2016年 第33卷 第3期
2016, 33(3): 369-376.
doi:10.11833/j.issn.2095-0756.2016.03.001
摘要:
基于浙江省集体林区4县(市)16个村庄192个农户的实地调查数据, 在对集体林区农户林业生产经营与技术需求状况进行简要分析的基础上, 采用计量经济学方法对农户林业生产技术需求的决定因素进行了分析。研究结果表明:①集体林区农户户均林地面积为1.6 hm2, 近5 a有超过1/3的农户参与造林, 但人均林业收入在居民人均纯收入中所占比例仅为8.2%。②林区农户林业生产技术来源以自身经验积累为主, 通过参加培训获得技术的比例仅为4.5%。同时, 对新品种和病虫害防治技术需求程度较高, 分别为40.3%和31.3%。③林种结构、收入水平、培训经历、受教育程度等是影响林区农户林业生产技术需求的主要因素。著者最后提出了相应的政策建议。表7参15
基于浙江省集体林区4县(市)16个村庄192个农户的实地调查数据, 在对集体林区农户林业生产经营与技术需求状况进行简要分析的基础上, 采用计量经济学方法对农户林业生产技术需求的决定因素进行了分析。研究结果表明:①集体林区农户户均林地面积为1.6 hm2, 近5 a有超过1/3的农户参与造林, 但人均林业收入在居民人均纯收入中所占比例仅为8.2%。②林区农户林业生产技术来源以自身经验积累为主, 通过参加培训获得技术的比例仅为4.5%。同时, 对新品种和病虫害防治技术需求程度较高, 分别为40.3%和31.3%。③林种结构、收入水平、培训经历、受教育程度等是影响林区农户林业生产技术需求的主要因素。著者最后提出了相应的政策建议。表7参15
2016, 33(3): 377-383.
doi:10.11833/j.issn.2095-0756.2016.03.002
摘要:
森林碳储量主要通过地面调查数据来估算,存在着统计工作量大,建模复杂度高等难点。如何快捷、准确地估测森林碳储量一直是国内外林业领域研究的热点和难题。结合遥感图像监测尺度大和InVEST模型输入参数少的特点,提出一种基于InVEST模型结合遥感图像估测森林碳储量的方法。该方法根据森林类型碳储量信息和相应的栅格数据,利用InVEST模型估测区域森林碳储量,然后通过比对多期遥感数据估测出的碳储量得出该区域碳储量变化,从而实现森林碳储量的动态监测。对浙江省庆元县2009年的碳储量进行了估算和绘图,根据行政区划图可估算出乡(镇)和村级的碳储量。实验分别对坑西村2009年和2014年的碳储量进行了估算,根据基于碳库差别的方法实现了碳储量动态监测。实验结果表明:①庆元县2009年的森林碳储量为3.274 3×107 Mg;②坑西村2009年到2014年碳储量增加了1.780 3×104Mg。相比不对森林类型进行细分的森林平均碳密度,将各森林类型平均碳储量和森林类型年度碳汇量引入到森林碳储量监测中,使得森林碳储量的估测精度得到了提升。另外,提出的森林碳储量动态监测可实现对县、乡(镇)和村级的监测,具有模型输入数据量少和输出结果可视化的优点,以及监测手段简单便捷,操作性强等特点。图5表4参32
森林碳储量主要通过地面调查数据来估算,存在着统计工作量大,建模复杂度高等难点。如何快捷、准确地估测森林碳储量一直是国内外林业领域研究的热点和难题。结合遥感图像监测尺度大和InVEST模型输入参数少的特点,提出一种基于InVEST模型结合遥感图像估测森林碳储量的方法。该方法根据森林类型碳储量信息和相应的栅格数据,利用InVEST模型估测区域森林碳储量,然后通过比对多期遥感数据估测出的碳储量得出该区域碳储量变化,从而实现森林碳储量的动态监测。对浙江省庆元县2009年的碳储量进行了估算和绘图,根据行政区划图可估算出乡(镇)和村级的碳储量。实验分别对坑西村2009年和2014年的碳储量进行了估算,根据基于碳库差别的方法实现了碳储量动态监测。实验结果表明:①庆元县2009年的森林碳储量为3.274 3×107 Mg;②坑西村2009年到2014年碳储量增加了1.780 3×104Mg。相比不对森林类型进行细分的森林平均碳密度,将各森林类型平均碳储量和森林类型年度碳汇量引入到森林碳储量监测中,使得森林碳储量的估测精度得到了提升。另外,提出的森林碳储量动态监测可实现对县、乡(镇)和村级的监测,具有模型输入数据量少和输出结果可视化的优点,以及监测手段简单便捷,操作性强等特点。图5表4参32
2016, 33(3): 384-393.
doi:10.11833/j.issn.2095-0756.2016.03.003
摘要:
森林碳储量是反映森林生态系统生产力的重要指标,也是区域森林碳汇计量的基础。以浙江省开化县为研究区,采用2013年资源3号遥感影像与2014年森林资源清查样地数据,结合序列高斯协同模拟方法对全县地上部分森林碳储量及其分布进行估计,并以平均误差、残差平方和、平均相对误差以及均方根误差4个指标为基础对估计结果进行精度评价。结果表明:开化县2014年森林总碳储量空间协同仿真估计结果为7.221 573 Tg,碳密度值分布为0~109.178 0 Mg·hm-2,均值为32.376 4 Mg·hm-2,基于15%检验样本的平均相对误差为4.565%,仿真估计碳总量在实测样地估算的置信区间内。本研究发现,遥感影像与地面样地森林碳密度的相关性随遥感影像的空间分辨率变化而变化,这对于提高森林碳储量估计精度有着重要意义,也是下一步研究的重点。图5表3参29
森林碳储量是反映森林生态系统生产力的重要指标,也是区域森林碳汇计量的基础。以浙江省开化县为研究区,采用2013年资源3号遥感影像与2014年森林资源清查样地数据,结合序列高斯协同模拟方法对全县地上部分森林碳储量及其分布进行估计,并以平均误差、残差平方和、平均相对误差以及均方根误差4个指标为基础对估计结果进行精度评价。结果表明:开化县2014年森林总碳储量空间协同仿真估计结果为7.221 573 Tg,碳密度值分布为0~109.178 0 Mg·hm-2,均值为32.376 4 Mg·hm-2,基于15%检验样本的平均相对误差为4.565%,仿真估计碳总量在实测样地估算的置信区间内。本研究发现,遥感影像与地面样地森林碳密度的相关性随遥感影像的空间分辨率变化而变化,这对于提高森林碳储量估计精度有着重要意义,也是下一步研究的重点。图5表3参29
2016, 33(3): 394-402.
doi:10.11833/j.issn.2095-0756.2016.03.004
摘要:
为了研究吉林省汪清县金沟岭林场林下灌木的生物量,以该林场3种不同郁闭度(0.6,0.8,1.0)的天然红皮云杉Picea koraiensis,鱼鳞云杉Picea jezoensis和冷杉Abies nephrolepis林为研究对象,以灌木生物量实测数据为基础,用R软件拟合了灌木层出现频率较高的13个物种单一物种生物量最优模型和各物种不同器官的最优模型,挑选判定系数R2和方差分析F值较大,剩余标准差ESEE和平均相对误差E值较小的作为生物量最优模型,以及探索了不同主林层密度下各物种生物量的差异与分配。结果表明:各物种不同器官最优模型除了青楷槭Acer tegmentosum叶和根,花楷槭Acer ukurunduense干为幂函数外,其他多为一元二次方程或二元一次方程;单一物种混合模型多为一元二次方程或二元一次方程。枝、干最优模型的自变量多为D2H(D为地径,H为株高)和CH(C为冠幅,H为株高);根系多采用因子D2H。林下灌木生物量(W)随着林分密度的减小,出现先减小后增大的趋势,即W(0.6)>W(1.0)>W(0.8)。图2表4参27
为了研究吉林省汪清县金沟岭林场林下灌木的生物量,以该林场3种不同郁闭度(0.6,0.8,1.0)的天然红皮云杉Picea koraiensis,鱼鳞云杉Picea jezoensis和冷杉Abies nephrolepis林为研究对象,以灌木生物量实测数据为基础,用R软件拟合了灌木层出现频率较高的13个物种单一物种生物量最优模型和各物种不同器官的最优模型,挑选判定系数R2和方差分析F值较大,剩余标准差ESEE和平均相对误差E值较小的作为生物量最优模型,以及探索了不同主林层密度下各物种生物量的差异与分配。结果表明:各物种不同器官最优模型除了青楷槭Acer tegmentosum叶和根,花楷槭Acer ukurunduense干为幂函数外,其他多为一元二次方程或二元一次方程;单一物种混合模型多为一元二次方程或二元一次方程。枝、干最优模型的自变量多为D2H(D为地径,H为株高)和CH(C为冠幅,H为株高);根系多采用因子D2H。林下灌木生物量(W)随着林分密度的减小,出现先减小后增大的趋势,即W(0.6)>W(1.0)>W(0.8)。图2表4参27
2016, 33(3): 403-408.
doi:10.11833/j.issn.2095-0756.2016.03.005
摘要:
为提高林木生长状态测量的准确性,克服传统测量方法的不足,从视差处理的角度出发,根据不同时间点采集到的树木图像信息,通过采取特征点提取方法,判断出一段时间内树木生长状态的变化情况。试验过程中,将待采集图像的树木上标出红色的矩形信息点,并利用双摄像机针对标出的特征点进行采集,然后将2幅树木图像进行对比研究, 分别计算出在一定时间间隔内树木上信息点空间信息,从而确定该段时间内信息点的位置变化。试验结果表明:针对标定的信息点,传统测量方法在高度和粗度上数值相近,与林木生长实际不符;而基于视觉技术的测量,其测量结果与林木的实际增长过程是一致的,能够很好地实现对树木的无损测量研究,判断出树木的生长状态变化情况。图4表1参22
为提高林木生长状态测量的准确性,克服传统测量方法的不足,从视差处理的角度出发,根据不同时间点采集到的树木图像信息,通过采取特征点提取方法,判断出一段时间内树木生长状态的变化情况。试验过程中,将待采集图像的树木上标出红色的矩形信息点,并利用双摄像机针对标出的特征点进行采集,然后将2幅树木图像进行对比研究, 分别计算出在一定时间间隔内树木上信息点空间信息,从而确定该段时间内信息点的位置变化。试验结果表明:针对标定的信息点,传统测量方法在高度和粗度上数值相近,与林木生长实际不符;而基于视觉技术的测量,其测量结果与林木的实际增长过程是一致的,能够很好地实现对树木的无损测量研究,判断出树木的生长状态变化情况。图4表1参22
2016, 33(3): 409-417.
doi:10.11833/j.issn.2095-0756.2016.03.006
摘要:
为了解雷竹Phyllostachys violascens引种栽培对当地土壤动物群落结构的影响,于2014年10月,以毗邻乡土竹类慈竹Neosinocalamus affinis和农耕地为对照,采用手捡法和干湿漏斗法对土壤动物群落进行调查。结果显示:实验共收集到土壤动物3 477只,隶属于3门9纲24目;土壤动物平均密度排序为雷竹(3.47×105只·m-2)>慈竹(9.65×104只·m-2)>农耕地(4.58×104只·m-2),类群数为慈竹(30个)>雷竹(28个)>农耕地(15个),其中,各样地间土壤动物平均密度和类群数差异显著(P<0.05)。密度-类群指数(IDG)以雷竹和慈竹样地显著高于农耕地(P<0.05),各样地土壤动物丰富度指数(D)和多样性指数(H′)存在显著差异(P<0.05),其余各指数差异不显著(P>0.05);各样地土壤动物垂直分布均呈现表聚性分布特性;雷竹与慈竹样地土壤动物的群落相似性较高,各样地土壤动物的相似性指数均表现为随土层深度的增加而降低。雷竹的引种栽培对当地土壤动物群落分布与多样性特征产生了一定影响。图2表5参32
为了解雷竹Phyllostachys violascens引种栽培对当地土壤动物群落结构的影响,于2014年10月,以毗邻乡土竹类慈竹Neosinocalamus affinis和农耕地为对照,采用手捡法和干湿漏斗法对土壤动物群落进行调查。结果显示:实验共收集到土壤动物3 477只,隶属于3门9纲24目;土壤动物平均密度排序为雷竹(3.47×105只·m-2)>慈竹(9.65×104只·m-2)>农耕地(4.58×104只·m-2),类群数为慈竹(30个)>雷竹(28个)>农耕地(15个),其中,各样地间土壤动物平均密度和类群数差异显著(P<0.05)。密度-类群指数(IDG)以雷竹和慈竹样地显著高于农耕地(P<0.05),各样地土壤动物丰富度指数(D)和多样性指数(H′)存在显著差异(P<0.05),其余各指数差异不显著(P>0.05);各样地土壤动物垂直分布均呈现表聚性分布特性;雷竹与慈竹样地土壤动物的群落相似性较高,各样地土壤动物的相似性指数均表现为随土层深度的增加而降低。雷竹的引种栽培对当地土壤动物群落分布与多样性特征产生了一定影响。图2表5参32
2016, 33(3): 418-426.
doi:10.11833/j.issn.2095-0756.2016.03.007
摘要:
应用平板分离培养和内转录间隔区(internal transcribed spacers,ITS)序列分析的方法,筛选鉴定集约栽培雷竹Phyllostachys violascens林土壤中染料降解真菌菌株,并通过摇瓶发酵研究其染料脱色效果。结果表明:土壤样品中分离频次最高的真菌种类为木霉菌属Trichoderma,对5 株接种到苯胺蓝平板上能形成明显水解圈的真菌分离物,测试它们对偶氮和三苯甲烷类染料的降解能力。综合脱色效果较好的菌株为P7-2-3和P12-2-4,ITS序列比对和形态学观察表明菌株分别是卷枝毛霉Mucor circinelloides和木霉菌Trichoderma sp.,接种不超过500.0 mg·L-1质量浓度结晶紫染料液体发酵脱色均可获得较高的脱色率;但染料质量浓度为300.0 mg·L-1和400.0 mg·L-1时分别对2菌株的脱色能力产生明显抑制,降解染料质量与菌丝生物量之间存在显著的正相关性。图4表2参31
应用平板分离培养和内转录间隔区(internal transcribed spacers,ITS)序列分析的方法,筛选鉴定集约栽培雷竹Phyllostachys violascens林土壤中染料降解真菌菌株,并通过摇瓶发酵研究其染料脱色效果。结果表明:土壤样品中分离频次最高的真菌种类为木霉菌属Trichoderma,对5 株接种到苯胺蓝平板上能形成明显水解圈的真菌分离物,测试它们对偶氮和三苯甲烷类染料的降解能力。综合脱色效果较好的菌株为P7-2-3和P12-2-4,ITS序列比对和形态学观察表明菌株分别是卷枝毛霉Mucor circinelloides和木霉菌Trichoderma sp.,接种不超过500.0 mg·L-1质量浓度结晶紫染料液体发酵脱色均可获得较高的脱色率;但染料质量浓度为300.0 mg·L-1和400.0 mg·L-1时分别对2菌株的脱色能力产生明显抑制,降解染料质量与菌丝生物量之间存在显著的正相关性。图4表2参31
2016, 33(3): 477-482.
doi:10.11833/j.issn.2095-0756.2016.03.015
摘要:
针对重组竹方材含水率低、密度大且难刨切的现状,采用不同压力的加压浸注和不同温度的水煮软化工艺对重组竹方材进行增湿软化处理,研究增湿软化后重组竹方材的增重率、传热及硬度的变化情况。研究结果表明:随着压力的增大和时间的延续,重组竹方材的增重率逐步增大,压力1.2 MPa以后增重率增加不明显;随着水煮软化温度的升高和时间的延续,重组竹方材的增重率变化率呈增大的趋势,36.0 h后增大趋势变缓;重组竹内部温度在8.0 h时已趋于稳定。硬度测试结果表明,经过加压浸渍和水煮软化后,重组竹材的硬度下降明显,和未处理材相比下降了36.2%,而重组竹表面的裂纹长度和宽度有所增加,和未处理材相比裂纹平均长度增加了21.1%,平均宽度增加了16.7%。说明采用加压浸注和水煮软化的生产工艺能对重组竹方材起到较好的软化效果,但也在一定程度上影响了其表面的裂纹长度和宽度。图4表2参16
针对重组竹方材含水率低、密度大且难刨切的现状,采用不同压力的加压浸注和不同温度的水煮软化工艺对重组竹方材进行增湿软化处理,研究增湿软化后重组竹方材的增重率、传热及硬度的变化情况。研究结果表明:随着压力的增大和时间的延续,重组竹方材的增重率逐步增大,压力1.2 MPa以后增重率增加不明显;随着水煮软化温度的升高和时间的延续,重组竹方材的增重率变化率呈增大的趋势,36.0 h后增大趋势变缓;重组竹内部温度在8.0 h时已趋于稳定。硬度测试结果表明,经过加压浸渍和水煮软化后,重组竹材的硬度下降明显,和未处理材相比下降了36.2%,而重组竹表面的裂纹长度和宽度有所增加,和未处理材相比裂纹平均长度增加了21.1%,平均宽度增加了16.7%。说明采用加压浸注和水煮软化的生产工艺能对重组竹方材起到较好的软化效果,但也在一定程度上影响了其表面的裂纹长度和宽度。图4表2参16
2016, 33(3): 483-488.
doi:10.11833/j.issn.2095-0756.2016.03.016
摘要:
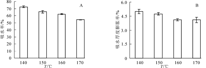
为了研究热压温度对硅烷化杨木(107杨Populus×euramericana)单板/高密度聚乙烯(HDPE)薄膜复合材料各项性能的影响,以乙烯基三甲氧基硅烷(A-171)和过氧化二异丙苯(DCP)为杨木单板的改性剂,在不同的热压温度下(140,150,160,170 ℃)与HDPE薄膜复合制备了硅烷化杨木单板/高密度聚乙烯(HDPE)薄膜复合材料。采用万能力学试验机、动态力学分析仪(DMA)和冷场发射扫描电子显微镜(SEM)测定了不同热压温度下复合材料的物理力学性能、动态热力学性能以及胶接界面结构的变化。结果表明:热压温度为140~150 ℃时,复合材料的界面结合力较弱,胶接界面层存在明显的缝隙。当热压温度达到160 ℃时,硅烷化杨木单板与HDPE大分子自由基发生充分有效的胶合,形成能有效提高复合材料性能的胶接界面结构。当热压温度从140 ℃升高到160 ℃时,胶合强度、静曲强度(MOR)和弹性模量(MOE)分别由1.27 MPa,63.90 MPa和5 970.00 MPa增加到1.89 MPa ,72.20 MPa和6 710.00 MPa,但热压温度继续增加,胶合强度和抗弯性能均降低。当热压温度从140 ℃增加到170 ℃时,复合材料24 h吸水率(WA)和吸水厚度膨胀率(TS)分别从72.41%和4.98%降至54.22%和4.09%。复合材料的储能模量保留率E′(130 ℃)由62.31%提高到92.01%,到达tanδmax的温度点从144 ℃延后至200 ℃。复合材料的耐高温破坏能力随着热压温度增加逐渐增强。图5参15
为了研究热压温度对硅烷化杨木(107杨Populus×euramericana)单板/高密度聚乙烯(HDPE)薄膜复合材料各项性能的影响,以乙烯基三甲氧基硅烷(A-171)和过氧化二异丙苯(DCP)为杨木单板的改性剂,在不同的热压温度下(140,150,160,170 ℃)与HDPE薄膜复合制备了硅烷化杨木单板/高密度聚乙烯(HDPE)薄膜复合材料。采用万能力学试验机、动态力学分析仪(DMA)和冷场发射扫描电子显微镜(SEM)测定了不同热压温度下复合材料的物理力学性能、动态热力学性能以及胶接界面结构的变化。结果表明:热压温度为140~150 ℃时,复合材料的界面结合力较弱,胶接界面层存在明显的缝隙。当热压温度达到160 ℃时,硅烷化杨木单板与HDPE大分子自由基发生充分有效的胶合,形成能有效提高复合材料性能的胶接界面结构。当热压温度从140 ℃升高到160 ℃时,胶合强度、静曲强度(MOR)和弹性模量(MOE)分别由1.27 MPa,63.90 MPa和5 970.00 MPa增加到1.89 MPa ,72.20 MPa和6 710.00 MPa,但热压温度继续增加,胶合强度和抗弯性能均降低。当热压温度从140 ℃增加到170 ℃时,复合材料24 h吸水率(WA)和吸水厚度膨胀率(TS)分别从72.41%和4.98%降至54.22%和4.09%。复合材料的储能模量保留率E′(130 ℃)由62.31%提高到92.01%,到达tanδmax的温度点从144 ℃延后至200 ℃。复合材料的耐高温破坏能力随着热压温度增加逐渐增强。图5参15
2016, 33(3): 489-494.
doi:10.11833/j.issn.2095-0756.2016.03.017
摘要:
为了实现市场上常见红酸枝类Dalbergiaspp.木材的快速无损识别,利用高光谱成像技术对不同红酸枝木材进行种类识别研究。以交趾黄檀Dalbergia cochinchinensis,巴里黄檀Dalbergia bariensis,奥氏黄檀Dalbergia oliveri和微凹黄檀Dalbergia retusa为研究对象,采集高光谱图像并提取感兴趣区域内的反射光谱,采用Savitsky-Golay(SG)平滑算法、标准正态变量变换(SNV)和多元散射校正(MSC)对955~1 642 nm 波段光谱进行预处理,并通过主成分分析法(PCA),回归系数法(RC)以及连续投影法(SPA)选择特征波长,分别建立了偏最小二乘判别分析(PLS-DA)和极限学习机(ELM)判别分析模型。研究结果表明:经SG和MSC光谱预处理,采用SPA选择的特征波长建立的ELM模型性能最优,建模集和预测集的识别率均为100.0%。这为红酸枝木材种类的快速无损识别提供了新的方法。图5表4参17
为了实现市场上常见红酸枝类Dalbergiaspp.木材的快速无损识别,利用高光谱成像技术对不同红酸枝木材进行种类识别研究。以交趾黄檀Dalbergia cochinchinensis,巴里黄檀Dalbergia bariensis,奥氏黄檀Dalbergia oliveri和微凹黄檀Dalbergia retusa为研究对象,采集高光谱图像并提取感兴趣区域内的反射光谱,采用Savitsky-Golay(SG)平滑算法、标准正态变量变换(SNV)和多元散射校正(MSC)对955~1 642 nm 波段光谱进行预处理,并通过主成分分析法(PCA),回归系数法(RC)以及连续投影法(SPA)选择特征波长,分别建立了偏最小二乘判别分析(PLS-DA)和极限学习机(ELM)判别分析模型。研究结果表明:经SG和MSC光谱预处理,采用SPA选择的特征波长建立的ELM模型性能最优,建模集和预测集的识别率均为100.0%。这为红酸枝木材种类的快速无损识别提供了新的方法。图5表4参17
2016, 33(3): 495-499.
doi:10.11833/j.issn.2095-0756.2016.03.018
摘要:
通过电子鼻技术检测不同竹笋间气味的差异性,以便初步建立一种可以快速区分竹笋种类的科学方法。以壮绿竹Dendrocalamopsis valida,绿竹Dendrocalamopsis oldhami,梁山慈竹Sinocalmus affinis,马来甜龙竹Dendrocalamus aspera,芦竹Arundo donax,撑绿竹Bambusa pervariabilis×Dendrocalamopsis grandis,硬头黄竹Bambusa rigida和毛竹Phyllostachys edulis等8种竹笋为实验对象,采用电子鼻对它们具有特殊气味的挥发性气体进行分析检测,通过主成分分析法(PCA),线性判别法(LDA)和分层聚类分析(HCA)对8种竹笋样品进行了分析。结果表明:通过电子鼻技术,8种竹笋能准确地被区分,且各种竹笋气味间存在差异性。通过Loading分析表明传感器贡献率较大的是传感器W5S和传感器W1S。电子鼻技术可以应用于不同竹笋种类的区分和鉴别。图5表3参15
通过电子鼻技术检测不同竹笋间气味的差异性,以便初步建立一种可以快速区分竹笋种类的科学方法。以壮绿竹Dendrocalamopsis valida,绿竹Dendrocalamopsis oldhami,梁山慈竹Sinocalmus affinis,马来甜龙竹Dendrocalamus aspera,芦竹Arundo donax,撑绿竹Bambusa pervariabilis×Dendrocalamopsis grandis,硬头黄竹Bambusa rigida和毛竹Phyllostachys edulis等8种竹笋为实验对象,采用电子鼻对它们具有特殊气味的挥发性气体进行分析检测,通过主成分分析法(PCA),线性判别法(LDA)和分层聚类分析(HCA)对8种竹笋样品进行了分析。结果表明:通过电子鼻技术,8种竹笋能准确地被区分,且各种竹笋气味间存在差异性。通过Loading分析表明传感器贡献率较大的是传感器W5S和传感器W1S。电子鼻技术可以应用于不同竹笋种类的区分和鉴别。图5表3参15
2016, 33(3): 500-505.
doi:10.11833/j.issn.2095-0756.2016.03.019
摘要:
为了解《浙江农林大学学报》(以下简称学报)学术影响力,利用美国科学引文索引(Science Citation Index,SCI)和中国引文数据库(Chinese Citation Database,CCD),对学报2000-2013年载文被引证数据进行了分析;选取学报在“中国引文数据库”中历年被引频次前5%的论文作为高被引论文,分析其学科分布、作者及单位等,并分析了2002-2007年的26篇零被引论文。结果表明:2000-2013年,学报有202篇论文被SCI引用了289次,高被引论文及高被引作者很少;被引论文作者主要来自浙江农林大学,学科分布主要为农业科学;学报被SCI引用主要来自于中国作者发表在国际SCI刊物上的文章。在“中国引文数据库”中,学报共有1 683篇文献被引用21 094次;92篇高被引论文主要分布于林业、园艺与植物学;论文零被引主要与论文主题有关。图1表5参10
为了解《浙江农林大学学报》(以下简称学报)学术影响力,利用美国科学引文索引(Science Citation Index,SCI)和中国引文数据库(Chinese Citation Database,CCD),对学报2000-2013年载文被引证数据进行了分析;选取学报在“中国引文数据库”中历年被引频次前5%的论文作为高被引论文,分析其学科分布、作者及单位等,并分析了2002-2007年的26篇零被引论文。结果表明:2000-2013年,学报有202篇论文被SCI引用了289次,高被引论文及高被引作者很少;被引论文作者主要来自浙江农林大学,学科分布主要为农业科学;学报被SCI引用主要来自于中国作者发表在国际SCI刊物上的文章。在“中国引文数据库”中,学报共有1 683篇文献被引用21 094次;92篇高被引论文主要分布于林业、园艺与植物学;论文零被引主要与论文主题有关。图1表5参10
2016, 33(3): 427-433.
doi:10.11833/j.issn.2095-0756.2016.03.008
摘要:
基于浙江省永康市市域范围内7种土地利用类型的采样点共计203个,利用描述性统计分析、单因素评价分析、内梅罗综合污染指数、相关性分析、主成分分析和聚类分析等方法对研究区土壤表层重金属质量分数、污染程度和重金属相关关系及来源进行研究。结果表明:①永康市城市土壤表层重金属砷(As),钴(Co),铬(Cr),铜(Cu),锰(Mn),镍(Ni),铅(Pb),钛(Ti),钒(V),锌(Zn)的平均质量分数为6.57,10.57,119.55,22.978,528.51,22.45,37.67,5751.81,84.37,90.25 mg·kg-1;②研究区表层土壤均呈现为轻度及以上污染水平,重金属元素的平均单因素污染指数由大到小依次为铬>镍>钒>钴>钛>铜>锌>锰>铅>砷;平均内梅罗综合污染指数由高到低排序为工业用地>交通用地>公园绿地>住宅用地>林地>市政文教用地>耕地。③永康市城市土壤表层中铬、铜、镍、铅、锌元素主要来源与当地的五金制造业和交通运输,砷和钒主要来源于工业与自然成土过程中的元素积累,钴和钛主要来源于五金制造业。图2表8参22
基于浙江省永康市市域范围内7种土地利用类型的采样点共计203个,利用描述性统计分析、单因素评价分析、内梅罗综合污染指数、相关性分析、主成分分析和聚类分析等方法对研究区土壤表层重金属质量分数、污染程度和重金属相关关系及来源进行研究。结果表明:①永康市城市土壤表层重金属砷(As),钴(Co),铬(Cr),铜(Cu),锰(Mn),镍(Ni),铅(Pb),钛(Ti),钒(V),锌(Zn)的平均质量分数为6.57,10.57,119.55,22.978,528.51,22.45,37.67,5751.81,84.37,90.25 mg·kg-1;②研究区表层土壤均呈现为轻度及以上污染水平,重金属元素的平均单因素污染指数由大到小依次为铬>镍>钒>钴>钛>铜>锌>锰>铅>砷;平均内梅罗综合污染指数由高到低排序为工业用地>交通用地>公园绿地>住宅用地>林地>市政文教用地>耕地。③永康市城市土壤表层中铬、铜、镍、铅、锌元素主要来源与当地的五金制造业和交通运输,砷和钒主要来源于工业与自然成土过程中的元素积累,钴和钛主要来源于五金制造业。图2表8参22
2016, 33(3): 440-448.
doi:10.11833/j.issn.2095-0756.2016.03.010
摘要:
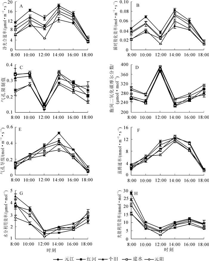
为了解干热河谷不同种源牛角瓜Calotropis gigantea苗期的光合生理特性,比较分析了牛角瓜幼苗净光合速率(Pn),气孔导度(Gs),胞间二氧化碳摩尔分数(Ci),蒸腾速率(Tr),水分利用效率(WUE),光能利用效率(LUE),瞬时羧化效率(CE)和气孔限制值(ls)在元江、红河、个旧、建水、元阳等种源间的日变化动态与日均值差异。牛角瓜5个种源的Pn日变化动态均呈双峰曲线,但在不同时刻的数值存在种源间差异。牛角瓜对高温具有极强的适应性,它通过增加气孔导度和蒸腾作用来提高光合同化效率。干热河谷的极端高温不是影响牛角瓜幼苗光合作用与羧化反应的限制因素,而正午的强光辐射显著抑制了牛角瓜幼苗的光合作用与水分利用。干热河谷牛角瓜不同种源间的光合生理参数日均值具有显著差异(P<0.05),红河种源的Pn,Tr,LUE和CE显著高于其他4个种源(P<0.05),个旧种源表现出“高光合、低蒸腾”的显著特点,具有最高的WUE和较高的Pn,LUE和CE,因此筛选出红河、个旧为具有高水平光合生产与水分利用潜力的干热河谷牛角瓜种质资源。图3表1参43
为了解干热河谷不同种源牛角瓜Calotropis gigantea苗期的光合生理特性,比较分析了牛角瓜幼苗净光合速率(Pn),气孔导度(Gs),胞间二氧化碳摩尔分数(Ci),蒸腾速率(Tr),水分利用效率(WUE),光能利用效率(LUE),瞬时羧化效率(CE)和气孔限制值(ls)在元江、红河、个旧、建水、元阳等种源间的日变化动态与日均值差异。牛角瓜5个种源的Pn日变化动态均呈双峰曲线,但在不同时刻的数值存在种源间差异。牛角瓜对高温具有极强的适应性,它通过增加气孔导度和蒸腾作用来提高光合同化效率。干热河谷的极端高温不是影响牛角瓜幼苗光合作用与羧化反应的限制因素,而正午的强光辐射显著抑制了牛角瓜幼苗的光合作用与水分利用。干热河谷牛角瓜不同种源间的光合生理参数日均值具有显著差异(P<0.05),红河种源的Pn,Tr,LUE和CE显著高于其他4个种源(P<0.05),个旧种源表现出“高光合、低蒸腾”的显著特点,具有最高的WUE和较高的Pn,LUE和CE,因此筛选出红河、个旧为具有高水平光合生产与水分利用潜力的干热河谷牛角瓜种质资源。图3表1参43
2016, 33(3): 449-454.
doi:10.11833/j.issn.2095-0756.2016.03.011
摘要:
为研究高温胁迫下水杨酸(SA)对菊花Chrysanthemum × morifolium幼苗热伤害的缓解作用,以扦插40 d的夏菊幼苗为材料,向叶片喷施不同浓度[0(空白),15,30,45,60 mmol·L-1]的水杨酸溶液,研究在不同高温时间[0(对照),24,48,72 h]处理下叶片叶绿素、丙二醛、脯氨酸、可溶性糖和可溶性蛋白的含量,以及超氧化物歧化酶(SOD),过氧化物酶(POD),过氧化氢酶(CAT)的活性。结果表明:喷施水杨酸能够减轻菊花叶片叶绿素质量分数的降低速度,用30 mmol·L-1水杨酸处理72 h后叶片叶绿素质量分数仅比对照(未进行高温处理)降低了1.7%;高温处理后,使用不同浓度的水杨酸处理能够减轻菊花叶片丙二醛质量摩尔浓度的增加,增加脯氨酸、可溶性蛋白、可溶性糖的质量分数,以30 mmol·L-1的水杨酸处理72 h的效果最好。菊花叶片丙二醛质量摩尔浓度仅比对照增加了86.8%,为4.76 μmol·g-1,脯氨酸、可溶性糖、可溶性蛋白的质量分数则分别增加了94.3%,112.1%和80.0%,均高于其他处理;高温处理后,SOD活性呈现先升高再降低的趋势,POD和CAT活性逐渐升高,而且30 mmol·L-1水杨酸对于SOD和POD的影响最为明显,15 mmol·L-1水杨酸对于CAT的影响最显著。结果表明:短期高温胁迫引起了菊花叶片的叶绿素、可溶性渗透调节物质和抗氧化系统都受到了不容程度的伤害,水杨酸能起到一定的保护作用,减轻高温对叶片的影响。图4参14
为研究高温胁迫下水杨酸(SA)对菊花Chrysanthemum × morifolium幼苗热伤害的缓解作用,以扦插40 d的夏菊幼苗为材料,向叶片喷施不同浓度[0(空白),15,30,45,60 mmol·L-1]的水杨酸溶液,研究在不同高温时间[0(对照),24,48,72 h]处理下叶片叶绿素、丙二醛、脯氨酸、可溶性糖和可溶性蛋白的含量,以及超氧化物歧化酶(SOD),过氧化物酶(POD),过氧化氢酶(CAT)的活性。结果表明:喷施水杨酸能够减轻菊花叶片叶绿素质量分数的降低速度,用30 mmol·L-1水杨酸处理72 h后叶片叶绿素质量分数仅比对照(未进行高温处理)降低了1.7%;高温处理后,使用不同浓度的水杨酸处理能够减轻菊花叶片丙二醛质量摩尔浓度的增加,增加脯氨酸、可溶性蛋白、可溶性糖的质量分数,以30 mmol·L-1的水杨酸处理72 h的效果最好。菊花叶片丙二醛质量摩尔浓度仅比对照增加了86.8%,为4.76 μmol·g-1,脯氨酸、可溶性糖、可溶性蛋白的质量分数则分别增加了94.3%,112.1%和80.0%,均高于其他处理;高温处理后,SOD活性呈现先升高再降低的趋势,POD和CAT活性逐渐升高,而且30 mmol·L-1水杨酸对于SOD和POD的影响最为明显,15 mmol·L-1水杨酸对于CAT的影响最显著。结果表明:短期高温胁迫引起了菊花叶片的叶绿素、可溶性渗透调节物质和抗氧化系统都受到了不容程度的伤害,水杨酸能起到一定的保护作用,减轻高温对叶片的影响。图4参14
2016, 33(3): 455-461.
doi:10.11833/j.issn.2095-0756.2016.03.012
摘要:
采集鹅掌楸Liriodendron chinense4个种源的秋季和冬季的枝条和叶芽,测量抗寒生理指标,使用隶属函数分析法综合评价种源的抗寒性。结果显示:鹅掌楸不同种源的各抗寒生理指标均表现出明显的季节变化。具体为,鹅掌楸冬季叶芽中的丙二醛质量摩尔浓度、可溶性蛋白质量分数、超氧化物歧化酶(SOD)活性、可溶性糖质量分数、脯氨酸质量分数均高于秋季叶芽,相对电导率和含水量均低于秋季叶芽。根据测量的生理指标数据,计算出鹅掌楸4个种源的隶属函数值作为抗寒性的综合评价值,大小分别为云南勐腊0.021,贵州黎平0.286,安徽大别山0.834,浙江富阳0.488。对4个鹅掌楸种源的抗寒性进行了综合排序:安徽大别山>浙江富阳>贵州黎平>云南勐腊。对各抗寒生理指标与隶属函数值进行相关性分析,结果显示:相对电导率、含水量均与隶属函数值呈显著性负相关,脯氨酸质量分数分别与隶属函数值呈显著性正相关。在今后的鹅掌楸抗寒性评价时,上述指标可以被用作较好的评价指标。表6参24
采集鹅掌楸Liriodendron chinense4个种源的秋季和冬季的枝条和叶芽,测量抗寒生理指标,使用隶属函数分析法综合评价种源的抗寒性。结果显示:鹅掌楸不同种源的各抗寒生理指标均表现出明显的季节变化。具体为,鹅掌楸冬季叶芽中的丙二醛质量摩尔浓度、可溶性蛋白质量分数、超氧化物歧化酶(SOD)活性、可溶性糖质量分数、脯氨酸质量分数均高于秋季叶芽,相对电导率和含水量均低于秋季叶芽。根据测量的生理指标数据,计算出鹅掌楸4个种源的隶属函数值作为抗寒性的综合评价值,大小分别为云南勐腊0.021,贵州黎平0.286,安徽大别山0.834,浙江富阳0.488。对4个鹅掌楸种源的抗寒性进行了综合排序:安徽大别山>浙江富阳>贵州黎平>云南勐腊。对各抗寒生理指标与隶属函数值进行相关性分析,结果显示:相对电导率、含水量均与隶属函数值呈显著性负相关,脯氨酸质量分数分别与隶属函数值呈显著性正相关。在今后的鹅掌楸抗寒性评价时,上述指标可以被用作较好的评价指标。表6参24
2016, 33(3): 462-470.
doi:10.11833/j.issn.2095-0756.2016.03.013
摘要:
放牧对草地植物的直接影响包括动物的采食和践踏。为了探讨冷蒿Artemisia frigida的耐牧性,采用人工机械损伤(轻度、中度和重度)的方式处理盆栽冷蒿地上枝叶,分别测定冷蒿叶片和根系活性氧(ROS),丙二醛(MDA),抗坏血酸(AsA)和谷胱甘肽(GSH)质量摩尔浓度,同时测定了抗氧化防御酶和抗坏血酸(AsA)-谷胱甘肽(GSH)循环酶活性的变化。结果表明:随着机械损伤强度的增加,冷蒿叶片超氧阴离子(O2·-)和过氧化氢(H2O2)质量摩尔浓度升高,膜质过氧化增强;超氧化物歧化酶(SOD),过氧化氢酶(CAT)和过氧化物酶(POD)活性随机械损伤强度的增加而升高。在轻度和中度处理下,冷蒿叶片中抗坏血酸过氧化物酶(APX),脱氢抗坏血酸还原酶(DHAR),单脱径抗坏血酸还原并(MDHAR)和谷胱甘肽还原酶(GR)活性增强,抗氧化剂(AsA和GSH)的还原力(ρAsA/ρDHA值和ρGSH/ρGSSG值)处于稳定平衡状态;重度机械损伤下AsA-GSH循环效率显著降低(P≤0.05)。冷蒿根系抗氧化防御系统对机械损伤也表现出明显的应激反应能力。综上所述,机械损伤使冷蒿体内ROS质量摩尔浓度升高,且冷蒿能够在不同程度的机械损伤下快速、有效地启动体内抗氧化防御系统,清除体内过量的ROS,维持一定的AsA-GSH循环效率,表现出较强的耐损伤能力。图4表1参42
放牧对草地植物的直接影响包括动物的采食和践踏。为了探讨冷蒿Artemisia frigida的耐牧性,采用人工机械损伤(轻度、中度和重度)的方式处理盆栽冷蒿地上枝叶,分别测定冷蒿叶片和根系活性氧(ROS),丙二醛(MDA),抗坏血酸(AsA)和谷胱甘肽(GSH)质量摩尔浓度,同时测定了抗氧化防御酶和抗坏血酸(AsA)-谷胱甘肽(GSH)循环酶活性的变化。结果表明:随着机械损伤强度的增加,冷蒿叶片超氧阴离子(O2·-)和过氧化氢(H2O2)质量摩尔浓度升高,膜质过氧化增强;超氧化物歧化酶(SOD),过氧化氢酶(CAT)和过氧化物酶(POD)活性随机械损伤强度的增加而升高。在轻度和中度处理下,冷蒿叶片中抗坏血酸过氧化物酶(APX),脱氢抗坏血酸还原酶(DHAR),单脱径抗坏血酸还原并(MDHAR)和谷胱甘肽还原酶(GR)活性增强,抗氧化剂(AsA和GSH)的还原力(ρAsA/ρDHA值和ρGSH/ρGSSG值)处于稳定平衡状态;重度机械损伤下AsA-GSH循环效率显著降低(P≤0.05)。冷蒿根系抗氧化防御系统对机械损伤也表现出明显的应激反应能力。综上所述,机械损伤使冷蒿体内ROS质量摩尔浓度升高,且冷蒿能够在不同程度的机械损伤下快速、有效地启动体内抗氧化防御系统,清除体内过量的ROS,维持一定的AsA-GSH循环效率,表现出较强的耐损伤能力。图4表1参42
2016, 33(3): 471-476.
doi:10.11833/j.issn.2095-0756.2016.03.014
摘要:
以精刨竹碎料和酚醛树脂为原料,采用高温真空炭化烧结工艺制备了竹材陶瓷,研究了烧结工艺对竹材陶瓷性能、物相组成和微观结构等的影响。结果表明:①烧结温度对竹材陶瓷的尺寸收缩率有较大影响,当烧结温度为600~1 200 ℃时,竹材陶瓷的尺寸收缩率大于20%范围内;②竹材陶瓷的密度减少率在600~1 000 ℃范围内,随着烧结温度的升高逐渐降低,在1 000~1 200 ℃范围内,随着烧结温度的升高逐渐增加;③随着烧结温度的升高,竹材陶瓷的炭得率降低、静曲强度和弹性模量升高、石墨化程度逐渐增强;④酚醛树脂经高温炭化后形成的硬质玻璃碳对竹材细胞起填充、强化作用;⑤竹材陶瓷的较佳烧结温度范围为800~1 000 ℃。图7参15
以精刨竹碎料和酚醛树脂为原料,采用高温真空炭化烧结工艺制备了竹材陶瓷,研究了烧结工艺对竹材陶瓷性能、物相组成和微观结构等的影响。结果表明:①烧结温度对竹材陶瓷的尺寸收缩率有较大影响,当烧结温度为600~1 200 ℃时,竹材陶瓷的尺寸收缩率大于20%范围内;②竹材陶瓷的密度减少率在600~1 000 ℃范围内,随着烧结温度的升高逐渐降低,在1 000~1 200 ℃范围内,随着烧结温度的升高逐渐增加;③随着烧结温度的升高,竹材陶瓷的炭得率降低、静曲强度和弹性模量升高、石墨化程度逐渐增强;④酚醛树脂经高温炭化后形成的硬质玻璃碳对竹材细胞起填充、强化作用;⑤竹材陶瓷的较佳烧结温度范围为800~1 000 ℃。图7参15
2016, 33(3): 434-439.
doi:10.11833/j.issn.2095-0756.2016.03.009
摘要:
多溴联苯醚(PBDEs)作为阻燃剂被广泛使用。因为它对人类的器官、神经系统和免疫系统的危害以及向周边环境的不断迁移,已经逐渐成为人们迫切需要处理的污染物之一。以同系物4-溴联苯醚(BDE-3)作为降解对象,将海藻酸钠和生物碳混合制成微球制剂,对该制剂吸附BDE-3的潜力、机制及添加降解菌Sphingomonassp. DZ3后微球菌剂的吸附增益效应进行研究。结果表明:2%的海藻酸钠为微球制备的最佳质量浓度,该微球制剂在液相中的吸附过程符合Lagergren准一级动力学方程和Elovich方程,微球的最大吸附量为28.6 mg·g-1。用添加微生物的微球菌剂对BDE-3污染水体进行修复时发现,微球菌剂在溶液中能加速BDE-3的降解,与游离的微生物相比,差异达极显著水平(P<0.01)。利用Monod降解动力学方程对该降解过程进行拟合,得到降解动力学方程为υ=υmax·S/(KS+S)=14.29·S/(31.71+S)。
多溴联苯醚(PBDEs)作为阻燃剂被广泛使用。因为它对人类的器官、神经系统和免疫系统的危害以及向周边环境的不断迁移,已经逐渐成为人们迫切需要处理的污染物之一。以同系物4-溴联苯醚(BDE-3)作为降解对象,将海藻酸钠和生物碳混合制成微球制剂,对该制剂吸附BDE-3的潜力、机制及添加降解菌Sphingomonassp. DZ3后微球菌剂的吸附增益效应进行研究。结果表明:2%的海藻酸钠为微球制备的最佳质量浓度,该微球制剂在液相中的吸附过程符合Lagergren准一级动力学方程和Elovich方程,微球的最大吸附量为28.6 mg·g-1。用添加微生物的微球菌剂对BDE-3污染水体进行修复时发现,微球菌剂在溶液中能加速BDE-3的降解,与游离的微生物相比,差异达极显著水平(P<0.01)。利用Monod降解动力学方程对该降解过程进行拟合,得到降解动力学方程为υ=υmax·S/(KS+S)=14.29·S/(31.71+S)。
2016, 33(3): 506-515.
doi:10.11833/j.issn.2095-0756.2016.03.020
摘要:
植硅体碳(phytolith-occluded organic carbon, PhytOC)是一个重要的长期(数千年)陆地碳组分,从而成为陆地土壤长期固碳的重要机制之一。植硅体碳的稳定性对全球陆地土壤碳库贡献比植硅体碳储量要大得多。综述了土壤植硅体碳的形成机制与特征,研究植硅体碳稳定性的重要意义以及影响植硅体碳稳定性的因素:不同植被类型产生的植硅体碳的稳定性存在显著差异,不同生长环境下同一植被类型的植硅体碳稳定性也存在差异;古土壤中的植硅体碳稳定性大于幼年中的土壤;植物植硅体的形态组合能够响应土壤盐碱浓度及pH值的变化;湿度和降水等影响植硅体的数量、大小、形态组合以及碳、氧同位素;大气二氧化碳浓度对植硅体的类型、大小比率等产生影响;植硅体的硅铝比值越低,稳定性越高。表1参90
植硅体碳(phytolith-occluded organic carbon, PhytOC)是一个重要的长期(数千年)陆地碳组分,从而成为陆地土壤长期固碳的重要机制之一。植硅体碳的稳定性对全球陆地土壤碳库贡献比植硅体碳储量要大得多。综述了土壤植硅体碳的形成机制与特征,研究植硅体碳稳定性的重要意义以及影响植硅体碳稳定性的因素:不同植被类型产生的植硅体碳的稳定性存在显著差异,不同生长环境下同一植被类型的植硅体碳稳定性也存在差异;古土壤中的植硅体碳稳定性大于幼年中的土壤;植物植硅体的形态组合能够响应土壤盐碱浓度及pH值的变化;湿度和降水等影响植硅体的数量、大小、形态组合以及碳、氧同位素;大气二氧化碳浓度对植硅体的类型、大小比率等产生影响;植硅体的硅铝比值越低,稳定性越高。表1参90
2016, 33(3): 516-523.
doi:10.11833/j.issn.2095-0756.2016.03.021
摘要:
用顶空固相微萃取(HS-SPME)结合气相-质谱联用技术(GC-MS)对蕾期、半开期、盛开期山矾Symplocos sumuntia花的挥发性物质进行鉴定。结果表明:从3个花期的山矾花分别鉴定出35,39,42种挥发物,属于醇类、酮类、酯类、醛类、芳香族类和酸类化合物,各时期最主要的花香物质是醇类和酮类。蕾期相对含量高的物质是芳樟醇(20.19%),双花醇(19.45%),反式-氧化芳樟醇(12.68%);半开期的是β-紫罗兰酮(33.38%),3,4,5-三甲氧基甲苯(15.29%),桉油醇(11.90%);盛开期的是β-紫罗兰酮(19.14%),桉油醇(18.17%),双花醇(13.09%)。因此,山矾花的主要香气成分为β-紫罗兰酮、桉油醇、双花醇、反式-氧化芳樟醇、芳樟醇和3,4,5-三甲氧基甲苯,其中,β-紫罗兰酮对半开期花香贡献最大,而盛开期的香气是由多种物质共同贡献。结果为山矾花香利用及昆虫传粉研究提供了科学依据。图3表1参39
用顶空固相微萃取(HS-SPME)结合气相-质谱联用技术(GC-MS)对蕾期、半开期、盛开期山矾Symplocos sumuntia花的挥发性物质进行鉴定。结果表明:从3个花期的山矾花分别鉴定出35,39,42种挥发物,属于醇类、酮类、酯类、醛类、芳香族类和酸类化合物,各时期最主要的花香物质是醇类和酮类。蕾期相对含量高的物质是芳樟醇(20.19%),双花醇(19.45%),反式-氧化芳樟醇(12.68%);半开期的是β-紫罗兰酮(33.38%),3,4,5-三甲氧基甲苯(15.29%),桉油醇(11.90%);盛开期的是β-紫罗兰酮(19.14%),桉油醇(18.17%),双花醇(13.09%)。因此,山矾花的主要香气成分为β-紫罗兰酮、桉油醇、双花醇、反式-氧化芳樟醇、芳樟醇和3,4,5-三甲氧基甲苯,其中,β-紫罗兰酮对半开期花香贡献最大,而盛开期的香气是由多种物质共同贡献。结果为山矾花香利用及昆虫传粉研究提供了科学依据。图3表1参39
2016, 33(3): 524-530.
doi:10.11833/j.issn.2095-0756.2016.03.022
摘要:
为探讨槭树Acer spp.释放挥发性有机化合物(VOCs)的组分,采用动态顶空气体循环法对苦茶槭A. ginnala,鸡爪槭A. palmatum,三角槭A. buergerianum,樟叶槭A. cinnamomifolium,羊角槭A. yangjuechi,毛脉槭A. pubinerve和青榨槭A. davidii等7种植物释放VOCs进行收集,利用热脱附/气相色谱/质谱(TDS-GC-MS)联用技术对其组分进行分析。结果表明:不同树种释放VOCs种类与相对含量差异明显。苦茶槭和青榨槭分别释放17种和20种成分,以酯类、醛类和醇类物质为主,相对含量较多的有乙酸叶醇酯、癸醛、(Z)-3-己烯-1-醇和壬醛;鸡爪槭、三角槭和毛脉槭分别释放15种、19种和23种成分,以萜类、酯类和醛类物质为主,相对含量较多的为罗勒烯、乙酸叶醇酯、癸醛、长叶烯和壬醛;樟叶槭释放24种成分,以萜类化合物为主,相对含量较多的有罗勒烯、α-蒎烯、3-蒈烯、β-蒎烯和松油烯;羊角槭释放25种成分,以萜类、醛类和醇类物质为主,相对含量较多的有癸醛、长叶烯、2-乙基-1-己醇、石竹烯和壬醛。以上7种槭树均可作为保健型园林植物材料。图3表1参29
为探讨槭树Acer spp.释放挥发性有机化合物(VOCs)的组分,采用动态顶空气体循环法对苦茶槭A. ginnala,鸡爪槭A. palmatum,三角槭A. buergerianum,樟叶槭A. cinnamomifolium,羊角槭A. yangjuechi,毛脉槭A. pubinerve和青榨槭A. davidii等7种植物释放VOCs进行收集,利用热脱附/气相色谱/质谱(TDS-GC-MS)联用技术对其组分进行分析。结果表明:不同树种释放VOCs种类与相对含量差异明显。苦茶槭和青榨槭分别释放17种和20种成分,以酯类、醛类和醇类物质为主,相对含量较多的有乙酸叶醇酯、癸醛、(Z)-3-己烯-1-醇和壬醛;鸡爪槭、三角槭和毛脉槭分别释放15种、19种和23种成分,以萜类、酯类和醛类物质为主,相对含量较多的为罗勒烯、乙酸叶醇酯、癸醛、长叶烯和壬醛;樟叶槭释放24种成分,以萜类化合物为主,相对含量较多的有罗勒烯、α-蒎烯、3-蒈烯、β-蒎烯和松油烯;羊角槭释放25种成分,以萜类、醛类和醇类物质为主,相对含量较多的有癸醛、长叶烯、2-乙基-1-己醇、石竹烯和壬醛。以上7种槭树均可作为保健型园林植物材料。图3表1参29
2016, 33(3): 531-536.
doi:10.11833/j.issn.2095-0756.2016.03.023
摘要:
针对霉菌毒素精准检测技术的开发对于保障食品安全至关重要。利用胶体金与赭曲霉毒素A单抗偶联物和赭曲霉毒素A-BSA偶联物(OTA-BSA),开发了一种快速检测赭曲霉毒素A的方法。研究结果表明:①当OTA-BSA配制终质量浓度为4.8 g·L-1,质控线用羊抗鼠IgG配制终质量浓度为1.5 g·L-1,硝酸纤维素(NC)膜的包被量为1.0 μL·cm-1时呈现最清晰、最均匀的条带。②赭曲霉毒素A胶体金快速检测试纸条的灵敏度达到1.0 μg·L-1,检测时间仅为5 min,非常适合现场快速检测。该检测试纸条具有携带方便、灵敏度高、特异性强等优点。由于本方法检测时间短,灵敏度高,与传统的仪器和酶联免疫检测方法相比,在野外和临床检测中更具有推广应用价值。图5表1参12
针对霉菌毒素精准检测技术的开发对于保障食品安全至关重要。利用胶体金与赭曲霉毒素A单抗偶联物和赭曲霉毒素A-BSA偶联物(OTA-BSA),开发了一种快速检测赭曲霉毒素A的方法。研究结果表明:①当OTA-BSA配制终质量浓度为4.8 g·L-1,质控线用羊抗鼠IgG配制终质量浓度为1.5 g·L-1,硝酸纤维素(NC)膜的包被量为1.0 μL·cm-1时呈现最清晰、最均匀的条带。②赭曲霉毒素A胶体金快速检测试纸条的灵敏度达到1.0 μg·L-1,检测时间仅为5 min,非常适合现场快速检测。该检测试纸条具有携带方便、灵敏度高、特异性强等优点。由于本方法检测时间短,灵敏度高,与传统的仪器和酶联免疫检测方法相比,在野外和临床检测中更具有推广应用价值。图5表1参12
2016, 33(3): 537-542.
doi:10.11833/j.issn.2095-0756.2016.03.024
摘要:
为研究不同处理对凤丹Paeonia ostii种子萌发的影响,采用穴盘育苗的方法,研究不同质量浓度赤霉素(GA3,0,100,200,300 mg·L-1)结合不同温度(10,15,20℃)的处理对凤丹种子生根的影响,不同主根长(根长1~5 cm,根长>5 cm)对生根种子萌发的影响,不同低温处理时间(15,30,45,52 d)对已生根种子萌发的影响以及下胚轴最膨大处直径和侧根数量对根长>5 cm种子萌发的影响。结果表明:20℃结合300 mg·L-1赤霉素(GA3)处理,最有利于凤丹种子生根;对已生根种子4℃低温处理52 d后萌发率最高,达到84%,但耗时过长,且与低温处理30 d的萌发率差异不大,故30 d的低温处理是打破已生根凤丹种子上胚轴休眠的最佳方法;当穴盘透气不良时,根长小于5 cm的种子易腐烂,根长大于5 cm的种子极少有腐烂现象,且根长大于5 cm的种子移入温室60 d时,萌发率达到80%,远高于根长<5 cm的种子萌发率;在同一处理条件下,生根种子下胚轴最膨大处直径大于3.0 mm或侧根数量大于10根时,上胚轴可优先萌发。图4表3参14
为研究不同处理对凤丹Paeonia ostii种子萌发的影响,采用穴盘育苗的方法,研究不同质量浓度赤霉素(GA3,0,100,200,300 mg·L-1)结合不同温度(10,15,20℃)的处理对凤丹种子生根的影响,不同主根长(根长1~5 cm,根长>5 cm)对生根种子萌发的影响,不同低温处理时间(15,30,45,52 d)对已生根种子萌发的影响以及下胚轴最膨大处直径和侧根数量对根长>5 cm种子萌发的影响。结果表明:20℃结合300 mg·L-1赤霉素(GA3)处理,最有利于凤丹种子生根;对已生根种子4℃低温处理52 d后萌发率最高,达到84%,但耗时过长,且与低温处理30 d的萌发率差异不大,故30 d的低温处理是打破已生根凤丹种子上胚轴休眠的最佳方法;当穴盘透气不良时,根长小于5 cm的种子易腐烂,根长大于5 cm的种子极少有腐烂现象,且根长大于5 cm的种子移入温室60 d时,萌发率达到80%,远高于根长<5 cm的种子萌发率;在同一处理条件下,生根种子下胚轴最膨大处直径大于3.0 mm或侧根数量大于10根时,上胚轴可优先萌发。图4表3参14
2016, 33(3): 543-550.
doi:10.11833/j.issn.2095-0756.2016.03.025
摘要:
研究了插穗来源、留叶方式、植物生长调节物质种类与质量浓度、基质和叶面施肥等5个因素对米老排Mytilaria laosensis插穗生根的影响。结果表明:1年生幼苗茎干与大树萌条均适宜作为米老排插穗的材料,幼苗插穗生根率为81.7%,萌条插穗生根率为81.3%。枝条不适宜作为扦插材料,5年生幼树1年生枝条生根率为5.0%。留叶方式以留1片叶生根效果最好,其生根率为78.0%。留1/2叶处理为66.0%,而不留叶对照生根率为0。2 000 mg·L-1的ABT1号10 s速蘸处理为最佳处理方式。蛭石、红土中插穗生根率最高,达84.0%;泥炭中最长不定根长度最大,为(9.9 ± 1.0) cm;砂中不定根数量最多,为(22.3 ± 2.7)条。叶面施肥处理生根率为78.0%,对照为52.0%。综上所述,选用1年生幼苗茎干和大树萌条为插穗,插穗保留1片叶,用2 000 mg·L-1的ABT1号速蘸10 s,以蛭石或红土为基质,每日喷施质量分数为1%的普罗丹复合肥,可获得80.0%以上的生根率。表8参16
研究了插穗来源、留叶方式、植物生长调节物质种类与质量浓度、基质和叶面施肥等5个因素对米老排Mytilaria laosensis插穗生根的影响。结果表明:1年生幼苗茎干与大树萌条均适宜作为米老排插穗的材料,幼苗插穗生根率为81.7%,萌条插穗生根率为81.3%。枝条不适宜作为扦插材料,5年生幼树1年生枝条生根率为5.0%。留叶方式以留1片叶生根效果最好,其生根率为78.0%。留1/2叶处理为66.0%,而不留叶对照生根率为0。2 000 mg·L-1的ABT1号10 s速蘸处理为最佳处理方式。蛭石、红土中插穗生根率最高,达84.0%;泥炭中最长不定根长度最大,为(9.9 ± 1.0) cm;砂中不定根数量最多,为(22.3 ± 2.7)条。叶面施肥处理生根率为78.0%,对照为52.0%。综上所述,选用1年生幼苗茎干和大树萌条为插穗,插穗保留1片叶,用2 000 mg·L-1的ABT1号速蘸10 s,以蛭石或红土为基质,每日喷施质量分数为1%的普罗丹复合肥,可获得80.0%以上的生根率。表8参16




























