2016年 第33卷 第5期
2016, 33(5): 727-733.
doi:10.11833/j.issn.2095-0756.2016.05.001
摘要:
为了筛选桂花Osmanthus fragrans不同组织基因表达分析中适合的内参基因,以桂花‘堰虹桂’O. fragrans‘Yanhong Gui’花蕾、盛开花序、嫩叶、成熟叶和1年生茎等5个不同组织为材料,利用实时荧光定量聚合酶链式反应(qRT-PCR)检测7个候选内参基因的表达水平,并利用geNorm,NormFinder和BestKeeper软件对各候选内参基因的表达稳定性进行评价,最后利用桂花不同组织中OfCRTISO1基因相对表达水平验证筛选的内参基因的可靠性。结果表明:综合3个软件的评价排序,确定不同组织中最佳内参基因为OfRAN1和OfUBC2,而Of18S是最差内参基因。OfCRTISO1基因相对表达水平分析证实,不同组织中qRT-PCR分析使用OfRAN1和OfUBC2等2个表达最稳定的基因组合,即可获得更为精确的基因表达结果。旨在为桂花组织间重要基因的定量表达分析提供科学依据。
图 4
表 4
参34
为了筛选桂花Osmanthus fragrans不同组织基因表达分析中适合的内参基因,以桂花‘堰虹桂’O. fragrans‘Yanhong Gui’花蕾、盛开花序、嫩叶、成熟叶和1年生茎等5个不同组织为材料,利用实时荧光定量聚合酶链式反应(qRT-PCR)检测7个候选内参基因的表达水平,并利用geNorm,NormFinder和BestKeeper软件对各候选内参基因的表达稳定性进行评价,最后利用桂花不同组织中OfCRTISO1基因相对表达水平验证筛选的内参基因的可靠性。结果表明:综合3个软件的评价排序,确定不同组织中最佳内参基因为OfRAN1和OfUBC2,而Of18S是最差内参基因。OfCRTISO1基因相对表达水平分析证实,不同组织中qRT-PCR分析使用OfRAN1和OfUBC2等2个表达最稳定的基因组合,即可获得更为精确的基因表达结果。旨在为桂花组织间重要基因的定量表达分析提供科学依据。
2016, 33(5): 734-741.
doi:10.11833/j.issn.2095-0756.2016.05.002
摘要:
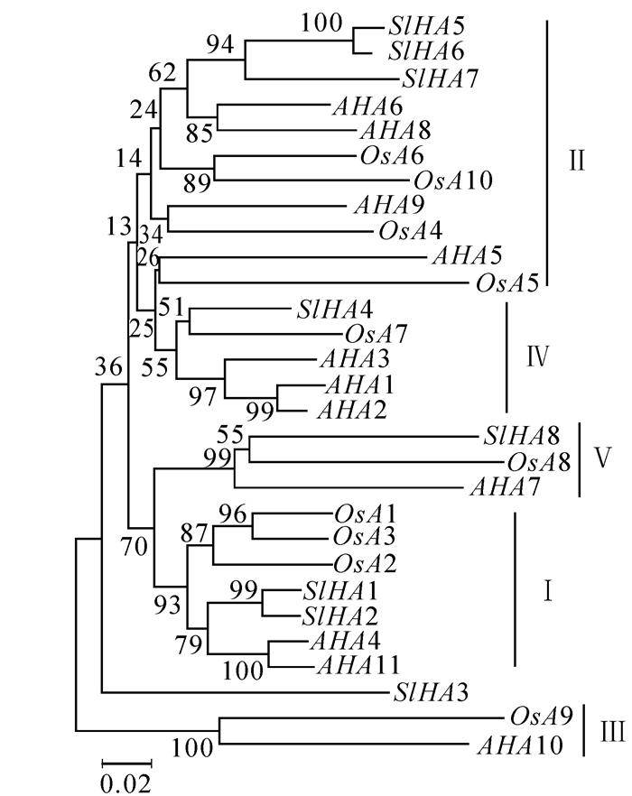
植物质膜H+-ATPase(Ec3.6.1.3)是一类普遍存在于细胞质膜上通过水解三磷酸腺苷(ATP)产生能量,将细胞质中的氢离子(H+)逆浓度泵出细胞的运输蛋白。植物中的质膜H+-ATPase由一个多基因家族所编码,其功能涉及到植物生长发育的多个生理过程。通过对全基因组检索在茄科Solanaceae植物番茄Solanum lycopersicum中共鉴定到8个编码质膜H+-ATPase的同源基因(LHA1~8)。生物信息学分析显示:这8个LHA基因具有较高的序列相似性和较为保守的外显子/内含子结构特征。实时荧光定量聚合酶链式反应(qRT-PCR)分析显示,LHA1~4在所有被检测的组织器官中都有表达,LHA5~7几乎只在花器官中高量表达,而LHA8在正常培养和养分(氮、磷、钾和镁)缺乏以及高盐胁迫处理条件下几乎都不表达,但能够在被菌根真菌侵染的根系中强烈表达。将一段2 669 bp的LHA8的启动子融合GUS报告基因转入到烟草Nicotiana tabacum中发现,GUS基因几乎只在被菌根真菌菌丝侵入形成丛枝的根系细胞中特异性表达。
图 5
表 2
参22
植物质膜H+-ATPase(Ec3.6.1.3)是一类普遍存在于细胞质膜上通过水解三磷酸腺苷(ATP)产生能量,将细胞质中的氢离子(H+)逆浓度泵出细胞的运输蛋白。植物中的质膜H+-ATPase由一个多基因家族所编码,其功能涉及到植物生长发育的多个生理过程。通过对全基因组检索在茄科Solanaceae植物番茄Solanum lycopersicum中共鉴定到8个编码质膜H+-ATPase的同源基因(LHA1~8)。生物信息学分析显示:这8个LHA基因具有较高的序列相似性和较为保守的外显子/内含子结构特征。实时荧光定量聚合酶链式反应(qRT-PCR)分析显示,LHA1~4在所有被检测的组织器官中都有表达,LHA5~7几乎只在花器官中高量表达,而LHA8在正常培养和养分(氮、磷、钾和镁)缺乏以及高盐胁迫处理条件下几乎都不表达,但能够在被菌根真菌侵染的根系中强烈表达。将一段2 669 bp的LHA8的启动子融合GUS报告基因转入到烟草Nicotiana tabacum中发现,GUS基因几乎只在被菌根真菌菌丝侵入形成丛枝的根系细胞中特异性表达。
2016, 33(5): 742-748.
doi:10.11833/j.issn.2095-0756.2016.05.003
摘要:
为了解刺槐Robinia pseudoacacia对铅胁迫的耐受程度与耐受机制,以刺槐幼苗为研究对象,用硝酸铅溶液浇灌处理,研究幼苗的生长特性、组织铅离子质量分数(μg·g-1)及离子转运特征。结果表明:250 mg·L-1铅处理对刺槐幼苗的茎高、地径、干质量、鲜质量等有一定的促进作用;在中高铅离子质量浓度(≥500 mg·L-1)下,刺槐幼苗的生长受到抑制。随着铅处理质量浓度的增加,幼苗根系铅离子质量分数显著上升(P< 0.05);茎部铅质量分数先升后降;叶中铅质量分数大体呈现降低趋势;叶/茎离子转运率急剧下降(P< 0.05);(叶+茎)/根、茎/根离子转运率先升后降。通过多元回归分析,发现根系铅质量分数、(叶+茎)/根离子转运对幼苗干物质积累影响最大;茎部铅离子质量分数、根茎间铅离子转运对幼苗地径、苗高生长影响最大。
图 3
表 2
参23
为了解刺槐Robinia pseudoacacia对铅胁迫的耐受程度与耐受机制,以刺槐幼苗为研究对象,用硝酸铅溶液浇灌处理,研究幼苗的生长特性、组织铅离子质量分数(μg·g-1)及离子转运特征。结果表明:250 mg·L-1铅处理对刺槐幼苗的茎高、地径、干质量、鲜质量等有一定的促进作用;在中高铅离子质量浓度(≥500 mg·L-1)下,刺槐幼苗的生长受到抑制。随着铅处理质量浓度的增加,幼苗根系铅离子质量分数显著上升(P< 0.05);茎部铅质量分数先升后降;叶中铅质量分数大体呈现降低趋势;叶/茎离子转运率急剧下降(P< 0.05);(叶+茎)/根、茎/根离子转运率先升后降。通过多元回归分析,发现根系铅质量分数、(叶+茎)/根离子转运对幼苗干物质积累影响最大;茎部铅离子质量分数、根茎间铅离子转运对幼苗地径、苗高生长影响最大。
2016, 33(5): 749-755.
doi:10.11833/j.issn.2095-0756.2016.05.004
摘要:
铁皮石斛Dendrobium officinale花是铁皮石斛药材的非药用部位,为测定其多糖、浸出物、氨基酸的质量分数,探讨3种成分之间的内在关系,全面了解铁皮石斛花中的物质分布规律,利用药典方法测定铁皮石斛花的多糖、浸出物质量分数,并采用17种氨基酸标准品,通过酸水解法提取、异硫氰酸苯酯(PITC)柱前衍生处理样品,结合反相高效液相色谱法(RP-HPLC)测定10个不同杂交家系铁皮石斛花中的氨基酸组成与质量分数。结果表明:铁皮石斛花中多糖质量分数平均为71.00 mg·g-1,浸出物质量分数为300.00 mg·g-1;从铁皮石斛花中检测到16种氨基酸,总氨基酸平均质量分数为7.88%;3种成分质量分数差异显著(P< 0.05)。利用SPSS 17.0分析3种成分之间的相关性,多糖和浸出物在合成积累上呈现负相关,与氨基酸之间相关性不明显(P>0.05)。铁皮石斛花中含有较丰富的多糖、浸出物及氨基酸等营养及功效成分,具有一定的保健开发价值。
图 1
表 3
参11
铁皮石斛Dendrobium officinale花是铁皮石斛药材的非药用部位,为测定其多糖、浸出物、氨基酸的质量分数,探讨3种成分之间的内在关系,全面了解铁皮石斛花中的物质分布规律,利用药典方法测定铁皮石斛花的多糖、浸出物质量分数,并采用17种氨基酸标准品,通过酸水解法提取、异硫氰酸苯酯(PITC)柱前衍生处理样品,结合反相高效液相色谱法(RP-HPLC)测定10个不同杂交家系铁皮石斛花中的氨基酸组成与质量分数。结果表明:铁皮石斛花中多糖质量分数平均为71.00 mg·g-1,浸出物质量分数为300.00 mg·g-1;从铁皮石斛花中检测到16种氨基酸,总氨基酸平均质量分数为7.88%;3种成分质量分数差异显著(P< 0.05)。利用SPSS 17.0分析3种成分之间的相关性,多糖和浸出物在合成积累上呈现负相关,与氨基酸之间相关性不明显(P>0.05)。铁皮石斛花中含有较丰富的多糖、浸出物及氨基酸等营养及功效成分,具有一定的保健开发价值。
2016, 33(5): 756-761.
doi:10.11833/j.issn.2095-0756.2016.05.005
摘要:
草本竹的开花现象鲜有报道。为了全面了解竹子的开花特性,以引种至浙江省临安市的原产于巴西的Mniochloa abersend为研究对象,首先对其形态特征和引种适应性进行了分析,之后采用定时定株的方法,对其开花预兆、开花次序、开花周期及持续时间、花序结构以及结实情况等开花生物学特性进行系统的观察与研究。结果表明:M. abersend为多年生丛生草本竹,植株矮小,不适宜在0 ℃以下环境下生长。开花前出现变型小叶,花期较长;花序属于穗形总状花序,为真花序;基本单位是孪生小穗,结实情况良好。M. abersend具有每年开花结实的特性。这将为竹子的杂交育种等研究提供参考。
图 2
参22
草本竹的开花现象鲜有报道。为了全面了解竹子的开花特性,以引种至浙江省临安市的原产于巴西的Mniochloa abersend为研究对象,首先对其形态特征和引种适应性进行了分析,之后采用定时定株的方法,对其开花预兆、开花次序、开花周期及持续时间、花序结构以及结实情况等开花生物学特性进行系统的观察与研究。结果表明:M. abersend为多年生丛生草本竹,植株矮小,不适宜在0 ℃以下环境下生长。开花前出现变型小叶,花期较长;花序属于穗形总状花序,为真花序;基本单位是孪生小穗,结实情况良好。M. abersend具有每年开花结实的特性。这将为竹子的杂交育种等研究提供参考。
2016, 33(5): 762-767.
doi:10.11833/j.issn.2095-0756.2016.05.006
摘要:
台州湾通过近200 a的海滨滩涂围垦,形成了近2万hm2的滨海内陆湿地。为了评估不同围垦期的植物多样性,对围垦以后自然侵入滨海内陆湿地的维管植物进行实地调查,自海岸向内陆的分析结果表明: 台州湾湿地维管植物区系受到围垦年限、土壤含盐量等外因条件的影响,植物种类较多,共有维管植物380种,隶属于254属88科;以草本植物为主,占总植物种数的66.6%;特有程度低;单种属和少种属数量较多,具有一定的生态脆弱性;区系地理成分复杂,热带成分和温带成分各半,具有明显的亚热带到北温带的过渡性。此外,该区系盐生植物丰富,有典型的盐生植物有23种,也是外来入侵植物的重灾区,计有83种,且随着湿地发育时间的增加,种类逐年增加。
台州湾通过近200 a的海滨滩涂围垦,形成了近2万hm2的滨海内陆湿地。为了评估不同围垦期的植物多样性,对围垦以后自然侵入滨海内陆湿地的维管植物进行实地调查,自海岸向内陆的分析结果表明: 台州湾湿地维管植物区系受到围垦年限、土壤含盐量等外因条件的影响,植物种类较多,共有维管植物380种,隶属于254属88科;以草本植物为主,占总植物种数的66.6%;特有程度低;单种属和少种属数量较多,具有一定的生态脆弱性;区系地理成分复杂,热带成分和温带成分各半,具有明显的亚热带到北温带的过渡性。此外,该区系盐生植物丰富,有典型的盐生植物有23种,也是外来入侵植物的重灾区,计有83种,且随着湿地发育时间的增加,种类逐年增加。
2016, 33(5): 768-777.
doi:10.11833/j.issn.2095-0756.2016.05.007
摘要:
群落结构是植物群落研究的核心内容,对于指导营林建设、植被恢复与保护、群落结构优化、专题风景林构建具有重要的理论和现实意义。以浙江普陀山主要林型枫香Liquidambar formosana林、红山茶Camellia longicaudata林、檵木Loropetalum chinensis林、罗汉松Podocarpus macrophyllus林、青冈Cyclobalanopsis glauca林、青冈幼林、台湾蚊母树Distylium gracile林、樟树Cinnamomum camphora林等为研究对象,分析群落结构特征。结果如下:①林分结构上,各林型外貌相对完整,优势种所占比例较大,林分结构相对稳定;②胸径级分布看,枫香林、红山茶林、青冈林、台湾蚊母树林、樟树林呈“L”型;檵木林、青冈幼林为单柱型;罗汉松林为“U”型;③物种多样性上,罗汉松林的物种丰富度最大,青冈幼林的物种丰富度、Pielou指数、Shannon-Wiener指数最小,平均密度最大;台湾蚊母树林的平均密度最小,樟树林的Pielou指数和Shannon-Wiener指数最大。④植物纵横向营养投资上,枫香林在纵向生长上营养投资最大,红山茶林最小;罗汉松林在横向生长上营养投资最大,青冈林最小。青冈林和青冈幼林在纵向生长上营养投资显著大于横向生长(P<0.05),台湾蚊母树林在横向生长上营养投资显著大于纵向生长(P<0.05)。树高与胸径(R2=0.71,P<0.01)和树冠面积(R2=0.51,P<0.01)的关系幂函数拟合较好。总体上,普陀山主要林型林分结构较稳定,胸径级分布较合理,物种多样性较丰富,抗风胁迫能力较强,但还需进一步优化群落结构,增加物种多样性,提高植物对海岛环境的适应性。
群落结构是植物群落研究的核心内容,对于指导营林建设、植被恢复与保护、群落结构优化、专题风景林构建具有重要的理论和现实意义。以浙江普陀山主要林型枫香Liquidambar formosana林、红山茶Camellia longicaudata林、檵木Loropetalum chinensis林、罗汉松Podocarpus macrophyllus林、青冈Cyclobalanopsis glauca林、青冈幼林、台湾蚊母树Distylium gracile林、樟树Cinnamomum camphora林等为研究对象,分析群落结构特征。结果如下:①林分结构上,各林型外貌相对完整,优势种所占比例较大,林分结构相对稳定;②胸径级分布看,枫香林、红山茶林、青冈林、台湾蚊母树林、樟树林呈“L”型;檵木林、青冈幼林为单柱型;罗汉松林为“U”型;③物种多样性上,罗汉松林的物种丰富度最大,青冈幼林的物种丰富度、Pielou指数、Shannon-Wiener指数最小,平均密度最大;台湾蚊母树林的平均密度最小,樟树林的Pielou指数和Shannon-Wiener指数最大。④植物纵横向营养投资上,枫香林在纵向生长上营养投资最大,红山茶林最小;罗汉松林在横向生长上营养投资最大,青冈林最小。青冈林和青冈幼林在纵向生长上营养投资显著大于横向生长(P<0.05),台湾蚊母树林在横向生长上营养投资显著大于纵向生长(P<0.05)。树高与胸径(R2=0.71,P<0.01)和树冠面积(R2=0.51,P<0.01)的关系幂函数拟合较好。总体上,普陀山主要林型林分结构较稳定,胸径级分布较合理,物种多样性较丰富,抗风胁迫能力较强,但还需进一步优化群落结构,增加物种多样性,提高植物对海岛环境的适应性。
2016, 33(5): 778-783.
doi:10.11833/j.issn.2095-0756.2016.05.008
摘要:
在文献和标本查阅、标本采集和鉴定基础上,对浙江省温州市现知的44科93属277种蕨类植物种类组成和区系特征进行了分析:温州蕨类植物种类较为丰富,含种数较多的科是鳞毛蕨科Dryopteridaceae(5属50种),金星蕨科Thelypteridaceae(10属36种),蹄盖蕨科Athyriaceae(9属31种),水龙骨科Polypodiaceae(10属30种)和铁角蕨科Aspleniaceae(1属15种);含种数较多的属是鳞毛蕨属DryoPteris(26种),铁角蕨属Asplenium(15种),凤尾蕨属Pteris(14种),卷柏属Selaginella(13种)和复叶耳蕨属Arachniodes(11种)。区系成分起源古老,不乏古老的科、属和残遗种;且区系成分较为复杂,来源于多种地理成分,其中热带、亚热带性质较为明显。
在文献和标本查阅、标本采集和鉴定基础上,对浙江省温州市现知的44科93属277种蕨类植物种类组成和区系特征进行了分析:温州蕨类植物种类较为丰富,含种数较多的科是鳞毛蕨科Dryopteridaceae(5属50种),金星蕨科Thelypteridaceae(10属36种),蹄盖蕨科Athyriaceae(9属31种),水龙骨科Polypodiaceae(10属30种)和铁角蕨科Aspleniaceae(1属15种);含种数较多的属是鳞毛蕨属DryoPteris(26种),铁角蕨属Asplenium(15种),凤尾蕨属Pteris(14种),卷柏属Selaginella(13种)和复叶耳蕨属Arachniodes(11种)。区系成分起源古老,不乏古老的科、属和残遗种;且区系成分较为复杂,来源于多种地理成分,其中热带、亚热带性质较为明显。
2016, 33(5): 784-789.
doi:10.11833/j.issn.2095-0756.2016.05.009
摘要:
绿道是城市绿地系统的重要组成部分。通过调查研究珠三角地区的都市绿道类型、郊野绿道类型、生态绿道类型等3种类型绿道,设立了302个样方,对乔木、灌木和地被进行了详细调查,并对其空间结构、郁闭度和盖度以及配植模式进行分析比较,得出以下结论:①3种类型绿道采用乔+灌+草的复层结构形式显著高于其他结构,其所占比例都市型(79.8%) > 郊野型(60.7%) > 生态型(45.7%)。②都市型绿道的乔木郁闭度显著高于生态型绿道,相对郁闭程度都市型(0.066) > 郊野型(0.040) > 生态型(0.026)。3种类型绿道的乔木、灌木和地被的总体覆盖程度没有显著差异,相对盖度生态型(0.068) > 都市型(0.067) > 郊野型(0.060)。③绿道乔木的配置模式,列植模式出现的比例显著高于其他模式,占65.6%;绿道灌木的配置模式,列植、丛植的模式在绿道中出现的比例显著高于其他模式,列植占52.0%,丛植占31.5%;绿道地被植物的配置模式,单一式的地被植物配置模式显著高于其他模式,所占比例为64.6%。
绿道是城市绿地系统的重要组成部分。通过调查研究珠三角地区的都市绿道类型、郊野绿道类型、生态绿道类型等3种类型绿道,设立了302个样方,对乔木、灌木和地被进行了详细调查,并对其空间结构、郁闭度和盖度以及配植模式进行分析比较,得出以下结论:①3种类型绿道采用乔+灌+草的复层结构形式显著高于其他结构,其所占比例都市型(79.8%) > 郊野型(60.7%) > 生态型(45.7%)。②都市型绿道的乔木郁闭度显著高于生态型绿道,相对郁闭程度都市型(0.066) > 郊野型(0.040) > 生态型(0.026)。3种类型绿道的乔木、灌木和地被的总体覆盖程度没有显著差异,相对盖度生态型(0.068) > 都市型(0.067) > 郊野型(0.060)。③绿道乔木的配置模式,列植模式出现的比例显著高于其他模式,占65.6%;绿道灌木的配置模式,列植、丛植的模式在绿道中出现的比例显著高于其他模式,列植占52.0%,丛植占31.5%;绿道地被植物的配置模式,单一式的地被植物配置模式显著高于其他模式,所占比例为64.6%。
2016, 33(5): 790-797.
doi:10.11833/j.issn.2095-0756.2016.05.010
摘要:
已有很多国内外学者研究立木材积与地上生物量相容性的问题,但是建模过程中考虑区域因子对模型影响的研究相对较少。针对此问题,以重庆市、四川省和湖北省151株马尾松Pinus massoniana的样本数据为例,采用哑变量和非线性联立方程组的方法,建立了不同区域马尾松通用的相容性地上生物量模型、立木材积模型和它们的转换因子模型。结果表明:马尾松不同区域的模型之间存在差异性;哑变量和非线性联立方程组的方法可以有效地解决不同区域模型的差异性和立木材积与地上生物量模型的相容性;马尾松地上生物量和立木材积的二元模型均优于其对应的一元模型;在独立拟合的地上生物量回归模型中引入立木材积因子,可以有效地改善模型的预估效果;构建的马尾松相容性立木材积和地上生物量哑变量模型评价指标满足中国生物量模型的精度要求(预估精度均高于95%,总相对误差均小于2%,平均预估误差则均小于5%)。
已有很多国内外学者研究立木材积与地上生物量相容性的问题,但是建模过程中考虑区域因子对模型影响的研究相对较少。针对此问题,以重庆市、四川省和湖北省151株马尾松Pinus massoniana的样本数据为例,采用哑变量和非线性联立方程组的方法,建立了不同区域马尾松通用的相容性地上生物量模型、立木材积模型和它们的转换因子模型。结果表明:马尾松不同区域的模型之间存在差异性;哑变量和非线性联立方程组的方法可以有效地解决不同区域模型的差异性和立木材积与地上生物量模型的相容性;马尾松地上生物量和立木材积的二元模型均优于其对应的一元模型;在独立拟合的地上生物量回归模型中引入立木材积因子,可以有效地改善模型的预估效果;构建的马尾松相容性立木材积和地上生物量哑变量模型评价指标满足中国生物量模型的精度要求(预估精度均高于95%,总相对误差均小于2%,平均预估误差则均小于5%)。
2016, 33(5): 798-806.
doi:10.11833/j.issn.2095-0756.2016.05.011
摘要:
为了迅速掌握初级发展阶段中县域城市的扩展特征并合理利用土地资源,选取河南省洛阳市嵩县作为研究对象,采用遥感(RS)变化监测与地理信息系统(GIS)空间分析方法,分析了河南省嵩县城镇扩展变化特征,研究了各驱动因子对城镇扩展中主要用地类型的影响。结果表明:近26 a来,嵩县城市扩展速度北快南慢,地形对嵩县的扩展影响较大,建设用地增长率达266.0%,耕地面积减少幅度为28.9%,林地增幅为14.3%,水域、滩涂总体变化量较小,未利用地则呈现快速减少趋势。土地利用类型转化的主要方向为耕地与林地的转化,草地与林地的转化,滩涂与水域的转化,未利用地与耕地的转化。其中,未利用地与草地向各地类的转化率最大,分别为88.5%和87.6%。驱动力分析表明:经济发展、居民消费水平及人口变动对县城主要用地的变化具有较强的解释作用。
为了迅速掌握初级发展阶段中县域城市的扩展特征并合理利用土地资源,选取河南省洛阳市嵩县作为研究对象,采用遥感(RS)变化监测与地理信息系统(GIS)空间分析方法,分析了河南省嵩县城镇扩展变化特征,研究了各驱动因子对城镇扩展中主要用地类型的影响。结果表明:近26 a来,嵩县城市扩展速度北快南慢,地形对嵩县的扩展影响较大,建设用地增长率达266.0%,耕地面积减少幅度为28.9%,林地增幅为14.3%,水域、滩涂总体变化量较小,未利用地则呈现快速减少趋势。土地利用类型转化的主要方向为耕地与林地的转化,草地与林地的转化,滩涂与水域的转化,未利用地与耕地的转化。其中,未利用地与草地向各地类的转化率最大,分别为88.5%和87.6%。驱动力分析表明:经济发展、居民消费水平及人口变动对县城主要用地的变化具有较强的解释作用。
2016, 33(5): 807-815.
doi:10.11833/j.issn.2095-0756.2016.05.012
摘要:
竹林是热带和亚热带地区一种分布广泛的森林资源类型。由于其优良的固碳功能,在林业应对气候变化的背景下,以积累碳汇和实现碳汇交易为目的的毛竹Phyllostachys edulis林营造活动日益增多。跟踪调查整个毛竹造林过程,连年监测毛竹碳储量变化和土壤有机碳变化,结合基线碳储量和造林活动过程排放泄漏估测,探究净碳汇量变化积累特征。结果表明:①项目区毛竹碳汇造林初期(1~5 a)净碳汇量二氧化碳当量(CO2-e)为443.77 t,累计净碳汇量二氧化碳当量为9.30 t·hm-2;②项目区在组成净碳汇量的多个分量中,只有毛竹碳储量变化起正面影响,而土壤有机碳变化、施肥排放和运输泄漏均对净碳汇量积累造成负面影响,5 a二氧化碳当量分别为-292.90,-18.99和-8.27 t;③毛竹造林初期(1~5 a),毛竹碳储量(地上、地下)变化和净碳汇量变化速率并不均匀;④毛竹造林过程中的土壤扰动,对净碳汇量会带来显著影响,造林初期甚至会出现净排放。
竹林是热带和亚热带地区一种分布广泛的森林资源类型。由于其优良的固碳功能,在林业应对气候变化的背景下,以积累碳汇和实现碳汇交易为目的的毛竹Phyllostachys edulis林营造活动日益增多。跟踪调查整个毛竹造林过程,连年监测毛竹碳储量变化和土壤有机碳变化,结合基线碳储量和造林活动过程排放泄漏估测,探究净碳汇量变化积累特征。结果表明:①项目区毛竹碳汇造林初期(1~5 a)净碳汇量二氧化碳当量(CO2-e)为443.77 t,累计净碳汇量二氧化碳当量为9.30 t·hm-2;②项目区在组成净碳汇量的多个分量中,只有毛竹碳储量变化起正面影响,而土壤有机碳变化、施肥排放和运输泄漏均对净碳汇量积累造成负面影响,5 a二氧化碳当量分别为-292.90,-18.99和-8.27 t;③毛竹造林初期(1~5 a),毛竹碳储量(地上、地下)变化和净碳汇量变化速率并不均匀;④毛竹造林过程中的土壤扰动,对净碳汇量会带来显著影响,造林初期甚至会出现净排放。
2016, 33(5): 816-825.
doi:10.11833/j.issn.2095-0756.2016.05.013
摘要:
森林类型识别技术是遥感分类中的重点和难点,采用面向对象的遥感影像分类方法是实现森林类型分类的新方法。资源3号遥感影像可为森林类型提取提供新方向。以资源3号遥感影像作为基础研究数据,采用面向对象的分类方法,选择分形网络演化法进行多尺度分层分割,并结合典型地物的光谱特征、纹理特征、几何特征以及植被指数,构建了适用于森林类型提取的决策树模型,并与分割尺度不同的支持向量机分类方法进行比较分析。结果表明:多层分割的决策树分类方法分类精度高于单层分割的支持向量机分类方法,分类精度分别提高了6.1%和12.5%。说明建立多层分割的决策树分类方法适用于森林类型的分类研究。
森林类型识别技术是遥感分类中的重点和难点,采用面向对象的遥感影像分类方法是实现森林类型分类的新方法。资源3号遥感影像可为森林类型提取提供新方向。以资源3号遥感影像作为基础研究数据,采用面向对象的分类方法,选择分形网络演化法进行多尺度分层分割,并结合典型地物的光谱特征、纹理特征、几何特征以及植被指数,构建了适用于森林类型提取的决策树模型,并与分割尺度不同的支持向量机分类方法进行比较分析。结果表明:多层分割的决策树分类方法分类精度高于单层分割的支持向量机分类方法,分类精度分别提高了6.1%和12.5%。说明建立多层分割的决策树分类方法适用于森林类型的分类研究。
2016, 33(5): 826-833.
doi:10.11833/j.issn.2095-0756.2016.05.014
摘要:
毛竹Phyllostachys edulis林是一种具有较高经济效益和生态效益的特殊森林类型,科学经营管理毛竹林不仅能有效地保护生态环境,而且对发挥毛竹林的经济效益具有十分重要的现实意义。如何提高毛竹林经营管理的技术水平一直是经营者关注的焦点。采用集成OnyxTREE BAMBOO,3ds Max和ArcGIS等种软件,重点将前者的三维建模功能和后者的三维显示功能相结合,实现毛竹林分的三维可视化,旨在为毛竹林科学经营管理提供新的技术方法。选择浙江省天目山国家级自然保护区内的毛竹林为研究对象,建立100 m × 100 m固定标准地,用全站仪测定每株毛竹的基部三维坐标(x,y,z),调查毛竹的胸径、竹高、枝下高和冠幅等因子。根据调查数据,基于OnyxTREE BAMBOO和3ds Max软件,对不同生长状态的毛竹进行三维建模,再导入ArcGIS,在ArcScene中与数字高程模型(DEM)叠加,最终实现毛竹林分的三维可视化。研究取得较好的可视化效果,观察者既可以俯瞰整片竹林,掌握竹林整体状况,也可以深入竹林内部,直观了解毛竹的具体生长状态,如毛竹的死活、弯直、折断、倒伏等,以及地表的起伏状况。单击任一株毛竹,还可以很方便地查看其相关信息包括毛竹的竹高、胸径、冠幅、枝下高、坐标等。此外,借助ArcScene的漫游功能,可以实现竹林内部实时漫游观察,可以设定漫游路径,实现固定路径漫游,以及将漫游动画保存为视频格式进行输出。研究探索出了一套完整的毛竹林可视化技术方法,此方法可操作性强,应用于毛竹林可视化经营管理,不仅可以真实反映毛竹林分的当前生长状况,还可以直观展现竹林采伐或自然干扰后的林分状况,为进一步研究毛竹林动态变化的可视化奠定了基础。
毛竹Phyllostachys edulis林是一种具有较高经济效益和生态效益的特殊森林类型,科学经营管理毛竹林不仅能有效地保护生态环境,而且对发挥毛竹林的经济效益具有十分重要的现实意义。如何提高毛竹林经营管理的技术水平一直是经营者关注的焦点。采用集成OnyxTREE BAMBOO,3ds Max和ArcGIS等种软件,重点将前者的三维建模功能和后者的三维显示功能相结合,实现毛竹林分的三维可视化,旨在为毛竹林科学经营管理提供新的技术方法。选择浙江省天目山国家级自然保护区内的毛竹林为研究对象,建立100 m × 100 m固定标准地,用全站仪测定每株毛竹的基部三维坐标(x,y,z),调查毛竹的胸径、竹高、枝下高和冠幅等因子。根据调查数据,基于OnyxTREE BAMBOO和3ds Max软件,对不同生长状态的毛竹进行三维建模,再导入ArcGIS,在ArcScene中与数字高程模型(DEM)叠加,最终实现毛竹林分的三维可视化。研究取得较好的可视化效果,观察者既可以俯瞰整片竹林,掌握竹林整体状况,也可以深入竹林内部,直观了解毛竹的具体生长状态,如毛竹的死活、弯直、折断、倒伏等,以及地表的起伏状况。单击任一株毛竹,还可以很方便地查看其相关信息包括毛竹的竹高、胸径、冠幅、枝下高、坐标等。此外,借助ArcScene的漫游功能,可以实现竹林内部实时漫游观察,可以设定漫游路径,实现固定路径漫游,以及将漫游动画保存为视频格式进行输出。研究探索出了一套完整的毛竹林可视化技术方法,此方法可操作性强,应用于毛竹林可视化经营管理,不仅可以真实反映毛竹林分的当前生长状况,还可以直观展现竹林采伐或自然干扰后的林分状况,为进一步研究毛竹林动态变化的可视化奠定了基础。
2016, 33(5): 834-840.
doi:10.11833/j.issn.2095-0756.2016.05.015
摘要:
为研究欧洲鹅耳枥Carpinus betulus及其园艺品种在国内的引种适应性,以欧洲鹅耳枥及其2个园艺品种C. betulus‘Frans Fontaine’,C. betulus‘Lucas’为试验材料,观测它们在北京、南京、靖江等3地物候、生长和形态差异,并采用AMMI模型对它们进行适应性评价。研究表明:欧洲鹅耳枥及其2个品种在各地生长时基因型与环境交互作用显著(P<0.05)。C. betulus‘Frans Fontaine’稳定性最好且生长速度较快,其次是欧洲鹅耳枥,C. betulus‘Lucas’。3地相比较而言,南京为最适宜欧洲鹅耳枥及其2个品种生长的试验地,其次为北京和靖江。C. betulus‘Frans Fontaine’在南京和北京地区适应性较好,C. betulus‘Lucas’在南京和靖江地区适应性较好,欧洲鹅耳枥在南京地区适应性较好。
为研究欧洲鹅耳枥Carpinus betulus及其园艺品种在国内的引种适应性,以欧洲鹅耳枥及其2个园艺品种C. betulus‘Frans Fontaine’,C. betulus‘Lucas’为试验材料,观测它们在北京、南京、靖江等3地物候、生长和形态差异,并采用AMMI模型对它们进行适应性评价。研究表明:欧洲鹅耳枥及其2个品种在各地生长时基因型与环境交互作用显著(P<0.05)。C. betulus‘Frans Fontaine’稳定性最好且生长速度较快,其次是欧洲鹅耳枥,C. betulus‘Lucas’。3地相比较而言,南京为最适宜欧洲鹅耳枥及其2个品种生长的试验地,其次为北京和靖江。C. betulus‘Frans Fontaine’在南京和北京地区适应性较好,C. betulus‘Lucas’在南京和靖江地区适应性较好,欧洲鹅耳枥在南京地区适应性较好。
2016, 33(5): 841-848.
doi:10.11833/j.issn.2095-0756.2016.05.016
摘要:
自2013年以来,在湖北省全省范围内调查红椿Toona ciliata种质资源的基础上,对12个县市的红椿天然林进行优树选择。确定选优林分,将16~40年生红椿以5 a为龄级分组,利用优势木对比法,通过异龄林树龄校正,在各龄级组共选出候选优树52株。对候选优树材积进行多元线性回归,建立材积(y),胸径(x1),树高(x2)回归方程y=-3.066+0.065x2+0.094x2,R2=0.961。通过材积实测值与理论值残差分析,将候选优树按生长量分为3级。通过主成分分析法,剔除特征根和贡献率小的形质因子,从6个形质因子中筛选获得冠高树高比、平均冠幅、干形和分枝角等4个因子建立形质分级标准,将候选优树按形质分为3级。对优选优树生长量和形质综合评分,筛选出1级优树7株,2级优树22株,3级优树11株,共40株,占候选优树的76.92%。可基本保证湖北地区红椿种质资源圃的建立和种源试验需求。
图 1
表 9
参19
自2013年以来,在湖北省全省范围内调查红椿Toona ciliata种质资源的基础上,对12个县市的红椿天然林进行优树选择。确定选优林分,将16~40年生红椿以5 a为龄级分组,利用优势木对比法,通过异龄林树龄校正,在各龄级组共选出候选优树52株。对候选优树材积进行多元线性回归,建立材积(y),胸径(x1),树高(x2)回归方程y=-3.066+0.065x2+0.094x2,R2=0.961。通过材积实测值与理论值残差分析,将候选优树按生长量分为3级。通过主成分分析法,剔除特征根和贡献率小的形质因子,从6个形质因子中筛选获得冠高树高比、平均冠幅、干形和分枝角等4个因子建立形质分级标准,将候选优树按形质分为3级。对优选优树生长量和形质综合评分,筛选出1级优树7株,2级优树22株,3级优树11株,共40株,占候选优树的76.92%。可基本保证湖北地区红椿种质资源圃的建立和种源试验需求。
2016, 33(5): 849-854.
doi:10.11833/j.issn.2095-0756.2016.05.017
摘要:
为探索园林废弃物堆肥替代泥炭用于天竺葵Pelargonium zonale和金盏菊Calendula officinalise栽培基质的可能性,将改良后的园林废弃物堆肥分别以0%,25%,50%,75%和100%的比例替代泥炭进行试验。将天竺葵和金盏菊的种子分别播种在不同基质中进行育苗研究,当幼苗生长35 d后进行测定。将幼苗分别移栽到不同基质中,栽培6个月后进行测定。结果表明:随园林废弃物比例的增加,基质的容重增加,总孔隙度度、通气孔隙度和持水孔隙度呈下降趋势。园林废弃物比例的增加提高了基质pH值、电导率值、大量元素和微量元素质量分数。育苗试验显示:天竺葵幼苗在园林废弃物处理中的生长量显著(P< 0.05)低于对照组,即使在25%的低比例下也会对幼苗产生不良影响。金盏菊幼苗在添加25%和50%的园林废弃物处理中的生长量与对照组一致。盆栽试验显示:添加园林废弃物显著(P< 0.05)增加了天竺葵和金盏菊的地上部分干质量、株高、茎直径和叶面积以及金盏菊的根干质量和花蕾数。园林废弃物堆肥可以部分代替泥炭作为金盏菊育苗基质及天竺葵和金盏菊的栽培基质。
表 5
参15
为探索园林废弃物堆肥替代泥炭用于天竺葵Pelargonium zonale和金盏菊Calendula officinalise栽培基质的可能性,将改良后的园林废弃物堆肥分别以0%,25%,50%,75%和100%的比例替代泥炭进行试验。将天竺葵和金盏菊的种子分别播种在不同基质中进行育苗研究,当幼苗生长35 d后进行测定。将幼苗分别移栽到不同基质中,栽培6个月后进行测定。结果表明:随园林废弃物比例的增加,基质的容重增加,总孔隙度度、通气孔隙度和持水孔隙度呈下降趋势。园林废弃物比例的增加提高了基质pH值、电导率值、大量元素和微量元素质量分数。育苗试验显示:天竺葵幼苗在园林废弃物处理中的生长量显著(P< 0.05)低于对照组,即使在25%的低比例下也会对幼苗产生不良影响。金盏菊幼苗在添加25%和50%的园林废弃物处理中的生长量与对照组一致。盆栽试验显示:添加园林废弃物显著(P< 0.05)增加了天竺葵和金盏菊的地上部分干质量、株高、茎直径和叶面积以及金盏菊的根干质量和花蕾数。园林废弃物堆肥可以部分代替泥炭作为金盏菊育苗基质及天竺葵和金盏菊的栽培基质。
2016, 33(5): 855-861.
doi:10.11833/j.issn.2095-0756.2016.05.018
摘要:
选用柠檬酸钠等8种药剂进行了对桑天牛Apriona germari成虫血淋巴凝结的抑制试验。冷藏血淋巴溶解时按V(血淋巴):V(抑制剂):V(苯基硫脲)=1:1:1和1:2:2的用量加入抑制剂,4 ℃下静置2 min和6 h,各药剂抑制血淋巴凝结结果为:按V(血淋巴):V(抑制剂):V(苯基硫脲)=1:2:2的用量加入质量分数为10 g·kg-1柠檬酸钠,凝结抑制效果最好,柠檬酸-磷酸二氢钠溶液、草酸钾、秋水仙碱、任氏液、磷酸缓冲液也有一定的抑制作用,而噻孢霉素和硫酸新霉素的抑制作用很小。按1:2:2的用量加入10 g·kg-1柠檬酸钠,可更有效抑制冷藏血淋巴解冻时的凝结。新鲜血淋巴采集时按V(血淋巴):V(抑制剂):V(苯基硫脲)=1:2:2的用量加入抑制剂,6 h后观察表明:10 g·kg-1柠檬酸钠的凝结抑制效果最好;任氏液、磷酸缓冲液、柠檬酸-磷酸氢钠缓冲液处理的血淋巴,有少量沉淀;其余4种药剂处理的血淋巴均有大量沉淀和凝块产生。用柠檬酸钠处理桑天牛成虫血淋巴,可有效抑制其血淋巴的凝结。
表 7
参14
选用柠檬酸钠等8种药剂进行了对桑天牛Apriona germari成虫血淋巴凝结的抑制试验。冷藏血淋巴溶解时按V(血淋巴):V(抑制剂):V(苯基硫脲)=1:1:1和1:2:2的用量加入抑制剂,4 ℃下静置2 min和6 h,各药剂抑制血淋巴凝结结果为:按V(血淋巴):V(抑制剂):V(苯基硫脲)=1:2:2的用量加入质量分数为10 g·kg-1柠檬酸钠,凝结抑制效果最好,柠檬酸-磷酸二氢钠溶液、草酸钾、秋水仙碱、任氏液、磷酸缓冲液也有一定的抑制作用,而噻孢霉素和硫酸新霉素的抑制作用很小。按1:2:2的用量加入10 g·kg-1柠檬酸钠,可更有效抑制冷藏血淋巴解冻时的凝结。新鲜血淋巴采集时按V(血淋巴):V(抑制剂):V(苯基硫脲)=1:2:2的用量加入抑制剂,6 h后观察表明:10 g·kg-1柠檬酸钠的凝结抑制效果最好;任氏液、磷酸缓冲液、柠檬酸-磷酸氢钠缓冲液处理的血淋巴,有少量沉淀;其余4种药剂处理的血淋巴均有大量沉淀和凝块产生。用柠檬酸钠处理桑天牛成虫血淋巴,可有效抑制其血淋巴的凝结。
2016, 33(5): 862-868.
doi:10.11833/j.issn.2095-0756.2016.05.019
摘要:
为了解金银花尺蠖Heterolocha jinyinhuaphaga蛹粗多糖的抗氧化活性,采用热水浸提法提取了金银花尺蠖蛹粗多糖,并测定其体外抗氧化活性。结果表明:金银花尺蠖蛹粗多糖对二苯代苦味酰自由基(DPPH),羟基自由基(·OH)以及超氧阴离子自由基(O2-·)具有一定的清除作用,在其质量浓度为0.2 g·L-1时的清除率分别为39.32%,35.62%和26.75%。随着多糖质量浓度的增大,对自由基的清除率也逐渐增加,当质量浓度上升到1.2 g·L-1时,清除率分别为74.93%,61.59%和47.84%,分别增加了35.61%,25.97%和21.09%,差异达显著水平(P< 0.05)。在0.2~1.2 g·L-1的质量浓度范围内,清除率与粗多糖质量浓度之间呈显著的线性关系。金银花尺蠖蛹粗多糖具有较强的体外抗氧化活性,具有开发为抗氧化剂的潜力。
图 4
参20
为了解金银花尺蠖Heterolocha jinyinhuaphaga蛹粗多糖的抗氧化活性,采用热水浸提法提取了金银花尺蠖蛹粗多糖,并测定其体外抗氧化活性。结果表明:金银花尺蠖蛹粗多糖对二苯代苦味酰自由基(DPPH),羟基自由基(·OH)以及超氧阴离子自由基(O2-·)具有一定的清除作用,在其质量浓度为0.2 g·L-1时的清除率分别为39.32%,35.62%和26.75%。随着多糖质量浓度的增大,对自由基的清除率也逐渐增加,当质量浓度上升到1.2 g·L-1时,清除率分别为74.93%,61.59%和47.84%,分别增加了35.61%,25.97%和21.09%,差异达显著水平(P< 0.05)。在0.2~1.2 g·L-1的质量浓度范围内,清除率与粗多糖质量浓度之间呈显著的线性关系。金银花尺蠖蛹粗多糖具有较强的体外抗氧化活性,具有开发为抗氧化剂的潜力。
2016, 33(5): 869-874.
doi:10.11833/j.issn.2095-0756.2016.05.020
摘要:
灰雁Anser anser是雁形目Anseriformes鸭科Anatidae雁属Anser的珍稀鸟类。为深入了解人工饲养灰雁冬季的行为节律,以东洞庭湖救助的灰雁为研究对象,利用目标动物取样法对灰雁冬季行为进行观察。研究将灰雁的行为分为取食、运动、警戒、静止、清理、社会共6类,包含20种具体行为,并对每一种行为进行了描述,建立了灰雁行为谱。记录灰雁每一种行为持续的时间。研究发现:灰雁不同行为最长持续时间差异较大,灰雁休憩行为最长可持续20 min左右,但通信的最长时间仅为16 s。灰雁不同行为的最短持续时间则差异不大,为3~10 s。白天行为节律的研究表明:取食、静止、运动、清理是灰雁冬季所占时间比例较高的行为,但各行为所占时间比例在1 d中存在波动。静止是灰雁行为所占比例最大的行为种类,主要发生在上午和傍晚,取食行为在1 d中存在2个高峰,但受喂食时间的影响。警戒主要伴随摄食而发生,且摄食时会伴随较多其他行为。冬季人工饲养灰雁白天行为节律的研究对于灰雁的成功救助和人工繁殖具有十分重要的意义。
图 2
表 2
参16
灰雁Anser anser是雁形目Anseriformes鸭科Anatidae雁属Anser的珍稀鸟类。为深入了解人工饲养灰雁冬季的行为节律,以东洞庭湖救助的灰雁为研究对象,利用目标动物取样法对灰雁冬季行为进行观察。研究将灰雁的行为分为取食、运动、警戒、静止、清理、社会共6类,包含20种具体行为,并对每一种行为进行了描述,建立了灰雁行为谱。记录灰雁每一种行为持续的时间。研究发现:灰雁不同行为最长持续时间差异较大,灰雁休憩行为最长可持续20 min左右,但通信的最长时间仅为16 s。灰雁不同行为的最短持续时间则差异不大,为3~10 s。白天行为节律的研究表明:取食、静止、运动、清理是灰雁冬季所占时间比例较高的行为,但各行为所占时间比例在1 d中存在波动。静止是灰雁行为所占比例最大的行为种类,主要发生在上午和傍晚,取食行为在1 d中存在2个高峰,但受喂食时间的影响。警戒主要伴随摄食而发生,且摄食时会伴随较多其他行为。冬季人工饲养灰雁白天行为节律的研究对于灰雁的成功救助和人工繁殖具有十分重要的意义。
2016, 33(5): 875-880.
doi:10.11833/j.issn.2095-0756.2016.05.021
摘要:
为了提高应用Sylvatest-Duo超声波测量装置进行木材质量和缺陷检测的精度,研究了该装置的探针与木材接触方式(探针触式)及其计示压强对木材中超声波传播速度和信号能量衰减幅度的影响,确定了测量过程中宜采用的最佳探针触式和最佳计示压强。以美国红松Pinus resinosa的小规格试样材(25.4 mm × 25.4 mm × 407.0 mm)为研究对象,采用单因素重复试验,经SPSS统计分析中多元检验的研究结果表明:不同的探针触式对超声波测量结果影响显著(P值为0.000),探针-木材的“持续性接触”比“非持续性接触”测量偏差小,检测效果稳定;在探针“持续性接触”方式下,超声波的传播速度和信号能量衰减幅度随着计示压强增大而增加,在计示压强为275.8 kPa(40 psi)时,两者趋于稳定。因此,建议在应用Slyvatest-Duo进行木材超声波测量过程中,宜保持探针与木材持续性接触,同时采用275.8 kPa的计示压强,可达到最优检测精度。
为了提高应用Sylvatest-Duo超声波测量装置进行木材质量和缺陷检测的精度,研究了该装置的探针与木材接触方式(探针触式)及其计示压强对木材中超声波传播速度和信号能量衰减幅度的影响,确定了测量过程中宜采用的最佳探针触式和最佳计示压强。以美国红松Pinus resinosa的小规格试样材(25.4 mm × 25.4 mm × 407.0 mm)为研究对象,采用单因素重复试验,经SPSS统计分析中多元检验的研究结果表明:不同的探针触式对超声波测量结果影响显著(P值为0.000),探针-木材的“持续性接触”比“非持续性接触”测量偏差小,检测效果稳定;在探针“持续性接触”方式下,超声波的传播速度和信号能量衰减幅度随着计示压强增大而增加,在计示压强为275.8 kPa(40 psi)时,两者趋于稳定。因此,建议在应用Slyvatest-Duo进行木材超声波测量过程中,宜保持探针与木材持续性接触,同时采用275.8 kPa的计示压强,可达到最优检测精度。
2016, 33(5): 881-889.
doi:10.11833/j.issn.2095-0756.2016.05.022
摘要:
通过固相法合成新型四氨基酞菁类化合物:四氨基钴酞菁(CoTAPc);氧化法合成纤维素衍生物载体,化学键联制备新型纤维素负载酞菁:纤维素负载钴酞菁(F-CoTDTAPc)。利用红外光谱结合元素分析和原子吸收表征中间产物和最终产物的结构,确认预期产物的合成。研究新型催化功能纤维在不同温度、时间、氧化剂浓度和四环素浓度下对四环素降解性能的影响。利用正交试验设计优化工艺。结果成功制备纤维素负载钴酞菁。纤维素负载钴酞菁在过氧化氢存在下能快速催化氧化四环素,并具有较好的原位再生能力,氧化降解优化工艺组合为温度60 ℃,时间5 h,氧化剂用量0.05 mol·L-1,四环素浓度5 × 10-5mol·L-1。
通过固相法合成新型四氨基酞菁类化合物:四氨基钴酞菁(CoTAPc);氧化法合成纤维素衍生物载体,化学键联制备新型纤维素负载酞菁:纤维素负载钴酞菁(F-CoTDTAPc)。利用红外光谱结合元素分析和原子吸收表征中间产物和最终产物的结构,确认预期产物的合成。研究新型催化功能纤维在不同温度、时间、氧化剂浓度和四环素浓度下对四环素降解性能的影响。利用正交试验设计优化工艺。结果成功制备纤维素负载钴酞菁。纤维素负载钴酞菁在过氧化氢存在下能快速催化氧化四环素,并具有较好的原位再生能力,氧化降解优化工艺组合为温度60 ℃,时间5 h,氧化剂用量0.05 mol·L-1,四环素浓度5 × 10-5mol·L-1。
2016, 33(5): 890-898.
doi:10.11833/j.issn.2095-0756.2016.05.023
摘要:
浙江省临安市青山湖主要用于旅游业、农业灌溉及饮用水源等多种用途,而周边旅游业、工业等方面的发展可能使得它存在受污染的风险,通过水质评价来了解青山湖水环境质量状况具有重要的意义。以2009-2013年临安市青山湖水质采样数据为基础,采用传统的综合水质标识指数法对青山湖水质进行综合评价,并结合3种赋权法对指标权重进一步优化处理,通过污染成因分析初步得出各支流对青山湖水库水质污染贡献情况。结果表明:青山湖化学需氧量、氨氮的单因子水质标识指数平均达到Ⅱ类水质标准,符合青山湖水质功能区划分等级要求;总氮、总磷、叶绿素a的单因子水质标识指数平均大于Ⅲ类水质,为主要污染物;基于主成分分析赋权的综合水质标识指数法和传统的综合水质标识指数法的计算结果一致,2009-2013年青山湖水质都达到Ⅳ类,且2009年青山湖水质最差,综合水质标示指数为4.331,2013年最好,为4.131,呈U型变化趋势;锦溪的总氮、叶绿素a污染贡献最高,南苕溪次之,灵溪的总磷污染贡献最高。
浙江省临安市青山湖主要用于旅游业、农业灌溉及饮用水源等多种用途,而周边旅游业、工业等方面的发展可能使得它存在受污染的风险,通过水质评价来了解青山湖水环境质量状况具有重要的意义。以2009-2013年临安市青山湖水质采样数据为基础,采用传统的综合水质标识指数法对青山湖水质进行综合评价,并结合3种赋权法对指标权重进一步优化处理,通过污染成因分析初步得出各支流对青山湖水库水质污染贡献情况。结果表明:青山湖化学需氧量、氨氮的单因子水质标识指数平均达到Ⅱ类水质标准,符合青山湖水质功能区划分等级要求;总氮、总磷、叶绿素a的单因子水质标识指数平均大于Ⅲ类水质,为主要污染物;基于主成分分析赋权的综合水质标识指数法和传统的综合水质标识指数法的计算结果一致,2009-2013年青山湖水质都达到Ⅳ类,且2009年青山湖水质最差,综合水质标示指数为4.331,2013年最好,为4.131,呈U型变化趋势;锦溪的总氮、叶绿素a污染贡献最高,南苕溪次之,灵溪的总磷污染贡献最高。
2016, 33(5): 899-909.
doi:10.11833/j.issn.2095-0756.2016.05.024
摘要:
植物修复技术是目前国际上常用的一种用于修复重金属污染土壤的绿色环保技术。目前研究的修复材料主要集中在重金属超积累植物上面,而对速生林木方面的研究相对较少,且研究重点主要侧重于对修复材料的筛选。一般超积累植物主要集中在草本植物,它们对重金属具有吸收和转运能力, 但其生物量小,生长缓慢,根系不发达等因素限制了在植物修复中的运用。速生林木相比超积累植物,具有生物量大,生长迅速等特点,将其应用在植物修复中可为大面积修复重金属污染土壤提供选择。综述了速生林木用于重金属土壤修复的特点,从对重金属的胁迫耐性、吸收转运、累积分布、强化技术及修复材料的回收利用方面进行论述,并为今后速生林木修复土壤重金属污染提供了新的研究思路。
植物修复技术是目前国际上常用的一种用于修复重金属污染土壤的绿色环保技术。目前研究的修复材料主要集中在重金属超积累植物上面,而对速生林木方面的研究相对较少,且研究重点主要侧重于对修复材料的筛选。一般超积累植物主要集中在草本植物,它们对重金属具有吸收和转运能力, 但其生物量小,生长缓慢,根系不发达等因素限制了在植物修复中的运用。速生林木相比超积累植物,具有生物量大,生长迅速等特点,将其应用在植物修复中可为大面积修复重金属污染土壤提供选择。综述了速生林木用于重金属土壤修复的特点,从对重金属的胁迫耐性、吸收转运、累积分布、强化技术及修复材料的回收利用方面进行论述,并为今后速生林木修复土壤重金属污染提供了新的研究思路。
2016, 33(5): 910-919.
doi:10.11833/j.issn.2095-0756.2016.05.025
摘要:
为了治理氮、磷浓度过高造成的水体富营养化和工业过程中产生的重金属污染问题,水生植物有去除效果较显著、易于获得、有良好景观改善作用等优势而被广泛地应用于水体净化中。通过文献查阅和野外调查,综述了不同生活型水生植物的常见种类,阐释了其对氮、磷及重金属等消减作用的机制和差异性表现。在此基础上,分析了水生植物在水体净化研究中存在的问题,并提出了研究展望。文章对于农业面源污染防治中水生植物的应用具有一定的指导意义和理论价值。
为了治理氮、磷浓度过高造成的水体富营养化和工业过程中产生的重金属污染问题,水生植物有去除效果较显著、易于获得、有良好景观改善作用等优势而被广泛地应用于水体净化中。通过文献查阅和野外调查,综述了不同生活型水生植物的常见种类,阐释了其对氮、磷及重金属等消减作用的机制和差异性表现。在此基础上,分析了水生植物在水体净化研究中存在的问题,并提出了研究展望。文章对于农业面源污染防治中水生植物的应用具有一定的指导意义和理论价值。



























