄糖酶、纤维素酶、酸性磷酸酶的活性,并显著提高了根际酸杆菌门Acidobacteriota、放线菌门Actinobacteriota、芽单胞菌门Gemmatimonadota的相对丰度(
P<0.05)。低磷条件下,丛枝菌根的侵染率和易提取态球囊霉素蛋白的质量分数显著高于高磷条件(
P<0.05)。
结论低磷提高了玉米的菌根侵染率和根系分泌物的分泌效率,促进了R策略微生物的生长和根际球囊霉素蛋白的质量分数。高磷条件下,玉米根际的几丁质酶、葡萄糖酶、纤维素酶、酸性磷酸酶活性更高,这些酶活性与K策略微生物相对丰度成正相关关系。图5参32
2025, 42(6): 1111-1121.
doi:10.11833/j.issn.2095-0756.20250317
摘要:
目的以毛竹
Phyllostachys edulis材用林固碳效益与竹材经济效益为经营目标,建立协同优化经营方案,指导毛竹林科学经营管理,实现毛竹林生产力长期维持与经济效益持续产出。
方法以浙江省安吉县毛竹材用林为研究对象,对30个野外监测样地进行连续3 a的调查,获取立竹胸径、年龄和立竹度数据,拟合Weibull分布方程建立毛竹生长更新模型;在此基础上,选取固碳效益与竹材经济效益构建多目标经营决策模型,模拟不同采伐策略(采伐年龄、采伐强度、采伐方式)下毛竹材用林碳储量和净现值的变化,通过对比分析筛选毛竹材用林多目标最优经营方案。
结果短经营期以快速提升经济效益同时保持碳汇潜力为目标,采用Ⅰ度竹留养90%,Ⅱ和Ⅲ度竹分别实施40%和60%大径阶采伐收获,最优状态下地上碳储量为11.14 t·hm
−2,毛竹林累计净现值为12 853.18元·hm
−2;中经营期以平衡固碳效益与经济收益为目标,采用Ⅱ度竹30%小径阶采伐、Ⅲ度竹30%大径阶采伐,最优状态下地上碳储量为11.21 t·hm
−2,毛竹林累计净现值为14 363.43元·hm
−2;长经营期以最大化固碳效益同时兼顾经济收益为目标,采用Ⅱ度竹40%小径阶采伐、Ⅲ度竹90%大径阶采伐,最优状态下地上碳储量达11.94 t·hm
−2,毛竹林累计净现值为27 456.99元·hm
−2。
结论构建了毛竹材用林多目标经营模型,提出了固碳效益和经济效益协同实现的采伐与管理经营策略。图9表3参33
2025, 42(6): 1122-1131.
doi:10.11833/j.issn.2095-0756.20240512
摘要:
目的研究2种估算林木生物量的基本模型:恒定异速生长比(CAR)模型和可变异速生长比(VAR)模型,对比这2种模型的预估精度,为林木生物量监测提供可靠的理论与技术支撑。
方法以2011年大兴安岭地区盘古林场18块固定样地中50株兴安落叶松
Larix gmelinii的生物量调查数据为基础,采用非线性似乎不相关回归法构建CAR和VAR 的可加性生物量模型,对比评估2种模型的一元及二元模型。
结果① 2种模型的一元模型中,CAR模型的总生物量及各组分生物量模型的调整后决定系数均大于VAR模型,平均高约0.003;二元模型也是CAR模型的调整后决定系数更大。②从模型检验指标来看,一元模型中2种模型的预测精度均大于97.6%,且CAR模型的预测精度均较高;二元模型的预测精度均大于96.9%,且均是CAR模型的预测精度更高。③林木胸径等级大小与模型拟合优度存在关联,且模型普遍更适用于较小径阶林木。
结论一元和二元的林木总生物量和各组分生物量模型中,CAR模型的拟合指标及模型检验指标优于VAR模型,CAR模型拟合和预测林木生物量效果更好;小径阶林木拟合效果优于大径阶林木。总的来说,CAR模型不仅形式上更简单,在拟合效果和估计精度方面也表现更好。图5表5参31
2025, 42(6): 1132-1141.
doi:10.11833/j.issn.2095-0756.20250395
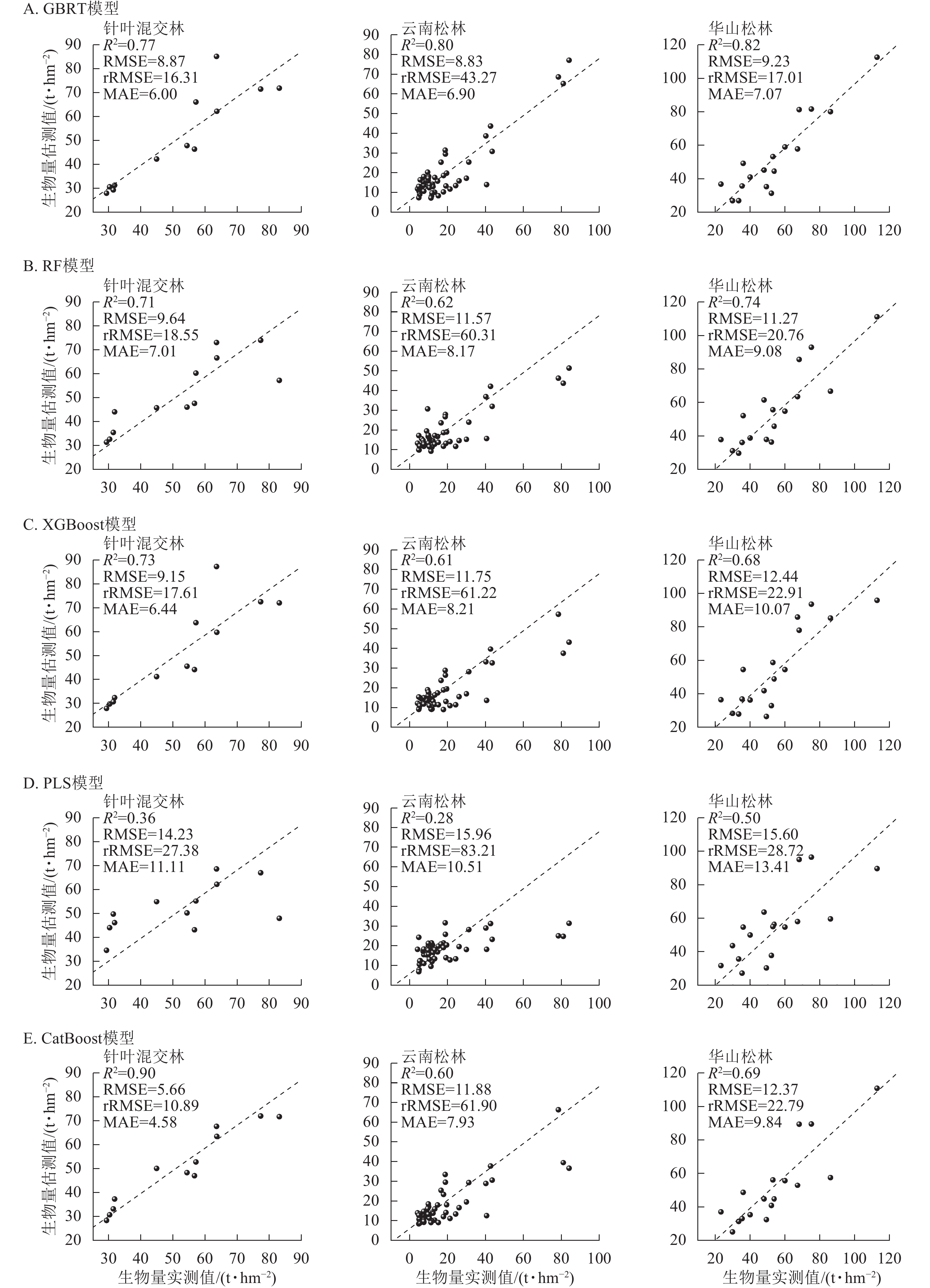
摘要:
目的森林生物量是衡量森林生态系统生产力和碳储存能力的重要指标,研究其动态变化有助于深入理解森林生态系统功能,为生态管理与碳循环研究提供科学依据。
方法以云南省曲靖市为研究区,基于1992—2017年以5 a为 1期的一类连续清查样地数据,结合数字高程模型(DEM)与Landsat 5 TM、Landsat 8 OLI影像,构建地上生物量遥感估测模型。针对主要针叶树种(云南松
Pinus yunnanensis林、华山松
P. armandii林及针叶混交林),对比梯度提升回归树(GBRT)、随机森林(RF)、极端梯度提升(XGBoost)、偏最小二乘法(PLS)和分类器梯度提升(CatBoost)等5种机器学习方法,系统评估其拟合性能与估测精度。通过调整决定系数(
R
2)、均方根误差(RMSE)、相对均方根误差(rRMSE)与平均绝对误差(MAE)等指标综合评价,优选最优模型,并用于1992—2022年曲靖市主要针叶林地上生物量的时序估算。
结果不同模型在3类优势针叶树种上的估测性能存在差异。CatBoost模型在针叶混交林中表现最优(
R
2=0.90,RMSE=5.66),具有较强的非线性拟合能力;而GBRT模型在云南松林与华山松林中表现更佳,估测稳定性与解释力较强。
结论不同机器学习模型在森林地上生物量估测中的表现因树种而异。模型选择应结合树种生长特性及其对遥感因子的响应差异,避免统一建模策略,以提升估测精度与适用性。图3参39
2025, 42(6): 1142-1153.
doi:10.11833/j.issn.2095-0756.20250263
摘要:
目的探究青钱柳
Cyclocarya paliurusGATA转录因子在盐胁迫下的调节功能。
方法基于青钱柳基因组和转录组数据对
GATA基因家族进行成员鉴定,全面分析其理化性质、基因结构和系统进化等,并通过4种氯化钠浓度(0、25.7、51.3和77.0 mmol·L
−1)的盐胁迫处理,分析
GATA基因家族响应盐胁迫的表达模式。
结果从青钱柳基因组中共鉴定出46个
GATA基因家族成员,分布在14条染色体上。
GATA家族编码蛋白长度为132~827个氨基酸,蛋白分子量为
14358.49
~
92724.86
Da,亲水系数为−1.119~−0.368;亚细胞定位显示:37个
GATA基因定位于细胞核,其余9个基因分布于叶绿体、细胞质和质膜中。启动子顺式作用元件分析预测:
GATA基因家族成员中包含生长素响应元件、赤霉素响应元件和低温响应元件等13种响应元件。转录组分析结果表明:
CpaF1
st31008、
CpaF1
st45364和
CpaF1
st12063等12个基因表达量在盐处理30 d时高于15 d,且盐胁迫处理下表达上调,而
CpaF1
st13794和
CpaF1
st04260等18个基因在盐胁迫处理下表达下调。
结论青钱柳
GATA基因家族成员在转录水平积极参与盐胁迫响应,且表现出多样性的响应模式。图8表2参31
2025, 42(6): 1154-1164.
doi:10.11833/j.issn.2095-0756.20250103
摘要:
目的揭示
OSCA基因家族在枳
Poncirus trifoliata中的结构特征及在干旱胁迫下的表达特征,为
PtOSCA基因功能分析与枳抗旱性研究提供理论依据。
方法利用生物信息学方法对全基因组范围内的枳
OSCA基因家族成员进行鉴定和综合分析,通过实时荧光定量PCR (RT-qPCR)分析
PtOSCA在聚乙二醇(PEG)处理下的动态表达特征。
结果在枳基因组中共鉴定出13个
PtOSCAs基因,并根据其与拟南芥
Arabidopsis thaliana
OSCA基因家族成员的同源性命名为
PtOSCA1~
PtOSCA13。染色体定位分析表明:
PtOSCAs不均等地分布在枳18条染色体中的7条染色体上。系统发育分析显示:
PtOSCAs可分为4组,分别包含5、6、1、1个家族成员。蛋白质理化性质和保守结构域分析表明:
PtOSCAs之间的蛋白长度和分子质量存在差异,但蛋白基序较为保守且均含有Motif 1和Motif 3。顺式作用元件分析显示:
PtOSCAs基因的启动子区域存在大量响应干旱、脱落酸、厌氧诱导、低温胁迫等顺式作用元件。基因表达分析表明:
PtOSCAs基因表达具有组织特异性和干旱胁迫响应特征,干旱胁迫下,
PtOSCA基因家族各成员在叶和根中的表达量均有不同程度变化,叶中11个
PtOSCAs基因和根中10个
PtOSCAs基因受干旱胁迫诱导上调表达,其中
PtOSCA4在叶和根中的表达量分别上调了3.76和36.74倍。
结论
PtOSCA基因在进化过程中表现出一定的保守性,并与拟南芥和甜橙
Citrus sinensis OSCAs基因呈现较近的亲缘关系。
PtOSCA基因家族内部存在功能差异,其中,
PtOSCA4可能在干旱胁迫响应机制中发挥着关键作用。图6表2参27
2025, 42(6): 1165-1173.
doi:10.11833/j.issn.2095-0756.20240606
摘要:
目的探究刚竹属
Phyllostachys竹种表型性状与纤维性状的差异性与相关性,并建立性状特征拟合方程,旨在探索刚竹属竹种表型变异,为竹子表型特征建立研究范式。
方法以浙江安吉中国竹子博览园刚竹属111种(包括种下等级)竹种为研究对象,对其8个表型性状和8个纤维性状进行变异分析、相关性分析、聚类分析,并进行各性状之间的方程拟合。
结果刚竹属111种竹种的8个表型性状与8个纤维性状均呈现明显种间差异。刚竹属竹种表型性状变异系数为21.75%~67.72%,其中胸径、壁厚、枝下高节数
、秆高属于高度变异。毛竹
Ph. edulis种下等级数量最多,共17个,其表型性状中壁腔比、高度、节长等指标变异程度高于全属种下等级。刚竹属竹种8个表型性状与8个纤维性状之间呈现出39对显著相关关系,表型性状中,壁厚与胸径、秆高与总节数2对相关性较高,胸径与其他7个表型性状之间皆为极显著相关(
P<0.01);纤维性状中,细小纤维A类与加权细小纤维相关性最强。刚竹属111种竹种被分为7个大类,第Ⅰ类性状表现为壁厚明显大于其他竹种;第Ⅱ类性状表现为壁腔比明显大于其他竹种;第Ⅲ类性状表现为竹节长明显低于其他竹种;第Ⅳ类性状表现为胸径、秆高和枝条长度明显大于其他竹种;第Ⅴ类性状表现为各表型指标皆略低于刚竹属平均值;第Ⅵ类性状表现为壁厚、秆高、总节数、枝下高节数、节长5个表型性状明显低于其他竹种;第Ⅶ类性状表现为各表型指标皆略高于刚竹属平均值。以胸径(
x)为自变量建立壁厚(
y
1)、秆高(
y
3)、总节数(
y
4)表型性状拟合方程,分别为
y
1=0.227 7
x-0.001 2
x
2、
y
3=0.232 1
x-0.001 0
x
2、
y
4=1.621 2
x-0.012 0
x
2。决定系数(
R
2)较大且皆达到极显著水平(
P<0.01),能较好地预测表型性状指标。
结论刚竹属竹种纤维性状变异程度低于表型性状,纤维性状遗传稳定性高于表型性状。毛竹、水竹
Ph. heteroclada的变种、变型以及栽培品种的变异程度较高,具有较大的选育潜力。刚竹属表型之间相关性强,胸径增大其他表型性状也会随之增大。图1表3参25
2025, 42(6): 1174-1183.
doi:10.11833/j.issn.2095-0756.20240625
摘要:
目的探讨单叶铁线莲
Clematis henryi对不同光照强度的光合响应机制,为单叶铁线莲的引种栽培和园林应用提供依据。
方法2022年3—10月,以3年生单叶铁线莲扦插苗为试验材料,设置82% (T1)、61% (T2)、53% (T3)、43% (T4)和0% (全光照,对照) 5种遮光处理,研究不同遮光度对单叶铁线莲植株生长和光合特性的影响。
结果T1和T2处理在夏季有助于保持单叶铁线莲植株叶色浓绿,促进叶面积、节间距、叶片干质量、含水量的增加(两者均值分别是对照的2.17、1.43、6.60和1.51倍);在促进叶片海绵组织扩展(两者均值是对照的1.28倍)的同时抑制了栅栏组织生长(两者均值是对照的0.76倍)。遮光度低于61% (T2)处理的植株叶片发黄、皱缩。 6—8月,伴随着光强和温度的不断提升,T1、T2和T3处理的植株净光合速率(
P
n)、气孔导度(
G
s)和蒸腾速率(
T
r)日变化由“单峰”曲线转变为“双峰”曲线,叶片通过“光合午休”保护光合系统,同时采取降低光补偿点(
P
LC,三者均值是对照的81.72%)和暗呼吸速率(
R
D,三者均值是对照的67.70%),提高光能利用率,适应低光环境。通过稳定初始荧光(
F
o)、电子传递速率(
R
ET)和非光化学猝灭系数(
Q
NP)的变化,保持PSⅡ的光化学效率。与此同时,T4和对照植株的光合系统受到强光、高温的过度胁迫,光合与叶绿素荧光参数呈现无规律的变化。进入10月后,T1、T2和T3处理的植株生长、光合与叶绿素荧光参数均较T4恢复得更快。
结论单叶铁线莲具有较强的耐荫性,遮光处理可促进枝叶的生长,夏季栽培应设置61%~82%的遮光环境,避免高温、强光对光合系统造成不可逆损伤,保障植株健康生长。单叶铁线莲的耐荫性将有效扩展铁线莲属
Clematis植物的园林应用范围,为林下、北侧阳台和室内空间植物景观营造提供更多选择。图2表4参32
2025, 42(6): 1184-1191.
doi:10.11833/j.issn.2095-0756.20250150
摘要:
目的对莲花卷瓣兰
Bulbophyllum hirundinis的繁育系统和传粉生物学进行研究,明确莲花卷瓣兰的传粉特性及濒危机制,为莲花卷瓣兰的保护提供科学依据。
方法通过野外调查,对莲花卷瓣兰的开花物候、花部形态、繁育系统和传粉昆虫进行研究,探讨了莲花卷瓣兰的繁育系统与传粉生物学特征,量化其在自然范围内的繁殖成功率。
结果①莲花卷瓣兰的盛花期为5月中旬,单花花期约10 d,群体花期约30 d,具有集中开花的特性(60%的花在15 d内开放);②莲花卷瓣兰为伞形花序,花序由3~6朵黄花组成;③莲花卷瓣兰自交不亲和,人工异花授粉结实率为60.00%,自然授粉结实率为21.23%;④莲花卷瓣兰有6种访花昆虫,明确斜缘新叶蝇
Neophyllomyza leanderi是莲花卷瓣兰的有效传粉昆虫。
结论明确了莲花卷瓣兰花期物候,发现具有集中开花的特性,斜缘新叶蝇是莲花卷瓣兰的有效传粉昆虫。图2表3参42
2025, 42(6): 1192-1200.
doi:10.11833/j.issn.2095-0756.20250118
摘要:
目的栅锈菌属
Melampsora病原菌引起的杨树
Populusspp.叶锈病是分布最广、危害最严重的杨树叶部病害之一。明确辽宁省杨树国家林木种质资源基地杨树叶锈病的发生情况及病原菌物种多样性,为东北地区杨树叶锈病的早期预警和防控提供重要依据。
方法于2024年10月在辽宁省杨树国家林木种质资源基地和辽宁省杨树研究所共采集到39份杨树叶锈病样本。通过光学显微镜和扫描电镜对发生在两地的杨树叶锈病菌的夏孢子和冬孢子的形态特征进行观察,同时提取病原菌的基因组DNA,基于rDNA ITS和28S测序分析,构建系统发育树,结合形态学和分子系统发育分析对病原菌进行鉴定。
结果在39份病原菌中,36份被鉴定为松杨栅锈菌
M. laricis-populina,2份为北美栅锈菌
M. medusae,1份为山杨栅锈菌
M. populnea。其中,北美栅锈菌是中国重要的对外检疫有害生物,本次检测为在中国东北地区首次发现。
结论共发现3种栅锈菌属病原菌,并首次在中国东北地区发现了对外检疫性有害生物北美栅锈菌。图6表2参38
2025, 42(6): 1201-1209.
doi:10.11833/j.issn.2095-0756.20250120
摘要:
目的作为镰刀菌属
Fusarium产生的具有类雌激素效应的有毒次级代谢产物,玉米赤霉烯酮(ZEN)可广泛污染玉米
Zea mays、大豆
Glycine max和小麦
Triticum aestivum等农作物,在谷物类食品和饲料中较为常见。因具有慢性、免疫和生殖毒性,建立ZEN高灵敏检测方法,对其进行暴露评估和风险防控具有重要意义。
方法通过制备ZEN完全抗原-纳米磁珠复合物和生物素标记的ZEN单克隆抗体,并基于生物素-链霉亲和素系统,建立ZEN高灵敏酶联免疫检测法(MNPs-ELISA)。
结果建立的MNPs-ELISA对ZEN检测下限(10%抑制质量浓度,IC
10)达0.05 ng·mL
−1,定量检测区间(20%~80%抑制质量浓度,IC
20~IC
80) 为0.08~1.04 ng·mL
−1,半数抑制质量浓度(IC
50)为0.29 ng·mL
−1,与其他常见真菌毒素几乎无交叉反应。加标回收率高且稳定性好,对天然污染样本中ZEN的定量检测结果显示:该方法与商品化试剂盒及液相色谱-串联质谱联用技术一致性较好。
结论本研究建立的MNPs-ELISA可满足对谷物和饲料样本中ZEN的快速定量检测,适用于基层检验机构和农产品加工企业对样本进行ZEN的筛查,具有较好的应用前景。图7表4参26
2025, 42(6): 1210-1220.
doi:10.11833/j.issn.2095-0756.20250108
摘要:
目的探究薄壳山核桃
Carya illinoensis青皮还田的分解过程、养分释放规律及其对土壤代谢物质的影响,为薄壳山核桃青皮的充分合理利用提供科学参考。
方法在中南林业科技大学春晖山选取1块平整的试验样地,以薄壳山核桃‘金华’‘Jinhua’青皮为试验材料,设置对照(青皮不还田)、地表覆盖和埋深(10 cm) 3种处理,采用尼龙网袋法进行为期2 a青皮不同还田深度的分解特征研究,隔3个月对分解袋中剩余青皮的质量和养分质量分数及土壤理化性质和代谢物质进行测定分析。
结果①在2 a分解期内,埋深处理的青皮分解速率始终快于地表覆盖,2种处理下的薄壳山核桃青皮总有机碳和磷表现为富集-淋溶模式,氮表现为富集模式,钾表现为净释放模式。②在2 a分解期内,对照处理的土壤全氮质量分数高于地表覆盖和埋深处理,埋深处理的土壤碱解氮质量分数和速效钾质量分数均高于地表覆盖;地表覆盖处理的土壤细菌数量大于埋深处理,地表覆盖处理的真菌和放线菌数量均小于埋深处理。③同一时期地表覆盖和埋深处理之间的土壤代谢物质差异较小,不同分解时期差异较大。将青皮分解第12个月与第9个月的土样进行相比,青皮分解第18个月与第12个月的土样进行相比,均筛选出54种差异代谢物,主要富集在嘧啶代谢、泛醌和其他萜类醌生物合成、类固醇激素生物合成、ABC转运蛋白等22条代谢通路中。
结论薄壳山核桃青皮在分解第9个月时养分流失较少,且土壤微生物数量最多,产生利于植物生长的土壤代谢物质,是对土壤肥力产生积极影响的最佳时期。图8表3参28
2025, 42(6): 1221-1231.
doi:10.11833/j.issn.2095-0756.20250114
摘要:
目的探究北京地区高速边坡喷播绿化工程施工后植被和土壤动态特征对边坡土壤抗蚀和抗剪性能的影响,为制定可持续的道路边坡植被修复方案提供参考。
方法从3条不同恢复年限(5、10、15 a)的高速公路上分别选取基本参数相似的坡面作为研究对象,包括采用厚层基材喷播的阴坡、阳坡以及未人工干扰的自然阴、阳坡面(对照),每种坡面各选1块作为样地,通过冗余分析和构建回归方程的方法,探究边坡恢复过程中植被与土壤抗蚀和抗剪性能的变化规律。
结果①随着恢复年限的增加,边坡植被多样性和覆盖度呈极显著增加(
P<0.01),但恢复15 a时仍未恢复至自然边坡水平。②在恢复15 a时土壤有机碳含量、几何平均直径和平均质量直径相较5 a时分别增长了96.10%、12.17%和26.23%,这表明土壤团聚体的稳定性逐渐增强,在15 a时恢复至自然边坡水平。③植被特征和土壤指标对于土壤抗蚀和抗剪指标的解释率为83.42%。土壤可蚀性
K值随几何平均直径的增加线性降低(
R
2=0.902)或团聚体破坏率的增加线性增加(
R
2=0.776)。土壤黏聚力随多样性指数(
R
2=0.660)和容重的增加而线性增加(
R
2=0.750),内摩擦角则随饱和含水率减小而减小(
R
2=0.816)。
结论容重、饱和含水率和几何平均直径是土壤抗蚀和抗剪性能的直接控制因子,可作为评价优选指标。为更有效地提高坡面浅层土的抗蚀和抗剪性能,建议在喷播绿化施工方案中采用喷播与栽种相结合的方式种植刺槐
Robinia pseudocacia,并且在恢复10 a时对边坡进行适当追肥。图4表4参31
2025, 42(6): 1232-1242.
doi:10.11833/j.issn.2095-0756.20250127
摘要:
目的探究在大气二氧化碳(CO
2)摩尔分数升高与氮添加互作下,宁夏枸杞
Lycium barbarum根区土壤主要理化指标与酶活性的变化。
方法以4年生宁夏枸杞‘宁杞1号’
L. barbarum‘Ningqi 1’盆栽植株为试验材料,用开顶气室(open-top chamber , OTC)控制系统模拟CO
2摩尔分数升高处理[CO
2,(840±20) μmol·mol
−1],同时以自然环境CO
2摩尔分数作为对照[ck,(420±20) μmol·mol
−1];设置全年氮添加量为N0 (0 g·kg
−1)、N1 (1 g·kg
−1)、N2 (2 g·kg
−1) 3个水平,测定并分析宁夏枸杞根区土壤全氮、全磷、有机质和过氧化氢酶、多酚氧化酶等指标。
结果①CO
2摩尔分数升高和氮添加的交互作用对整个处理时期的土壤全钾、铵态氮、有效磷和速效钾质量分数有极显著影响(
P<0.01);②CO
2摩尔分数升高处理下土壤多酚氧化酶、酸性转化酶和脲酶活性在处理120 d时较自然CO
2摩尔分数分别提升了40.58%、30.67%和36.41%,而过氧化氢酶却降低了61.50%;③在整个处理周期中,土壤全钾质量分数与土壤酶活性始终保持显著的相关性(
P<0.05)。
结论在CO
2摩尔分数升高和氮添加处理下,宁夏枸杞根区土壤全磷、有机质质量分数及多酚氧化酶、酸性转化酶和脲酶活性呈上升趋势,而土壤全氮质量分数和过氧化氢酶活性呈下降趋势。该研究结果可为全球气候变化背景下宁夏枸杞的适应性栽培调控提供依据。图5表1参49
2025, 42(6): 1243-1254.
doi:10.11833/j.issn.2095-0756.20250102
摘要:
目的探究炭基肥对稻田土壤理化特性及土壤细菌群落结构的影响,为炭基肥提升稻田土壤肥力提供科学依据。
方法在杭嘉湖平原典型稻田种植区进行田间试验,设置不施肥对照(ck)、常规施肥(CF)、炭基肥替代50%化肥(OF)及炭基肥(BF) 4个处理,各施肥处理投入等量氮、磷、钾养分。水稻
Oryza sativa收获后采集植株和土壤样品,分析炭基肥对土壤性质、细菌群落结构及水稻产量的影响。
结果与CF处理相比,OF和BF处理显著提高了土壤有机碳(SOC)、可溶性有机碳(DOC)和微生物量碳(MBC)质量分数(
P<0.05)。炭基肥对稻田土壤细菌群落丰富度和多样性无显著影响,但对细菌群落组成及功能产生了显著影响(
P<0.05),增加了富营养性细菌及碳氮相关功能菌的相对丰度。相关性分析表明:土壤pH、SOC、DOC、有效磷(AP)和速效钾(AK)是影响土壤细菌群落组成变化的关键环境因子,水稻产量与土壤中的SOC、DOC和MBC质量分数密切相关。
结论炭基肥及炭基肥替代50%化肥可提高土壤养分和富营养性细菌的相对丰度,效果优于常规施肥处理,对调节稻田土壤微生物环境和改善土壤质量产生积极影响。图5表3参53
2025, 42(6): 1255-1263.
doi:10.11833/j.issn.2095-0756.20250117
摘要:
目的探究添加不同比例牛粪对蘑菇渣蚯蚓堆肥的影响,以提高蘑菇渣资源化处理与利用效率。
方法设置5个处理[蘑菇渣∶牛粪(干质量比)]:T0 (100∶0), T1 (100∶5), T2 (100∶10),T3 (100∶15)和T4 (100∶20),以不加蚯蚓的纯蘑菇渣堆肥为对照(ck)。混合堆置处理14 d后,在T0~T4中加入20条赤子爱胜蚯蚓
Eisenia foetida进行60 d蚯蚓堆肥,测定各处理最终堆肥中蚯蚓生长和繁殖指标、堆肥产物理化性质和发芽指数(germination index,GI)。
结果蚯蚓堆肥在促进有机质分解、降低产物碳氮比及提高堆肥的腐熟度方面优于自然堆肥。随着牛粪添加比例增加,蚯蚓的平均质量、存活率、幼年蚯蚓和蚯蚓卵数量也随之增加。添加牛粪不仅可以促进堆体中有机质的分解,降低堆体pH并提高腐熟程度,还能增加堆肥产物中的氮、磷、钾等营养元素质量分数。堆肥60 d,ck发芽指数为76.04%,未达到腐熟标准,而T0~T4处理发芽指数均大于80%,其中T3处理最高(98.27%),继续提高牛粪的添加量会增加堆肥对种子产生毒害的风险。
结论添加牛粪改良的蘑菇渣蚯蚓堆肥更适宜蚯蚓生长和繁殖,对废弃物的分解能力及其产物的各项指标均优于普通堆肥。生产中建议添加蘑菇渣∶牛粪干质量比为100∶15。图1表6参33
2025, 42(6): 1264-1272.
doi:10.11833/j.issn.2095-0756.20240610
摘要:
目的探讨色达县猕猴
Macaca mulatta的日活动节律及适宜栖息地时空分布特征,为高海拔野外种群的保护和研究提供科学参考。
方法2023年6月至2024年3月,通过样线法和红外相机陷阱法监测色达县的猕猴活动,并结合非参数核密度函数和MaxEnt模型等分析色达县猕猴的日活动节律和适宜栖息地。
结果猕猴的日活动强度分布不均(日活动差异指数
α>0.042),9:00—15:00活动较多,21:00至次日6:00活动较少,呈昼行性(昼行性指数
β=0.98)。在影响因子中,最冷月最低气温、最湿月降水量、土地覆盖类型和年气温变化范围对猕猴栖息地分布的影响最大。猕猴在最冷月最低气温和最湿月降水量较高,年气温变化范围、最干月降水量和气温日较差较小的栖息地分布概率较高。适宜栖息地分析表明:色达县猕猴的适宜栖息地面积为697 km
2,主要分布在色达县东南侧,次适宜栖息地面积为1 708 km
2,主要分布在色达县东侧和南侧;年龙自然保护区内适宜栖息地面积仅有40 km
2,次适宜栖息地面积仅有152 km
2。
结论色达县猕猴活动时间在白天且较集中,栖息地大多数分布在色达县东南侧的保护区外。对当地猕猴的保护应同时关注保护区外更大的栖息地,并加强在其活动高峰期(9:00—15:00)的管理和保护,以减少人类密切接触等外部干扰对猕猴种群的影响。图5表3参36
2025, 42(6): 1273-1284.
doi:10.11833/j.issn.2095-0756.20250119
摘要:
目的探究景观格局的时空变化及其驱动因子,对区域景观利用和生态环境管理具有重要意义。
方法以土地利用数据为基础,利用景观类型转移矩阵和景观指数定量评估了2000—2020年湖南省新化县县域景观格局的动态变化特征,并运用最优参数地理探测器(POGD)与多尺度地理加权回归(MGWR)耦合模型分析了自然和社会因素对新化县景观格局的影响。
结果①2000—2020年,新化县耕地面积持续下降,而建设用地面积则不断扩张;2015—2020年,新化县景观类型转移强度最大,景观类型转化更加复杂。②从类型层面看,新化县林地斑块优势度最大,呈上升趋势,耕地斑块优势度下降。耕地、林地和建设用地破碎度加剧,边缘形状复杂化,斑块形状不规则化;从景观层面看,景观形态更为复杂,斑块数量增加,景观连通性差,景观多样性逐渐增强。③归一化植被指数(NDVI)、人口数量和高程是影响景观格局的主要驱动因子。自然因素和人为活动因素之间的交互作用明显强于单一因子的独立作用。NDVI和坡度对景观格局的影响存在空间异质性,其中NDVI在大部分区域对景观格局产生负向影响,而坡度则在空间上体现为正负影响共存的特征。
结论新化县景观格局整体呈破碎化趋势,异质性增强,斑块形态趋于复杂。这种景观格局的变化主要是自然因子和社会因子共同驱动的结果。图7表5参32
2025, 42(6): 1285-1295.
doi:10.11833/j.issn.2095-0756.20250167
摘要:
目的探寻乡村景观分区方法与管控措施,有效保护景观特征,持续供应生态系统服务,促进乡村可持续发展。
方法选取滁州市5类景观特征要素,识别乡村景观特征类型和特征区,并结合生态系统服务功能的量化评估划分乡村景观管控分区。
结果①研究区乡村景观可划分为35种景观特征类型和26类景观特征区,其中耕地占主导地位的景观特征区总面积为9 634.03 km
2,占比达80.44%,是滁州市乡村主要景观特征区。②生境质量、水源涵养、碳固定、土壤保持及综合生态系统服务重要性呈现出中部区域带状延展,西部凤阳山集中分布的“一带一心”空间格局。③融合景观特征与生态系统服务将滁州市乡村景观分成生态修复区、生态建设区、生态恢复区、生态维护区和生态保育区。
结论景观特征识别与生态系统服务评价相结合的方法能有效维系乡村景观的异质性与整体性,精准反映其地域性特质和生态属性,显著提升分区管控的科学合理性。图6表2参36
2025, 42(6): 1296-1306.
doi:10.11833/j.issn.2095-0756.20240631
摘要:
目的集体林地役权改革是建立国家公园体制的重要举措。在实现国家主导管理提升生态文明的同时,集体林地役权改革能否促进林农非农就业,实现“生态美、百姓富”的和谐统一值得探讨。
方法基于2022年浙江省开化县和龙泉市实地调研的381户有效问卷,采用双重差分法评估地役权改革对林农非农就业及其质量的影响。
结果双重差分模型基准回归结果和倾向得分匹配-双重差分模型回归结果表明:地役权改革对林农非农就业、非农就业收入、非农就业稳定性均在1%的显著性水平上存在正向影响。机制检验表明:地役权改革可以通过职业技能培训、拓宽非农就业范围、增加非农就业机会来促进林农非农就业,提高林农非农就业质量。从户主年龄、家庭人口负担和区域角度进行异质性分析,进一步检验了地役权改革对林农就业的显著正向影响。
结论合理的地役权改革可以促进林农非农就业,并提升就业质量。提出3项对策建议:持续深化地役权改革,做优当地特色产业,为林农提供更多优质的非农就业机会;强化职业技能培训,提升林农非农就业能力,降低林农的林业经济依赖;尊重基层首创精神,遵循“激励相容”原则,实现“生态美、百姓富”的和谐统一。图3表6参31
2025, 42(6): 1307-1314.
doi:10.11833/j.issn.2095-0756.20250190
摘要:
目的制备带不同电荷的竹基纤维素纳米纤丝(cellulose nanofibrils,CNF),系统评估其对装饰原纸性能的影响,以探索适合装饰原纸的高性能绿色添加剂。
方法对竹浆分别采用磷酸化和阳离子化预处理,结合机械研磨方法,制备竹基磷酸化CNF (PCNF)和阳离子化CNF (CCNF),并以直接研磨的竹基CNF (UCNF)为对照组。在此基础上,考察竹基CNF浓度对装饰原纸的干湿强度、助留效果和透气度等性能的影响。
结果竹基CNF均可有效提升装饰原纸的干湿强度和助留性,其中,CCNF因更小的纤维直径和正电荷特性,在相同添加量下展现出更高的干湿强度、助留效果和空气透过率,当CCNF添加量为3.0%时,装饰原纸的干、湿强度和灰分质量分数分别提高了16.6%、22.7%和21.6%,透气度保持良好。PCNF在湿强度增强方面表现更佳,3.0%PCNF添加量的装饰原纸湿强度提高了35.1%,但助留效果一般。
结论竹基CCNF在装饰原纸中表现出优异的综合性能,适合用作高性能绿色添加剂。图6参27
2025, 42(6): 1315-1329.
doi:10.11833/j.issn.2095-0756.20240660
摘要:
温室气体排放导致了日益严重的温室效应,加剧气候变暖和极端天气频发等全球环境问题。农业生产中排放的甲烷(CH4)和氧化亚氮(N2O)等是温室气体排放的重要来源。中国是世界主要的农业大国,由于耕地有限,粮食需求量大,且地形种类丰富、气候多样,产生了多种适应当地生产条件的轮作模式。研究表明:轮作模式通过土壤管理、灌溉和施肥策略显著影响温室气体的排放。例如,水稻Oryza sativa-小麦Triticum aestivum轮作因水分管理导致较高的CH4排放,小麦-玉米Zea mays轮作因频繁耕作增加了N2O排放。不同轮作模式下,土壤微生物群落结构和功能的变化也对温室气体排放产生重要影响。尽管已有研究揭示了部分机制,但关于轮作模式长期效应及其与气候变化的互作仍需深入研究。本研究综述了水旱轮作、旱地轮作等常见轮作模式对农业温室气体排放影响的研究进展,提出了未来的研究方向,以期为环境保护和温室气体减排提供理论参考。参106
温室气体排放导致了日益严重的温室效应,加剧气候变暖和极端天气频发等全球环境问题。农业生产中排放的甲烷(CH4)和氧化亚氮(N2O)等是温室气体排放的重要来源。中国是世界主要的农业大国,由于耕地有限,粮食需求量大,且地形种类丰富、气候多样,产生了多种适应当地生产条件的轮作模式。研究表明:轮作模式通过土壤管理、灌溉和施肥策略显著影响温室气体的排放。例如,水稻Oryza sativa-小麦Triticum aestivum轮作因水分管理导致较高的CH4排放,小麦-玉米Zea mays轮作因频繁耕作增加了N2O排放。不同轮作模式下,土壤微生物群落结构和功能的变化也对温室气体排放产生重要影响。尽管已有研究揭示了部分机制,但关于轮作模式长期效应及其与气候变化的互作仍需深入研究。本研究综述了水旱轮作、旱地轮作等常见轮作模式对农业温室气体排放影响的研究进展,提出了未来的研究方向,以期为环境保护和温室气体减排提供理论参考。参106
2025, 42(6): 1330-1338.
doi:10.11833/j.issn.2095-0756.20250121
摘要:
冬青属Ilex是冬青科Aquifoliaceae最大的属,也是被子植物中最大的木本雌雄异株属。冬青属植物在观赏、药用、食用以及工业上都具有重要价值。该属植物广泛的生态分布和丰富的表型变异引起了众多科学家的探索兴趣。本研究讨论了利用高通量测序技术对冬青属植物基因组研究的主要成果,总结了该属不同物种和不同水平的基因组之间的差异。目前冬青属植物基因组研究集中在:①核基因组和细胞器基因组组装;②系统发育和遗传多样性的解析;③重要性状关键候选基因的挖掘与鉴定。主要结论为:冬青属植物核基因组具有染色体数目多样性、杂合率高等特点;该属起源于始新世早期的东亚亚热带地区,其进化核心可能是染色体融合与全基因组复制事件;已鉴定出参与调控海拔适应性、三萜皂苷和果实转色的关键基因。未来冬青属植物基因组研究应着重于提升更多代表性物种的基因组组装质量与完整性,深入开展功能基因组学研究,验证关键基因的功能及其调控网络、解析复杂性状形成的遗传基础,利用基因组信息加速冬青属植物的分子育种进程。表4参51
冬青属Ilex是冬青科Aquifoliaceae最大的属,也是被子植物中最大的木本雌雄异株属。冬青属植物在观赏、药用、食用以及工业上都具有重要价值。该属植物广泛的生态分布和丰富的表型变异引起了众多科学家的探索兴趣。本研究讨论了利用高通量测序技术对冬青属植物基因组研究的主要成果,总结了该属不同物种和不同水平的基因组之间的差异。目前冬青属植物基因组研究集中在:①核基因组和细胞器基因组组装;②系统发育和遗传多样性的解析;③重要性状关键候选基因的挖掘与鉴定。主要结论为:冬青属植物核基因组具有染色体数目多样性、杂合率高等特点;该属起源于始新世早期的东亚亚热带地区,其进化核心可能是染色体融合与全基因组复制事件;已鉴定出参与调控海拔适应性、三萜皂苷和果实转色的关键基因。未来冬青属植物基因组研究应着重于提升更多代表性物种的基因组组装质量与完整性,深入开展功能基因组学研究,验证关键基因的功能及其调控网络、解析复杂性状形成的遗传基础,利用基因组信息加速冬青属植物的分子育种进程。表4参51
下载排行
阅读排行

























































