2019年 第36卷 第4期
2019, 36(4): 629-637.
doi:10.11833/j.issn.2095-0756.2019.04.001
摘要:
香榧绿藻Chlorellasp.是一种附着在香榧Torreya grandis‘Merrillii’枝、叶上的藻类。为探明香榧绿藻的种属类别及亲缘关系,探究香榧绿藻的生物学特性,以3个不同地区的香榧树上采集的香榧绿藻为试验对象,通过室内培养,观察香榧绿藻的形态特征及生活习性,提取香榧绿藻DNA并进行18S rDNA序列和内转录间隔区(ITS)基因序列特异性扩增,最终序列进行BLAST比对,绘制系统进化树。结果表明:香榧绿藻由A组和B组2种不同形态的绿藻组成,不同地区香榧绿藻形态存在差异,但主要以A组形态绿藻为主。根据形态学鉴定结果表明:A组香榧绿藻与引起番茄绿藻病的椭圆小球藻Chlorella ellipsoidea形态相近,B组香榧绿藻与引起黄瓜绿藻病的丝藻Ulothrixsp.形态相近;但香榧绿藻对pH值的反应规律与斜生栅藻Scenedesmus obliquus相近。通过序列比对发现,2种形态的香榧绿藻的18S rDNA和ITS区基因序列也与栅藻科Scenedesmace的Asterarcys quadricellulare的同源性高,相似率达100%。结合传统形态学方法和分子生物学技术,将A组香榧绿藻初步鉴定为栅藻科的Asterarcys quadricellulare,B组香榧绿藻为其变种,且2组香榧绿藻与同属于栅藻科的Scenedesmussp. SM15_4(KT778094.1)的ITS区基因序列相同。香榧绿藻具有较好的耐碱性,生长周期长且不容易腐烂。这些生物学特性赐予香榧绿藻在香榧树上长期寄生的能力。
香榧绿藻Chlorellasp.是一种附着在香榧Torreya grandis‘Merrillii’枝、叶上的藻类。为探明香榧绿藻的种属类别及亲缘关系,探究香榧绿藻的生物学特性,以3个不同地区的香榧树上采集的香榧绿藻为试验对象,通过室内培养,观察香榧绿藻的形态特征及生活习性,提取香榧绿藻DNA并进行18S rDNA序列和内转录间隔区(ITS)基因序列特异性扩增,最终序列进行BLAST比对,绘制系统进化树。结果表明:香榧绿藻由A组和B组2种不同形态的绿藻组成,不同地区香榧绿藻形态存在差异,但主要以A组形态绿藻为主。根据形态学鉴定结果表明:A组香榧绿藻与引起番茄绿藻病的椭圆小球藻Chlorella ellipsoidea形态相近,B组香榧绿藻与引起黄瓜绿藻病的丝藻Ulothrixsp.形态相近;但香榧绿藻对pH值的反应规律与斜生栅藻Scenedesmus obliquus相近。通过序列比对发现,2种形态的香榧绿藻的18S rDNA和ITS区基因序列也与栅藻科Scenedesmace的Asterarcys quadricellulare的同源性高,相似率达100%。结合传统形态学方法和分子生物学技术,将A组香榧绿藻初步鉴定为栅藻科的Asterarcys quadricellulare,B组香榧绿藻为其变种,且2组香榧绿藻与同属于栅藻科的Scenedesmussp. SM15_4(KT778094.1)的ITS区基因序列相同。香榧绿藻具有较好的耐碱性,生长周期长且不容易腐烂。这些生物学特性赐予香榧绿藻在香榧树上长期寄生的能力。
2019, 36(4): 638-645.
doi:10.11833/j.issn.2095-0756.2019.04.002
摘要:
为了揭示四川省蚂蚁物种分布规律,采用样地调查法研究了王朗自然保护区及邻近地区蚂蚁物种的分布格局,共发现蚂蚁5亚科37属77种。结论认为:气温和植被类型对蚂蚁物种的分布和丰富度起主要作用,低海拔植被类型食物资源丰富,栖息着更多的蚂蚁物种,林窗效应可以提高蚂蚁物种的丰富度。针阔混交林栖息的蚂蚁物种最多,多为土壤内筑巢,地表觅食。不同地方蚂蚁物种对筑巢场所的选择与气候因素有关。随着纬度降低,到达树冠上觅食的蚂蚁物种比例递增。因为对环境要求严苛,大部分蚂蚁物种分布范围较窄,生态适应能力弱,这些物种很容易因受到人类干扰而在局部地区陷入濒危境地。王朗自然保护区及邻近地区栖息着丰富的蚂蚁狭域物种,在生物多样性保护中具有重要价值。
为了揭示四川省蚂蚁物种分布规律,采用样地调查法研究了王朗自然保护区及邻近地区蚂蚁物种的分布格局,共发现蚂蚁5亚科37属77种。结论认为:气温和植被类型对蚂蚁物种的分布和丰富度起主要作用,低海拔植被类型食物资源丰富,栖息着更多的蚂蚁物种,林窗效应可以提高蚂蚁物种的丰富度。针阔混交林栖息的蚂蚁物种最多,多为土壤内筑巢,地表觅食。不同地方蚂蚁物种对筑巢场所的选择与气候因素有关。随着纬度降低,到达树冠上觅食的蚂蚁物种比例递增。因为对环境要求严苛,大部分蚂蚁物种分布范围较窄,生态适应能力弱,这些物种很容易因受到人类干扰而在局部地区陷入濒危境地。王朗自然保护区及邻近地区栖息着丰富的蚂蚁狭域物种,在生物多样性保护中具有重要价值。
2019, 36(4): 646-655.
doi:10.11833/j.issn.2095-0756.2019.04.003
摘要:
土壤侵蚀是土壤有机碳退化的主要因素。为探究水蚀对土壤有机碳的影响及寻求有效的水土保持措施对土壤有机碳进行保护,在北京周边选取4处典型样地,进行土壤有机碳调查及野外人工模拟降雨实验,分析了水蚀及水土保持措施对土壤有机碳的影响。结果表明:①不同样地土壤有机碳质量分数大小顺序为:土壤堆积区、轻微溅蚀区、细沟侵蚀区、强烈冲刷侵蚀区。水蚀对浅层土壤有机碳质量分数影响较大,程度剧烈的侵蚀,会造成深层土壤有机碳流失;②土壤平均有机碳质量分数随降雨历时的增加(土壤侵蚀量增长)呈减少趋势,并且减少趋势随降雨历时增加(土壤侵蚀量增长)逐渐变缓而趋于稳定;③不同鱼鳞坑配置对土壤有机碳的累积规律为:乔木枯枝落叶覆盖(32.7 g·kg-1)>乔木低矮植被覆盖(27.9 g·kg-1)>乔木种植(23.5 g·kg-1)>无措施(21.9 g·kg-1)>灌木(21.5 g·kg-1)。其中地表覆盖(枯枝落叶及低矮植被)能有效增加土壤有机碳;④不同植被措施对土壤有机碳恢复作用从大到小依次为人工林、苗圃、果园和农田,因此要选取适合的水土保持措施进行土壤有机碳的保护。
土壤侵蚀是土壤有机碳退化的主要因素。为探究水蚀对土壤有机碳的影响及寻求有效的水土保持措施对土壤有机碳进行保护,在北京周边选取4处典型样地,进行土壤有机碳调查及野外人工模拟降雨实验,分析了水蚀及水土保持措施对土壤有机碳的影响。结果表明:①不同样地土壤有机碳质量分数大小顺序为:土壤堆积区、轻微溅蚀区、细沟侵蚀区、强烈冲刷侵蚀区。水蚀对浅层土壤有机碳质量分数影响较大,程度剧烈的侵蚀,会造成深层土壤有机碳流失;②土壤平均有机碳质量分数随降雨历时的增加(土壤侵蚀量增长)呈减少趋势,并且减少趋势随降雨历时增加(土壤侵蚀量增长)逐渐变缓而趋于稳定;③不同鱼鳞坑配置对土壤有机碳的累积规律为:乔木枯枝落叶覆盖(32.7 g·kg-1)>乔木低矮植被覆盖(27.9 g·kg-1)>乔木种植(23.5 g·kg-1)>无措施(21.9 g·kg-1)>灌木(21.5 g·kg-1)。其中地表覆盖(枯枝落叶及低矮植被)能有效增加土壤有机碳;④不同植被措施对土壤有机碳恢复作用从大到小依次为人工林、苗圃、果园和农田,因此要选取适合的水土保持措施进行土壤有机碳的保护。
2019, 36(4): 656-663.
doi:10.11833/j.issn.2095-0756.2019.04.004
摘要:
研究江苏北部沿海地区杨树Populus deltoides‘Ⅰ-35’人工林不同量氮输入下土壤总有机碳(TOC)质量分数、土壤微生物生物量碳(SMBC)质量分数的时间动态特征以及土壤TOC质量分数随SMBC质量分数变化的分形特征。试验设置5种施氮水平,分别为N0(施氮0 g·m-2·a-1,对照),N1(施氮5 g·m-2·a-1),N2(施氮10 g·m-2·a-1),N3(施氮15 g·m-2·a-1),N4(施氮30 g·m-2·a-1),于2015年4,6,8,10,12月各采集1次样品进行土壤性状理化分析,并引入分形理论对数据进行分析。结果表明:不同施氮水平处理下各个月份对土壤TOC质量分数影响极显著(P< 0.01),土壤TOC质量分数随时间变化的分形维数(D)变化范围是1.805~1.949,D从大到小排序为N3,N2,N4,N1,N0;在6月和10月,不同施氮水平处理对SMBC质量分数无显著影响(P> 0.05),在4月、8月、12月,施氮水平对SMBC质量分数影响极显著(P< 0.01),SMBC质量分数随时间变化的D变化范围是1.728~1.963,D从大到小排序为N2,N3,N1,N4,N0;不同施氮水平处理下土壤TOC质量分数随SMBC质量分数变化的D变化范围是2.207~2.342,D从大到小排序为N3,N2,N4,N1,N0;不同月份土壤TOC质量分数随SMBC质量分数变化的D变化范围是1.650~6.149,D从大到小排序为6月、10月、4月、8月、12月。综上,N2,N3中等施氮水平处理下,土壤TOC和SMBC随时间变化以及土壤TOC随SMBC变化的复杂程度更高。研究区6月和10月土壤微生物的作用比较强烈,土壤TOC质量分数随SMBC质量分数变化更具随机性和复杂性。
研究江苏北部沿海地区杨树Populus deltoides‘Ⅰ-35’人工林不同量氮输入下土壤总有机碳(TOC)质量分数、土壤微生物生物量碳(SMBC)质量分数的时间动态特征以及土壤TOC质量分数随SMBC质量分数变化的分形特征。试验设置5种施氮水平,分别为N0(施氮0 g·m-2·a-1,对照),N1(施氮5 g·m-2·a-1),N2(施氮10 g·m-2·a-1),N3(施氮15 g·m-2·a-1),N4(施氮30 g·m-2·a-1),于2015年4,6,8,10,12月各采集1次样品进行土壤性状理化分析,并引入分形理论对数据进行分析。结果表明:不同施氮水平处理下各个月份对土壤TOC质量分数影响极显著(P< 0.01),土壤TOC质量分数随时间变化的分形维数(D)变化范围是1.805~1.949,D从大到小排序为N3,N2,N4,N1,N0;在6月和10月,不同施氮水平处理对SMBC质量分数无显著影响(P> 0.05),在4月、8月、12月,施氮水平对SMBC质量分数影响极显著(P< 0.01),SMBC质量分数随时间变化的D变化范围是1.728~1.963,D从大到小排序为N2,N3,N1,N4,N0;不同施氮水平处理下土壤TOC质量分数随SMBC质量分数变化的D变化范围是2.207~2.342,D从大到小排序为N3,N2,N4,N1,N0;不同月份土壤TOC质量分数随SMBC质量分数变化的D变化范围是1.650~6.149,D从大到小排序为6月、10月、4月、8月、12月。综上,N2,N3中等施氮水平处理下,土壤TOC和SMBC随时间变化以及土壤TOC随SMBC变化的复杂程度更高。研究区6月和10月土壤微生物的作用比较强烈,土壤TOC质量分数随SMBC质量分数变化更具随机性和复杂性。
2019, 36(4): 664-669.
doi:10.11833/j.issn.2095-0756.2019.04.005
摘要:
AP1(APETALA1)基因在植物花分生组织及花器官形成过程中发挥着重要作用。以桂花品种‘堰虹桂’Osmanthus fragrans‘Yanhonggui’为材料,根据前期获得的转录组数据中AP1的序列设计引物,利用PCR技术,克隆得到约750 bp桂花AP1 cDNA序列,即OfAP1基因,其中开放阅读框长为720 bp(注册号为MH593222)。氨基酸序列比对发现,与其他物种的AP1基因的同源性高达69%~88%。荧光定量PCR结果表明:在不同组织中,桂花的OfAP1基因在花芽中的表达量显著高于其他组织,根中几乎不表达;在花芽分化过程中,OfAP1在成花转变及花芽分化初期(花瓣、花萼分化期)表达量较高,随后呈下降趋势。这说明OfAP1具有组织表达特异性,同时在桂花成花转变、花芽分化和发育中有重要作用。
AP1(APETALA1)基因在植物花分生组织及花器官形成过程中发挥着重要作用。以桂花品种‘堰虹桂’Osmanthus fragrans‘Yanhonggui’为材料,根据前期获得的转录组数据中AP1的序列设计引物,利用PCR技术,克隆得到约750 bp桂花AP1 cDNA序列,即OfAP1基因,其中开放阅读框长为720 bp(注册号为MH593222)。氨基酸序列比对发现,与其他物种的AP1基因的同源性高达69%~88%。荧光定量PCR结果表明:在不同组织中,桂花的OfAP1基因在花芽中的表达量显著高于其他组织,根中几乎不表达;在花芽分化过程中,OfAP1在成花转变及花芽分化初期(花瓣、花萼分化期)表达量较高,随后呈下降趋势。这说明OfAP1具有组织表达特异性,同时在桂花成花转变、花芽分化和发育中有重要作用。
2019, 36(4): 670-677.
doi:10.11833/j.issn.2095-0756.2019.04.006
摘要:
利用14个微卫星标记分析了沙棘Hippophae rhamnoides7个亚种和26个大果沙棘品种的遗传多样性,采用系统发育树和贝叶斯聚类方法分析了这些个体的聚类情况。结果显示:中国沙棘H. rhamnoidessubsp.sinensis和云南沙棘H. rhamnoidessubsp.yunnanensis遗传多样性水平最高,高加索沙棘H. rhamnoidessubsp.caucasica最低。系统发育树将所有个体聚为2个大支:亚洲分支和欧洲分支。大部分大果沙棘品种与亚洲的蒙古沙棘H. rhamnoidessubsp.mongolica聚为1支,少量个体位于亚洲分支和欧洲分支之间。贝叶斯聚类分析将所有个体划分为3组或7组:分3组时,中国沙棘和云南沙棘为一组,蒙古沙棘和大部分大果沙棘品种为一组,溪生沙棘H. rhamnoidessubsp.fluviatilis,高加索沙棘和海滨沙棘H. rhamnoidessubsp.rhamnoides为一组;分7组时,除海滨沙棘由溪生沙棘组和高加索沙棘组共同构成外,其他亚种和大果沙棘品种各自为一组,并发现少量组间混合基因型。表明沙棘种下亚种间分化明显,亚洲和欧洲分布的沙棘亚种间的分化尤为明显;大果沙棘品种大部分源于蒙古沙棘亚种,个别品种可能为蒙古沙棘和欧洲沙棘亚种间的杂交后代。
利用14个微卫星标记分析了沙棘Hippophae rhamnoides7个亚种和26个大果沙棘品种的遗传多样性,采用系统发育树和贝叶斯聚类方法分析了这些个体的聚类情况。结果显示:中国沙棘H. rhamnoidessubsp.sinensis和云南沙棘H. rhamnoidessubsp.yunnanensis遗传多样性水平最高,高加索沙棘H. rhamnoidessubsp.caucasica最低。系统发育树将所有个体聚为2个大支:亚洲分支和欧洲分支。大部分大果沙棘品种与亚洲的蒙古沙棘H. rhamnoidessubsp.mongolica聚为1支,少量个体位于亚洲分支和欧洲分支之间。贝叶斯聚类分析将所有个体划分为3组或7组:分3组时,中国沙棘和云南沙棘为一组,蒙古沙棘和大部分大果沙棘品种为一组,溪生沙棘H. rhamnoidessubsp.fluviatilis,高加索沙棘和海滨沙棘H. rhamnoidessubsp.rhamnoides为一组;分7组时,除海滨沙棘由溪生沙棘组和高加索沙棘组共同构成外,其他亚种和大果沙棘品种各自为一组,并发现少量组间混合基因型。表明沙棘种下亚种间分化明显,亚洲和欧洲分布的沙棘亚种间的分化尤为明显;大果沙棘品种大部分源于蒙古沙棘亚种,个别品种可能为蒙古沙棘和欧洲沙棘亚种间的杂交后代。
2019, 36(4): 678-686.
doi:10.11833/j.issn.2095-0756.2019.04.007
摘要:
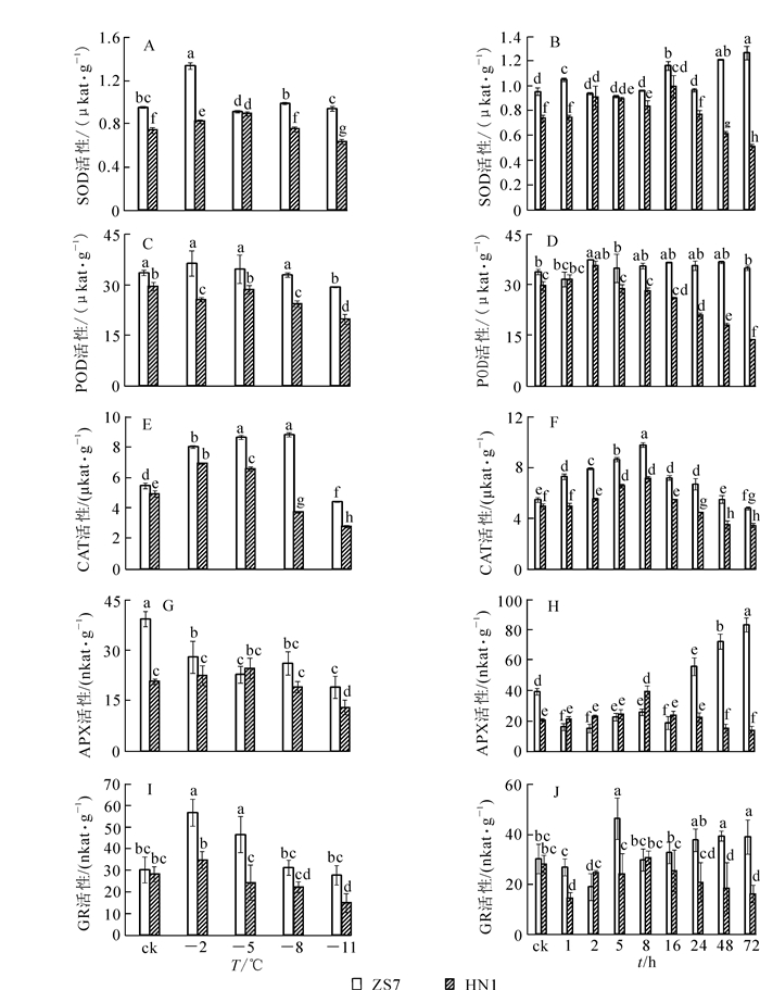
以短枝木麻黄Casuarina equisetifolia耐寒无性系ZS7和不耐寒无性系HN1幼苗为供试材料,在人工气候箱内采用基质栽培方式,研究在-2,-5,-8,-11 ℃共4个温度梯度胁迫2 h以及-5 ℃持续胁迫1,2,5,8,16,24,48,72 h后2种无性系幼苗相关生理指标的变化趋势以及耐寒性差异,探讨短枝木麻黄适应低温环境的生理机制。结果表明:在低温梯度胁迫下,耐寒无性系的过氧化氢(H2O2)和丙二醛(MDA)质量摩尔浓度的增幅小于不耐寒无性系;叶绿素、脯氨酸(Pro)和可溶性蛋白质质量分数,超氧化物歧化酶(SOD),过氧化物酶(POD),过氧化氢酶(CAT),抗坏血酸过氧化物酶(APX)和谷胱甘肽还原酶(GR)活性,以及还原型谷胱甘肽(GSH)和氧化型谷胱甘肽(GSSG)质量摩尔浓度的降幅均小于不耐寒无性系。耐寒无性系的GSH/GSSG比值呈上升的趋势,而不耐寒无性系的呈先下降后上升趋势。在-5 ℃持续胁迫下,2种无性系各生理指标呈现波动变化,增幅(降幅)与到达峰值时间不同。无论是在低温梯度胁迫还是在低温持续胁迫处理过程中,耐寒无性系的SOD,POD,CAT,APX和GR活性以及叶绿素、可溶性蛋白质和Pro质量分数、GSH质量摩尔浓度都显著高于不耐寒无性系。耐寒性不同的2种短枝木麻黄无性系耐寒的生理机制明显不同,耐寒性强的无性系通过在低温胁迫下保持较高的可溶性蛋白质和Pro等渗透调节物质质量分数,增强抗氧化酶活性,提高非酶抗氧化剂水平,抑制叶绿素质量分数的下降及膜脂过氧化程度的加剧,进而提高抗寒性来抵御低温。
以短枝木麻黄Casuarina equisetifolia耐寒无性系ZS7和不耐寒无性系HN1幼苗为供试材料,在人工气候箱内采用基质栽培方式,研究在-2,-5,-8,-11 ℃共4个温度梯度胁迫2 h以及-5 ℃持续胁迫1,2,5,8,16,24,48,72 h后2种无性系幼苗相关生理指标的变化趋势以及耐寒性差异,探讨短枝木麻黄适应低温环境的生理机制。结果表明:在低温梯度胁迫下,耐寒无性系的过氧化氢(H2O2)和丙二醛(MDA)质量摩尔浓度的增幅小于不耐寒无性系;叶绿素、脯氨酸(Pro)和可溶性蛋白质质量分数,超氧化物歧化酶(SOD),过氧化物酶(POD),过氧化氢酶(CAT),抗坏血酸过氧化物酶(APX)和谷胱甘肽还原酶(GR)活性,以及还原型谷胱甘肽(GSH)和氧化型谷胱甘肽(GSSG)质量摩尔浓度的降幅均小于不耐寒无性系。耐寒无性系的GSH/GSSG比值呈上升的趋势,而不耐寒无性系的呈先下降后上升趋势。在-5 ℃持续胁迫下,2种无性系各生理指标呈现波动变化,增幅(降幅)与到达峰值时间不同。无论是在低温梯度胁迫还是在低温持续胁迫处理过程中,耐寒无性系的SOD,POD,CAT,APX和GR活性以及叶绿素、可溶性蛋白质和Pro质量分数、GSH质量摩尔浓度都显著高于不耐寒无性系。耐寒性不同的2种短枝木麻黄无性系耐寒的生理机制明显不同,耐寒性强的无性系通过在低温胁迫下保持较高的可溶性蛋白质和Pro等渗透调节物质质量分数,增强抗氧化酶活性,提高非酶抗氧化剂水平,抑制叶绿素质量分数的下降及膜脂过氧化程度的加剧,进而提高抗寒性来抵御低温。
2019, 36(4): 687-696.
doi:10.11833/j.issn.2095-0756.2019.04.008
摘要:
以‘波叶金桂’Osmanthus fragrans‘Boyejingui’幼苗为材料,采用人工控制水分模拟干旱及复水的处理方法,对‘波叶金桂’在抗旱防御反应系统中渗透调节物质和抗氧化酶的生理响应调控机制进行了研究。结果显示:随着干旱胁迫时间延长,叶片相对含水量和叶水势均下降,干旱胁迫20 d时分别比对照降低了28.0%和76.9%(P< 0.05);可溶性糖、甜菜碱和游离脯氨酸等渗透调节物质质量分数随干旱天数的增加而升高,干旱胁迫16 d可溶性糖和甜菜碱分别比对照增加了48.7%和53.5%(P< 0.05),干旱胁迫20 d时,游离脯氨酸比对照增加了3.44倍(P< 0.05);随着干旱胁迫时间延长,叶绿素(叶绿素a,叶绿素b和总叶绿素)质量分数呈降低的趋势,干旱胁迫20 d分别比对照降低了19.0%,16.2%和18.4%(P< 0.05),叶绿素a/b趋势为先降低后增加;随着干旱胁迫时间的延长,超氧阴离子(O2·-),过氧化氢(H2O2)质量摩尔浓度逐渐增加,相应膜脂过氧化作用加强,膜被损伤,叶片的伤害率增加,干旱胁迫20 d时,各指标均达到最大值;过氧化物酶(POD),过氧化氢酶(CAT)和超氧化物歧化酶(SOD)活性随着干旱胁迫延长表现为先升后降,干旱胁迫16 d时SOD和CAT分别比对照增加了31.7%和89.6%(P< 0.05),POD活性比对照增加了1.36倍(P< 0.05)。复水6 d后,各指标都能得到一定程度的恢复。由此可见,在干旱胁迫前期,‘波叶金桂’通过增加渗透调节物质、抗氧化酶活性等保护自身不受干旱胁迫伤害;随着胁迫时间延长和胁迫度提高,抗氧化酶活性下降,可溶性糖和甜菜碱质量分数稍有减少,游离脯氨酸质量分数持续上升,说明渗透调节物质在抗旱胁迫中发挥主要作用,增加植物的抗干旱能力;复水后,‘波叶金桂’的各生理指标得到恢复,表现出较强的耐旱特性。
以‘波叶金桂’Osmanthus fragrans‘Boyejingui’幼苗为材料,采用人工控制水分模拟干旱及复水的处理方法,对‘波叶金桂’在抗旱防御反应系统中渗透调节物质和抗氧化酶的生理响应调控机制进行了研究。结果显示:随着干旱胁迫时间延长,叶片相对含水量和叶水势均下降,干旱胁迫20 d时分别比对照降低了28.0%和76.9%(P< 0.05);可溶性糖、甜菜碱和游离脯氨酸等渗透调节物质质量分数随干旱天数的增加而升高,干旱胁迫16 d可溶性糖和甜菜碱分别比对照增加了48.7%和53.5%(P< 0.05),干旱胁迫20 d时,游离脯氨酸比对照增加了3.44倍(P< 0.05);随着干旱胁迫时间延长,叶绿素(叶绿素a,叶绿素b和总叶绿素)质量分数呈降低的趋势,干旱胁迫20 d分别比对照降低了19.0%,16.2%和18.4%(P< 0.05),叶绿素a/b趋势为先降低后增加;随着干旱胁迫时间的延长,超氧阴离子(O2·-),过氧化氢(H2O2)质量摩尔浓度逐渐增加,相应膜脂过氧化作用加强,膜被损伤,叶片的伤害率增加,干旱胁迫20 d时,各指标均达到最大值;过氧化物酶(POD),过氧化氢酶(CAT)和超氧化物歧化酶(SOD)活性随着干旱胁迫延长表现为先升后降,干旱胁迫16 d时SOD和CAT分别比对照增加了31.7%和89.6%(P< 0.05),POD活性比对照增加了1.36倍(P< 0.05)。复水6 d后,各指标都能得到一定程度的恢复。由此可见,在干旱胁迫前期,‘波叶金桂’通过增加渗透调节物质、抗氧化酶活性等保护自身不受干旱胁迫伤害;随着胁迫时间延长和胁迫度提高,抗氧化酶活性下降,可溶性糖和甜菜碱质量分数稍有减少,游离脯氨酸质量分数持续上升,说明渗透调节物质在抗旱胁迫中发挥主要作用,增加植物的抗干旱能力;复水后,‘波叶金桂’的各生理指标得到恢复,表现出较强的耐旱特性。
2019, 36(4): 697-703.
doi:10.11833/j.issn.2095-0756.2019.04.009
摘要:
为了揭示毛竹Phyllostachys edulis快速生长期茎秆不同节间叶绿素荧光特征,以毛竹笋竹茎秆为材料,用YZQ-500型非调制式叶绿素荧光仪和JIP-test数据分析方法,研究了茎秆不同节间光合色素质量分数和叶绿素荧光参数的变化特征。结果显示:随着节间的升高,毛竹笋竹茎秆中叶绿素a,叶绿素b和类胡萝卜素质量分数显著下降(P< 0.05);单位面积捕获的光能(TRo/CSo),单位面积电子传递的量子产额(ETo/CSo),PSⅡ反应中心吸收光能用于电子传递的量子产额(φEo),PSⅡ最大光化学效率(φPo),光合性能指数(PIABS)和反应中心数量(RC/CSo)显著下降(P< 0.05);用于热耗散的量子比率(φDo),单位面积热耗散(DIo/CSo)和单位反应中心耗散掉的能量(DIo/RC)显著上升(P< 0.05),表明茎秆上下部节间的生长发育存在明显差异,中下部节间PSⅡ反应中心活性较强,光能转换效率较高,能量耗散较少,生长较快;上部节间光合功能相对较弱,生长比较缓慢。研究成果对明确毛竹快速生长机制具有参考价值。
为了揭示毛竹Phyllostachys edulis快速生长期茎秆不同节间叶绿素荧光特征,以毛竹笋竹茎秆为材料,用YZQ-500型非调制式叶绿素荧光仪和JIP-test数据分析方法,研究了茎秆不同节间光合色素质量分数和叶绿素荧光参数的变化特征。结果显示:随着节间的升高,毛竹笋竹茎秆中叶绿素a,叶绿素b和类胡萝卜素质量分数显著下降(P< 0.05);单位面积捕获的光能(TRo/CSo),单位面积电子传递的量子产额(ETo/CSo),PSⅡ反应中心吸收光能用于电子传递的量子产额(φEo),PSⅡ最大光化学效率(φPo),光合性能指数(PIABS)和反应中心数量(RC/CSo)显著下降(P< 0.05);用于热耗散的量子比率(φDo),单位面积热耗散(DIo/CSo)和单位反应中心耗散掉的能量(DIo/RC)显著上升(P< 0.05),表明茎秆上下部节间的生长发育存在明显差异,中下部节间PSⅡ反应中心活性较强,光能转换效率较高,能量耗散较少,生长较快;上部节间光合功能相对较弱,生长比较缓慢。研究成果对明确毛竹快速生长机制具有参考价值。
2019, 36(4): 704-712.
doi:10.11833/j.issn.2095-0756.2019.04.010
摘要:
为了解氮沉降和生物质炭对毛竹Phyllostachys edulis叶片光合特性的影响,研究了4种氮沉降(0 kg·hm-2·a-1,N0;30 kg·hm-2·a-1,N30;60 kg·hm-2·a-1,N60;90 kg·hm-2·a-1,N90)下施加3种不同强度(0 t·hm-2,BC0;20 t·hm-2,BC20;40 t·hm-2,BC40)生物质炭处理后2龄毛竹新老叶片光合及叶绿素荧光特性的变化。结果表明:氮沉降和生物质炭均促进了毛竹新老叶的最大净光合速率(Pmax),气孔导度(Gs)和蒸腾速率(Tr),生物质炭同时提高了老叶实际量子产量[Y(Ⅱ)]和PSⅡ潜在活性(Fv/F0)。与不施加生物质炭相比(BC0),N30下施加20 t·hm-2生物质炭的老叶及N60下施加20 t·hm-2生物质炭(BC20)的新老叶叶色值显著降低;N60处理下施加生物质炭,毛竹新老叶的最大光化学效率(Fv/Fm),Fv/Fo和Y(Ⅱ)均提高,而N90处理下施加生物质炭,毛竹新老叶的Fv/Fm和Fv/Fo均降低。由此认为:氮沉降条件下施加生物质炭有利于毛竹新老叶片的光合固碳能力;大气氮沉降背景下,施加生物质炭有利于提高毛竹生产力。
为了解氮沉降和生物质炭对毛竹Phyllostachys edulis叶片光合特性的影响,研究了4种氮沉降(0 kg·hm-2·a-1,N0;30 kg·hm-2·a-1,N30;60 kg·hm-2·a-1,N60;90 kg·hm-2·a-1,N90)下施加3种不同强度(0 t·hm-2,BC0;20 t·hm-2,BC20;40 t·hm-2,BC40)生物质炭处理后2龄毛竹新老叶片光合及叶绿素荧光特性的变化。结果表明:氮沉降和生物质炭均促进了毛竹新老叶的最大净光合速率(Pmax),气孔导度(Gs)和蒸腾速率(Tr),生物质炭同时提高了老叶实际量子产量[Y(Ⅱ)]和PSⅡ潜在活性(Fv/F0)。与不施加生物质炭相比(BC0),N30下施加20 t·hm-2生物质炭的老叶及N60下施加20 t·hm-2生物质炭(BC20)的新老叶叶色值显著降低;N60处理下施加生物质炭,毛竹新老叶的最大光化学效率(Fv/Fm),Fv/Fo和Y(Ⅱ)均提高,而N90处理下施加生物质炭,毛竹新老叶的Fv/Fm和Fv/Fo均降低。由此认为:氮沉降条件下施加生物质炭有利于毛竹新老叶片的光合固碳能力;大气氮沉降背景下,施加生物质炭有利于提高毛竹生产力。
2019, 36(4): 713-722.
doi:10.11833/j.issn.2095-0756.2019.04.011
摘要:
基于SAS PROC MIXED的印楝Azadirachta indica品种印楝素质量分数的稳定性,探索建立高效、科学的印楝品种印楝素质量分数稳定性的分析方法,探究稳定性类型和机制。在元阳、元江、元谋,7个印楝品种、单株小区、三重复、完全随机区组、多系受粉,运用HPLC技术分析种子印楝素组分质量分数,基于SAS软件PROC MIXED程序的Stability Variance,Finlay-Wilkinson,Eberhart-Russell,AMMI-1和Environmental Variance 5种模型,进行品种种子印楝素质量分数稳定性参数估计、品种效应差异性检验和稳定性参数寻优,用Akaike信息量准则(cAIC)评价和选择最佳模型,推断稳定性类型和机制。结果表明:5种模型中Finlay-Wilkinson和AMMI-1模型的品种印楝素A和印楝素B质量分数的cAIC值最小,均分别为-17.3和-5.8;7个品种的印楝素A和印楝素B质量分数的稳定性参数大小基本一致,稳定性排序分别为Wx0423 > Wx0416 > Dhg0507 >平均木(ck)> At0515 > Ld0505 > Ww0401和平均木(ck)> Wx0416 > Wx0423 > Dhg0507 > Ld0505 > Ww0401 > At0515;品种印楝素A和印楝素B质量分数的品种效应差异显著性分别为极显著(P< 0.01)和显著(P< 0.05),证明品种印楝素A和印楝素B的稳定性随环境条件的变化会发生可预测的改变即动态稳定性,其遗传机制受遗传控制。Finlay-Wilkinson和AMMI-1适于印楝品种种子印楝素质量分数稳定性分析,而Stability Variance,Eberhart-Russell,Environmental Variance模型并不适用;品种印楝素A和印楝素B质量分数的稳定性均为动态稳定性,稳定性绝大部分依赖于个体缓冲性。多种模型分析基础上的稳定性综合评估更高效更科学。
基于SAS PROC MIXED的印楝Azadirachta indica品种印楝素质量分数的稳定性,探索建立高效、科学的印楝品种印楝素质量分数稳定性的分析方法,探究稳定性类型和机制。在元阳、元江、元谋,7个印楝品种、单株小区、三重复、完全随机区组、多系受粉,运用HPLC技术分析种子印楝素组分质量分数,基于SAS软件PROC MIXED程序的Stability Variance,Finlay-Wilkinson,Eberhart-Russell,AMMI-1和Environmental Variance 5种模型,进行品种种子印楝素质量分数稳定性参数估计、品种效应差异性检验和稳定性参数寻优,用Akaike信息量准则(cAIC)评价和选择最佳模型,推断稳定性类型和机制。结果表明:5种模型中Finlay-Wilkinson和AMMI-1模型的品种印楝素A和印楝素B质量分数的cAIC值最小,均分别为-17.3和-5.8;7个品种的印楝素A和印楝素B质量分数的稳定性参数大小基本一致,稳定性排序分别为Wx0423 > Wx0416 > Dhg0507 >平均木(ck)> At0515 > Ld0505 > Ww0401和平均木(ck)> Wx0416 > Wx0423 > Dhg0507 > Ld0505 > Ww0401 > At0515;品种印楝素A和印楝素B质量分数的品种效应差异显著性分别为极显著(P< 0.01)和显著(P< 0.05),证明品种印楝素A和印楝素B的稳定性随环境条件的变化会发生可预测的改变即动态稳定性,其遗传机制受遗传控制。Finlay-Wilkinson和AMMI-1适于印楝品种种子印楝素质量分数稳定性分析,而Stability Variance,Eberhart-Russell,Environmental Variance模型并不适用;品种印楝素A和印楝素B质量分数的稳定性均为动态稳定性,稳定性绝大部分依赖于个体缓冲性。多种模型分析基础上的稳定性综合评估更高效更科学。
2019, 36(4): 723-732.
doi:10.11833/j.issn.2095-0756.2019.04.012
摘要:
为科学合理地保护和利用浙江省野生樱花资源,挖掘其优良性状,以野生樱花种质资源为研究材料,对枝干、叶片的50个形态学性状进行测定,采用方差分析、主成分分析等方法研究其种间及种内各性状的变异,探明不同性状间的相关性。结果表明:①除株高外,其余17个数值型性状在8个种(变种)间差异显著(P< 0.05),其中16个性状为极显著(P< 0.01)。各性状在种间的变异系数为14.05%~64.15%,其中,叶长的种间变异系数最小,胸径的最大。叶片性状中托叶长、叶面积、托叶宽、叶柄/叶片长、叶柄长的种间变异系数均大于30%;除分枝角度外,其他枝干性状的变异系数均大于30 %;大部分性状的种内变异小于种间变异。②二元及多态性状的平均多样性指数为0.03~1.28,其中,叶形、幼叶颜色、成叶反面颜色、嫩枝、小枝和老枝颜色7个性状的平均多样性指数均在0.95以上。③叶片、枝干各性状间彼此相关,利用主成分分析将数值型性状和7个多样性指数较高的多态性状综合为8个主成分,其累计贡献率可达76.85 %。④根据主成分值将91份樱花种质资源分为5大类,分别为大叶早樱Cerasus subhirtella类,华中樱C. conradinae类,迎春樱C. discoidea类,尾叶樱C. dielsiana和山樱花C. serrulata类,其中2个变种也分别聚在了相应的种内,而浙闽樱C. schneideriana并没有成为独立的一类。研究认为:野生樱花种间及种内各性状的变异幅度大,差异显著,多样性丰富,具有较大的遗传改良潜力;主成分分析的方法在枝干、叶片性状分析中是可行的,可提高筛选效率。
为科学合理地保护和利用浙江省野生樱花资源,挖掘其优良性状,以野生樱花种质资源为研究材料,对枝干、叶片的50个形态学性状进行测定,采用方差分析、主成分分析等方法研究其种间及种内各性状的变异,探明不同性状间的相关性。结果表明:①除株高外,其余17个数值型性状在8个种(变种)间差异显著(P< 0.05),其中16个性状为极显著(P< 0.01)。各性状在种间的变异系数为14.05%~64.15%,其中,叶长的种间变异系数最小,胸径的最大。叶片性状中托叶长、叶面积、托叶宽、叶柄/叶片长、叶柄长的种间变异系数均大于30%;除分枝角度外,其他枝干性状的变异系数均大于30 %;大部分性状的种内变异小于种间变异。②二元及多态性状的平均多样性指数为0.03~1.28,其中,叶形、幼叶颜色、成叶反面颜色、嫩枝、小枝和老枝颜色7个性状的平均多样性指数均在0.95以上。③叶片、枝干各性状间彼此相关,利用主成分分析将数值型性状和7个多样性指数较高的多态性状综合为8个主成分,其累计贡献率可达76.85 %。④根据主成分值将91份樱花种质资源分为5大类,分别为大叶早樱Cerasus subhirtella类,华中樱C. conradinae类,迎春樱C. discoidea类,尾叶樱C. dielsiana和山樱花C. serrulata类,其中2个变种也分别聚在了相应的种内,而浙闽樱C. schneideriana并没有成为独立的一类。研究认为:野生樱花种间及种内各性状的变异幅度大,差异显著,多样性丰富,具有较大的遗传改良潜力;主成分分析的方法在枝干、叶片性状分析中是可行的,可提高筛选效率。
2019, 36(4): 733-740.
doi:10.11833/j.issn.2095-0756.2019.04.013
摘要:
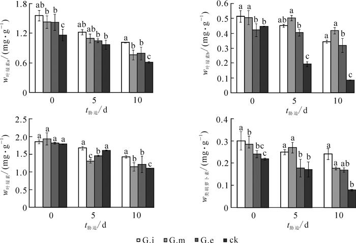
为研究丛枝菌根真菌对杜鹃花耐热性的影响,以杜鹃花品种‘笔止’Rhododendron‘Bi Zhi’为试验材料,利用人工气候法,研究根内球囊霉Glimus intraradices(Gi),摩西球囊霉Glomus mosseae(Gm)和幼套球囊霉Glomus etunicatum(Ge)等3种丛枝菌根真菌(arbuscular mycorrhizal fungi,AMF)在高温胁迫下对杜鹃花幼苗生理生化指标的影响,比较高温胁迫下接种前后杜鹃花叶片解剖结构中栅栏组织厚度、海绵组织厚度、栅栏海绵组织比的差异,筛选出最佳AMF。结果表明:高温胁迫下,接种AMF不仅延缓了叶片的可溶性糖、可溶性蛋白质、游离脯氨酸和叶绿素质量分数的下降,并且使细胞膜透性和丙二醛摩尔质量分数保持相对较低的水平。此外,接种AMF后杜鹃花叶片解剖结构受损较轻,栅栏海绵组织比明显提高。根据平均隶属函数度对AMF提高杜鹃花的耐热性进行评价,其从强到弱排序为Gi,Gm和Ge,其中接种Gi的效果最为显著。因此,AMF能在一定程度上提高杜鹃花品种‘笔止’的耐热性。
为研究丛枝菌根真菌对杜鹃花耐热性的影响,以杜鹃花品种‘笔止’Rhododendron‘Bi Zhi’为试验材料,利用人工气候法,研究根内球囊霉Glimus intraradices(Gi),摩西球囊霉Glomus mosseae(Gm)和幼套球囊霉Glomus etunicatum(Ge)等3种丛枝菌根真菌(arbuscular mycorrhizal fungi,AMF)在高温胁迫下对杜鹃花幼苗生理生化指标的影响,比较高温胁迫下接种前后杜鹃花叶片解剖结构中栅栏组织厚度、海绵组织厚度、栅栏海绵组织比的差异,筛选出最佳AMF。结果表明:高温胁迫下,接种AMF不仅延缓了叶片的可溶性糖、可溶性蛋白质、游离脯氨酸和叶绿素质量分数的下降,并且使细胞膜透性和丙二醛摩尔质量分数保持相对较低的水平。此外,接种AMF后杜鹃花叶片解剖结构受损较轻,栅栏海绵组织比明显提高。根据平均隶属函数度对AMF提高杜鹃花的耐热性进行评价,其从强到弱排序为Gi,Gm和Ge,其中接种Gi的效果最为显著。因此,AMF能在一定程度上提高杜鹃花品种‘笔止’的耐热性。
2019, 36(4): 741-748.
doi:10.11833/j.issn.2095-0756.2019.04.014
摘要:
森林立地条件影响着林木的生长。为了充分挖掘立地因子与林分生长之间的内在联系,以杭州市临安区森林资源动态监测数据为基础,以杉木Cunninghamia lanceolata林为研究对象,运用差分方程法构建了基于Richard理论方程的地位指数模型;利用Apriori算法进行立地因子和林分生长因子的关联规则挖掘,得到175条置信度在80%以上、支持度在10%以上的因子关联规则,并从中提取了20条“林分因子-立地因子”规则。结果表明:影响临安区杉木用材林立地质量的主要因子是海拔、坡位、坡向、坡度级、土壤类型、土壤质地、土层厚度、腐殖质层厚度、林下植被种类和林下植被覆盖度,各类规则揭示了杉木林分立地因子和立地质量、立地因子和林分生长因子,林分因子和林龄之间存在的变化规律以及隐含的关联关系。
森林立地条件影响着林木的生长。为了充分挖掘立地因子与林分生长之间的内在联系,以杭州市临安区森林资源动态监测数据为基础,以杉木Cunninghamia lanceolata林为研究对象,运用差分方程法构建了基于Richard理论方程的地位指数模型;利用Apriori算法进行立地因子和林分生长因子的关联规则挖掘,得到175条置信度在80%以上、支持度在10%以上的因子关联规则,并从中提取了20条“林分因子-立地因子”规则。结果表明:影响临安区杉木用材林立地质量的主要因子是海拔、坡位、坡向、坡度级、土壤类型、土壤质地、土层厚度、腐殖质层厚度、林下植被种类和林下植被覆盖度,各类规则揭示了杉木林分立地因子和立地质量、立地因子和林分生长因子,林分因子和林龄之间存在的变化规律以及隐含的关联关系。
2019, 36(4): 749-756.
doi:10.11833/j.issn.2095-0756.2019.04.015
摘要:
林分空间结构是描述林分结构极其变化的重要指标,是森林经营与管理成功的标志。利用随机抽样方法在黔中马尾松Pinus massoniana可持续经营管理试点(安顺市平坝区)设置100 m×100 m马尾松近熟林固定样地,采用10 m×10 m网格调查每株林木的树高、胸径和坐标数据,主要以混交度、大小比数和角尺度的一元和二元分布研究马尾松林的空间结构特征。结果表明:①该林分中马尾松在株数和断面积比例上占明显优势,种内竞争对马尾松生长影响很大,整个林分以零度混交为主,空间异质性不高;②在整个林分中,大部分林木处于随机分布,胸径差异不显著,伴生树种主要空间分布格局为集聚分布;③模拟采伐有利于林分空间结构的调控,改善林分空间分布格局,为森林群落的正向演替以及优势种群的健康生长提供了有利空间条件。
林分空间结构是描述林分结构极其变化的重要指标,是森林经营与管理成功的标志。利用随机抽样方法在黔中马尾松Pinus massoniana可持续经营管理试点(安顺市平坝区)设置100 m×100 m马尾松近熟林固定样地,采用10 m×10 m网格调查每株林木的树高、胸径和坐标数据,主要以混交度、大小比数和角尺度的一元和二元分布研究马尾松林的空间结构特征。结果表明:①该林分中马尾松在株数和断面积比例上占明显优势,种内竞争对马尾松生长影响很大,整个林分以零度混交为主,空间异质性不高;②在整个林分中,大部分林木处于随机分布,胸径差异不显著,伴生树种主要空间分布格局为集聚分布;③模拟采伐有利于林分空间结构的调控,改善林分空间分布格局,为森林群落的正向演替以及优势种群的健康生长提供了有利空间条件。
2019, 36(4): 757-763.
doi:10.11833/j.issn.2095-0756.2019.04.016
摘要:
胸径是立木测定的基本因子,自动获取胸径数据是准确高效计算森林蓄积量和生物量的关键。以银杏Ginkgo biloba为研究对象,通过无人机获得影像数据,利用运动恢复结构(SFM)方法生成数字表面模型和正射影像图,进而提取单株银杏的树冠面积(Ac),冠幅(Wc)及树高(H)。3个参数分别与胸径(DBH)建立一元回归模型(Ac-DBH,Wc-DBH,H-DBH),二元回归模型(Ac&Wc-DBH,Ac&H-DBH,Wc&H-DBH)和三元回归模型(Ac&Wc&H-DBH)。52组拟合样本的结果显示:Ac&Wc&H-DBH模型的决定系数(R2)最高为0.825 0,均方根误差(ERMS)最小为0.959 1。19组检测样本的结果显示:Ac&Wc&H-DBH模型反演的胸径值误差率为4.20%,小于A类森林资源胸径因子允许的误差值(5%)。研究结果表明:通过无人机采集树冠面积、冠幅和树高3个参数,可计算得到较高精度的胸径值。
胸径是立木测定的基本因子,自动获取胸径数据是准确高效计算森林蓄积量和生物量的关键。以银杏Ginkgo biloba为研究对象,通过无人机获得影像数据,利用运动恢复结构(SFM)方法生成数字表面模型和正射影像图,进而提取单株银杏的树冠面积(Ac),冠幅(Wc)及树高(H)。3个参数分别与胸径(DBH)建立一元回归模型(Ac-DBH,Wc-DBH,H-DBH),二元回归模型(Ac&Wc-DBH,Ac&H-DBH,Wc&H-DBH)和三元回归模型(Ac&Wc&H-DBH)。52组拟合样本的结果显示:Ac&Wc&H-DBH模型的决定系数(R2)最高为0.825 0,均方根误差(ERMS)最小为0.959 1。19组检测样本的结果显示:Ac&Wc&H-DBH模型反演的胸径值误差率为4.20%,小于A类森林资源胸径因子允许的误差值(5%)。研究结果表明:通过无人机采集树冠面积、冠幅和树高3个参数,可计算得到较高精度的胸径值。
2019, 36(4): 764-773.
doi:10.11833/j.issn.2095-0756.2019.04.017
摘要:
闽楠Phoebe bournei为中国特有树种,是国家Ⅱ级重点保护植物,具有重要的经济价值和生态价值。以江西安福县闽楠天然次生林为研究对象,通过标准地及生物量调查获取基础数据,分析闽楠生物量分配特征,并基于非线性度量误差法建立相容性生物量模型。结果表明:①不同枝径级(2,4,6,8 cm)的一级枝、次级枝、叶生物量占枝条生物量的比值均差异显著(P< 0.05),枝条生物量集中于树冠下层,且显著高于上层生物量(P< 0.05)。②各器官生物量占整株生物量的比值从大到小依次为树干、树根、树枝、树叶,不同胸径级(14,18,22,26,30 cm及以上)各器官生物量大小差异显著(P< 0.05),不同胸径级树根生物量占整株生物量的比值差异显著(P< 0.05),其余各器官生物量占比均差异不显著(P> 0.05)。③相容性生物量模型对全株、地上、根、树冠、干、枝和叶的拟合精度分别为91.8%,91.0%,90.2%,85.1%,91.6%,86.8%和71.0%,拟合效果较好。
闽楠Phoebe bournei为中国特有树种,是国家Ⅱ级重点保护植物,具有重要的经济价值和生态价值。以江西安福县闽楠天然次生林为研究对象,通过标准地及生物量调查获取基础数据,分析闽楠生物量分配特征,并基于非线性度量误差法建立相容性生物量模型。结果表明:①不同枝径级(2,4,6,8 cm)的一级枝、次级枝、叶生物量占枝条生物量的比值均差异显著(P< 0.05),枝条生物量集中于树冠下层,且显著高于上层生物量(P< 0.05)。②各器官生物量占整株生物量的比值从大到小依次为树干、树根、树枝、树叶,不同胸径级(14,18,22,26,30 cm及以上)各器官生物量大小差异显著(P< 0.05),不同胸径级树根生物量占整株生物量的比值差异显著(P< 0.05),其余各器官生物量占比均差异不显著(P> 0.05)。③相容性生物量模型对全株、地上、根、树冠、干、枝和叶的拟合精度分别为91.8%,91.0%,90.2%,85.1%,91.6%,86.8%和71.0%,拟合效果较好。
2019, 36(4): 774-782.
doi:10.11833/j.issn.2095-0756.2019.04.018
摘要:
为了解盐城海岸带生态系统服务价值(ESV)的时空变异规律,基于格网尺度对盐城海岸带1997,2007和2014年3个时期的ESV进行了估算,并结合空间自相关分析探讨研究区ESV时空分异规律。结果表明:近20 a来盐城海岸带生态系统服务价值总量呈不断减少的趋势,由1997年的134.33亿元减少至2014年的97.13亿元,自然湿地芦苇Phragmites australis沼泽、碱蓬Suaeda salsa沼泽、河流面积的减少是引起生态系统服务价值变化的主要原因。研究期间ESV在空间上发生了显著变化。ESV高区(ESV指数VESK> 7 463.04万元)的面积和空间分布显著减少,ESV较低区(796.67万元 <VESK≤3 014.78万元)的面积和空间分布表现出逐渐扩大的格局。自相关分析表明:ESV具有显著的正相关关系,呈集聚分布特征且总体上呈不断下降趋势。研究区1997-2014年敏感性指数均小于1,表明研究结果具有可信性。在未来生态系统修复和管理中要权衡与协同不同生态系统类型之间的相互关系,加大对芦苇沼泽、碱蓬沼泽、河流等天然湿地的保护,合理规划滩涂湿地的利用方式,实现沿海湿地系统的可持续发展与利用。
为了解盐城海岸带生态系统服务价值(ESV)的时空变异规律,基于格网尺度对盐城海岸带1997,2007和2014年3个时期的ESV进行了估算,并结合空间自相关分析探讨研究区ESV时空分异规律。结果表明:近20 a来盐城海岸带生态系统服务价值总量呈不断减少的趋势,由1997年的134.33亿元减少至2014年的97.13亿元,自然湿地芦苇Phragmites australis沼泽、碱蓬Suaeda salsa沼泽、河流面积的减少是引起生态系统服务价值变化的主要原因。研究期间ESV在空间上发生了显著变化。ESV高区(ESV指数VESK> 7 463.04万元)的面积和空间分布显著减少,ESV较低区(796.67万元 <VESK≤3 014.78万元)的面积和空间分布表现出逐渐扩大的格局。自相关分析表明:ESV具有显著的正相关关系,呈集聚分布特征且总体上呈不断下降趋势。研究区1997-2014年敏感性指数均小于1,表明研究结果具有可信性。在未来生态系统修复和管理中要权衡与协同不同生态系统类型之间的相互关系,加大对芦苇沼泽、碱蓬沼泽、河流等天然湿地的保护,合理规划滩涂湿地的利用方式,实现沿海湿地系统的可持续发展与利用。
2019, 36(4): 783-792.
doi:10.11833/j.issn.2095-0756.2019.04.019
摘要:
随着城市化水平的提高,人们对于健康舒适的公共空间的要求也日益增加。为了更加科学地从空间结构的角度对微气候环境提出改善策略,运用ENVI-met模拟软件,以理想状态下的纯乔木林环境为研究对象,针对南京市的气候条件,分析5种常见的乔木树冠形态(圆柱形、圆球形、倒卵形、三角形和倒三角形)和3种平面布局形式(规则散点式、集中块状式、自然集群式)对微气候环境的温度、湿度及人体热舒适度(PMV指数)的影响。研究表明:树冠形态和布局形式对群落的降温增湿效应具有显著影响(P< 0.05)。“上大下小”型的倒卵形和倒三角形树冠的乔木群落降温增湿强度最高、人体热舒适度体验也最好。集中块状式布局的群落降温增湿强度要明显高于规则散点式和自然集群式,但自然集群式布局时人体热舒适度体验更好。
随着城市化水平的提高,人们对于健康舒适的公共空间的要求也日益增加。为了更加科学地从空间结构的角度对微气候环境提出改善策略,运用ENVI-met模拟软件,以理想状态下的纯乔木林环境为研究对象,针对南京市的气候条件,分析5种常见的乔木树冠形态(圆柱形、圆球形、倒卵形、三角形和倒三角形)和3种平面布局形式(规则散点式、集中块状式、自然集群式)对微气候环境的温度、湿度及人体热舒适度(PMV指数)的影响。研究表明:树冠形态和布局形式对群落的降温增湿效应具有显著影响(P< 0.05)。“上大下小”型的倒卵形和倒三角形树冠的乔木群落降温增湿强度最高、人体热舒适度体验也最好。集中块状式布局的群落降温增湿强度要明显高于规则散点式和自然集群式,但自然集群式布局时人体热舒适度体验更好。
2019, 36(4): 793-800.
doi:10.11833/j.issn.2095-0756.2019.04.020
摘要:
低影响开发示范区植物群落特征与物种多样性是植物群落发挥生态效益的关键,对低影响植物景观的营建与优化提升具有重要意义。以镇江市低影响开发示范区植物群落为研究对象,采用典型样方法、群落数量分析法等对样地群落植物区系、群落数量特征、群落结构因子、群落多样性进行分析。随机设置48个样地,以100 m2标准样地为主,共设样方204个。结果表明:①维管束植物共有181种,隶属于74科147属。乔木层以枫杨Pterocarya stenoptera,樟树Cinnamomum camphora,全缘叶栾树Koelreuteria integrifoliola等为优势种;灌木层以红叶石楠Photinia×fraseri,金森女贞Ligustrum japonicum‘Howardii’,金丝桃Hypericum monogynum等为优势种;草本层以狗牙根Cynodon dactylon,鸢尾Iris tectorum,麦冬Ophiopogon japonicus等为优势种。②植物群落信息主要集中在乔木性状、灌乔性状比值、灌木多样性、草本性状以及乔木多样性等5个因子的描述上。③对乔木层而言,边缘绿地的多样性指数最高;灌木层各项多样性指数表现为道路绿地>边缘绿地>节点绿地>滨水绿地。④以灌木层物种重要值为数据源进行Q型聚类,根据样地群落外貌和聚类图,可将48个样地群落划分为13个类型。综合而言,各绿地类型物种多样性均表现出灌木>乔木>草本的一致趋势,物种丰富度总体偏低,群落内部结构相对单一。
低影响开发示范区植物群落特征与物种多样性是植物群落发挥生态效益的关键,对低影响植物景观的营建与优化提升具有重要意义。以镇江市低影响开发示范区植物群落为研究对象,采用典型样方法、群落数量分析法等对样地群落植物区系、群落数量特征、群落结构因子、群落多样性进行分析。随机设置48个样地,以100 m2标准样地为主,共设样方204个。结果表明:①维管束植物共有181种,隶属于74科147属。乔木层以枫杨Pterocarya stenoptera,樟树Cinnamomum camphora,全缘叶栾树Koelreuteria integrifoliola等为优势种;灌木层以红叶石楠Photinia×fraseri,金森女贞Ligustrum japonicum‘Howardii’,金丝桃Hypericum monogynum等为优势种;草本层以狗牙根Cynodon dactylon,鸢尾Iris tectorum,麦冬Ophiopogon japonicus等为优势种。②植物群落信息主要集中在乔木性状、灌乔性状比值、灌木多样性、草本性状以及乔木多样性等5个因子的描述上。③对乔木层而言,边缘绿地的多样性指数最高;灌木层各项多样性指数表现为道路绿地>边缘绿地>节点绿地>滨水绿地。④以灌木层物种重要值为数据源进行Q型聚类,根据样地群落外貌和聚类图,可将48个样地群落划分为13个类型。综合而言,各绿地类型物种多样性均表现出灌木>乔木>草本的一致趋势,物种丰富度总体偏低,群落内部结构相对单一。
2019, 36(4): 801-809.
doi:10.11833/j.issn.2095-0756.2019.04.021
摘要:
为了研究不同水生植物对煤矿废水的适应性和净化情况,以水麦冬Triglochin palustre,三棱水葱Scirpus triqueter,石菖蒲Acorus tatarinowii,香蒲Typha orientalis,芦苇Phragmites communis5种水生植物为材料,用塑料水培箱模拟人工湿地,通过测定净光合速率和蒸腾速率,比较分析煤矿废水和清水对照2个处理下植物的光合特性和生长情况。并设置煤矿废水处理组、废水静置(ck1)和河沙+废水静置(ck2),每月测定其水质,研究5种水生植物对煤矿废水中化学需氧量、总磷和总氮的去除效果。结果表明:煤矿废水处理下水麦冬、石菖蒲、三棱水葱的叶片净光合速率和蒸腾速率均显著大于清水对照(P< 0.05),香蒲、芦苇的则小于清水对照;煤矿废水处理下水麦冬、三棱水葱的叶绿素相对含量、株高、生物量增加量均显著大于清水对照(P< 0.05),香蒲、石菖蒲、芦苇的则小于清水对照,说明水麦冬和三棱水葱对煤矿废水的适应性较强。5种植物对煤矿废水的净化效果明显,化学需氧量质量浓度从363 mg·L-1降低到8~18 mg·L-1,总磷质量浓度从2.07 mg·L-1降低到0.06~0.17 mg·L-1,总氮质量浓度从20.00 mg·L-1降低到0.23~0.87 mg·L-1。综合考虑去除效果和去除速率,香蒲、芦苇和三棱水葱好于水麦冬和石菖蒲。
为了研究不同水生植物对煤矿废水的适应性和净化情况,以水麦冬Triglochin palustre,三棱水葱Scirpus triqueter,石菖蒲Acorus tatarinowii,香蒲Typha orientalis,芦苇Phragmites communis5种水生植物为材料,用塑料水培箱模拟人工湿地,通过测定净光合速率和蒸腾速率,比较分析煤矿废水和清水对照2个处理下植物的光合特性和生长情况。并设置煤矿废水处理组、废水静置(ck1)和河沙+废水静置(ck2),每月测定其水质,研究5种水生植物对煤矿废水中化学需氧量、总磷和总氮的去除效果。结果表明:煤矿废水处理下水麦冬、石菖蒲、三棱水葱的叶片净光合速率和蒸腾速率均显著大于清水对照(P< 0.05),香蒲、芦苇的则小于清水对照;煤矿废水处理下水麦冬、三棱水葱的叶绿素相对含量、株高、生物量增加量均显著大于清水对照(P< 0.05),香蒲、石菖蒲、芦苇的则小于清水对照,说明水麦冬和三棱水葱对煤矿废水的适应性较强。5种植物对煤矿废水的净化效果明显,化学需氧量质量浓度从363 mg·L-1降低到8~18 mg·L-1,总磷质量浓度从2.07 mg·L-1降低到0.06~0.17 mg·L-1,总氮质量浓度从20.00 mg·L-1降低到0.23~0.87 mg·L-1。综合考虑去除效果和去除速率,香蒲、芦苇和三棱水葱好于水麦冬和石菖蒲。
2019, 36(4): 810-817.
doi:10.11833/j.issn.2095-0756.2019.04.022
摘要:
后G20时期(2016年9月至2017年12月),臭氧成为杭州夏季首要大气污染物,可吸入颗粒物(PM10)成为杭州冬季首要大气污染物。利用杭州市环境检测朝晖站和环境监测下沙站空气质量数据观测值分析55种挥发性有机化合物(VOC)的臭氧形成潜力,并使用美国国家环境保护局研发的第3代大气质量预估模型(WRF-CMAQ)对杭州市中心PM10的污染数值进行模拟分析,提出了后G20时期PM10和臭氧的最佳管控方案。结果显示:在后G20时期杭州市中心和城郊,芳香烃所占臭氧形成潜力比例最高,其次为烯烃和烷烃,最后为乙炔。在市区和城郊,乙烯、间/对二甲苯、甲苯、丙烯和乙苯依次为生成臭氧最主要的5种挥发性有机化合物,因此管控这5种挥发性有机化合物能最大程度的减少臭氧质量浓度。2017年杭州市中心春夏秋冬四季的PM10中分别有50%,32%,48%和45%源于杭州市以外污染源的长距离跨地域传输。其中,春秋冬三季通过长距离传输来到杭州市区的PM10主要源于市区的北方,夏季则主要源于市区的西南方。2017年,杭州市区的交通源、工业源、生活源与农业源对本地排放PM10的贡献率分别为62.6%,27.8%,7.3%和2.3%。当杭州本地的工业源和交通源在2016年的基础上分别减排15%和5%时,杭州市中心的PM10年均质量浓度可低于70 μg·m-3,达到二类区的标准。
后G20时期(2016年9月至2017年12月),臭氧成为杭州夏季首要大气污染物,可吸入颗粒物(PM10)成为杭州冬季首要大气污染物。利用杭州市环境检测朝晖站和环境监测下沙站空气质量数据观测值分析55种挥发性有机化合物(VOC)的臭氧形成潜力,并使用美国国家环境保护局研发的第3代大气质量预估模型(WRF-CMAQ)对杭州市中心PM10的污染数值进行模拟分析,提出了后G20时期PM10和臭氧的最佳管控方案。结果显示:在后G20时期杭州市中心和城郊,芳香烃所占臭氧形成潜力比例最高,其次为烯烃和烷烃,最后为乙炔。在市区和城郊,乙烯、间/对二甲苯、甲苯、丙烯和乙苯依次为生成臭氧最主要的5种挥发性有机化合物,因此管控这5种挥发性有机化合物能最大程度的减少臭氧质量浓度。2017年杭州市中心春夏秋冬四季的PM10中分别有50%,32%,48%和45%源于杭州市以外污染源的长距离跨地域传输。其中,春秋冬三季通过长距离传输来到杭州市区的PM10主要源于市区的北方,夏季则主要源于市区的西南方。2017年,杭州市区的交通源、工业源、生活源与农业源对本地排放PM10的贡献率分别为62.6%,27.8%,7.3%和2.3%。当杭州本地的工业源和交通源在2016年的基础上分别减排15%和5%时,杭州市中心的PM10年均质量浓度可低于70 μg·m-3,达到二类区的标准。
2019, 36(4): 818-827.
doi:10.11833/j.issn.2095-0756.2019.04.023
摘要:
森林土壤有机碳库在全球碳循环及减缓气候变暖中发挥着重要作用。施肥、火烧、采伐、林下植被管理、覆盖等营林措施改变了森林生态系统的生产力,显著影响了森林土壤的碳输入和碳输出。综述了主要营林措施对森林土壤有机碳库的影响及其机制,并探讨今后的研究重点。总体而言,施用有机肥、有机无机肥配施及生物质炭添加均可提高土壤有机碳含量。氮肥对土壤有机碳含量的影响存在增加、降低和无影响3种结果;火烧对土壤有机碳的影响取决于火烧后恢复时间、火烧温度、火烧强度、土层深度等因素;皆伐通过改变土壤温度、含水量、有机碳来源等因素,导致森林土壤有机碳含量下降;而间伐对土壤有机碳的影响则与间伐强度有关;去除林下植被及凋落物加快了土壤有机碳的分解,但林下植被的替代与添加则会提高土壤有机碳含量;覆盖提高了土壤有机碳含量,但导致有机碳稳定性下降。随着研究方法和观测手段的不断发展,今后应深入研究营林措施对土壤碳形态、结构和转化过程的影响;同时,更多关注人为管理和气候变化对森林土壤碳库产生的叠加效应。
森林土壤有机碳库在全球碳循环及减缓气候变暖中发挥着重要作用。施肥、火烧、采伐、林下植被管理、覆盖等营林措施改变了森林生态系统的生产力,显著影响了森林土壤的碳输入和碳输出。综述了主要营林措施对森林土壤有机碳库的影响及其机制,并探讨今后的研究重点。总体而言,施用有机肥、有机无机肥配施及生物质炭添加均可提高土壤有机碳含量。氮肥对土壤有机碳含量的影响存在增加、降低和无影响3种结果;火烧对土壤有机碳的影响取决于火烧后恢复时间、火烧温度、火烧强度、土层深度等因素;皆伐通过改变土壤温度、含水量、有机碳来源等因素,导致森林土壤有机碳含量下降;而间伐对土壤有机碳的影响则与间伐强度有关;去除林下植被及凋落物加快了土壤有机碳的分解,但林下植被的替代与添加则会提高土壤有机碳含量;覆盖提高了土壤有机碳含量,但导致有机碳稳定性下降。随着研究方法和观测手段的不断发展,今后应深入研究营林措施对土壤碳形态、结构和转化过程的影响;同时,更多关注人为管理和气候变化对森林土壤碳库产生的叠加效应。
2019, 36(4): 828-834.
doi:10.11833/j.issn.2095-0756.2019.04.024
摘要:
立地指数表是评价林木生长状况以及林分生产力的重要工具。为了编制西南桦Betula alnoides人工林立地指数表,于广西大青山林区各种立地设置49块西南桦人工林样地进行生长调查,选取平均优势木1株·样地-1进行树干解析,选用Richards,Weibull,Korf等9个常用方程拟合816对优势高-年龄数据,通过统计指标决定系数(R2)、平均绝对误差(EAMR)、平均相对误差(ERMR)和均方根误差(ERMSE)的对比分析筛选导向曲线,依据49株优势木的生长过程确定基准年龄和指数级距,应用标准差调整法编制立地指数表,并对其进行落点、拟合显著性和预报精度检验。结果表明:9个模型中,Richards方程的拟合效果最优,其R2最大,EAMR,ERMR和ERMSE最小,因而作为导向曲线;西南桦优势高连年生长量和优势高变异系数在15 a后基本稳定,因此确定15 a为基准年龄;基准年龄时优势高变动范围为15.2~25.8 m,考虑到西南桦较为速生,确定2.0 m为指数级距,据此编制了西南桦人工林立地指数表。落点检验表明所编表能解释93.8%的优势木生长状况;χ2检验表明立地指数表所反映的优势高生长过程与实际生长过程无显著差异;立地指数级和林龄2个方面的误差分析得出,此表预报精度较高。本研究编制的西南桦人工林立地指数表,可应用于广西大青山及类似地区西南桦人工林的立地质量评价、生长潜力预估。
立地指数表是评价林木生长状况以及林分生产力的重要工具。为了编制西南桦Betula alnoides人工林立地指数表,于广西大青山林区各种立地设置49块西南桦人工林样地进行生长调查,选取平均优势木1株·样地-1进行树干解析,选用Richards,Weibull,Korf等9个常用方程拟合816对优势高-年龄数据,通过统计指标决定系数(R2)、平均绝对误差(EAMR)、平均相对误差(ERMR)和均方根误差(ERMSE)的对比分析筛选导向曲线,依据49株优势木的生长过程确定基准年龄和指数级距,应用标准差调整法编制立地指数表,并对其进行落点、拟合显著性和预报精度检验。结果表明:9个模型中,Richards方程的拟合效果最优,其R2最大,EAMR,ERMR和ERMSE最小,因而作为导向曲线;西南桦优势高连年生长量和优势高变异系数在15 a后基本稳定,因此确定15 a为基准年龄;基准年龄时优势高变动范围为15.2~25.8 m,考虑到西南桦较为速生,确定2.0 m为指数级距,据此编制了西南桦人工林立地指数表。落点检验表明所编表能解释93.8%的优势木生长状况;χ2检验表明立地指数表所反映的优势高生长过程与实际生长过程无显著差异;立地指数级和林龄2个方面的误差分析得出,此表预报精度较高。本研究编制的西南桦人工林立地指数表,可应用于广西大青山及类似地区西南桦人工林的立地质量评价、生长潜力预估。
2019, 36(4): 835-840.
doi:10.11833/j.issn.2095-0756.2019.04.025
摘要:
为探讨利用化感物质香豆素对入侵植物节节麦Aegilops tauschii进行生物防控的可行性,采用培养皿生物检测法,研究了50,100,150 mg·L-1等3种质量浓度香豆素溶液对其种子萌发及幼苗生长和生理生化指标的影响。结果表明:随质量浓度的增加,香豆素溶液显著降低了节节麦种子发芽率、发芽指数,以及幼苗苗高和根长的生长。从抑制率(RI)可知,香豆素溶液对节节麦种子萌发及幼苗生长存在质量浓度效应的抑制作用。此外,不同质量浓度香豆素溶液处理对根长的RI值均明显大于苗高,表明香豆素对节节麦幼苗根长生长的抑制作用大于苗高。幼苗生长试验中,仅50 mg·L-1溶液处理中,至第10天时相对电导率及丙二醛质量摩尔浓度较第5天时增加未达到显著水平,这可能是节节麦通过自身调节机制对香豆素造成的损伤进行积极修复的结果。而150 mg·L-1溶液处理中,至第15天时脯氨酸质量分数较第10天时增加不显著,而超氧化物歧化酶活性则呈下降趋势。表明香豆素150 mg·L-1溶液处理第15天已超出节节麦的适应承受范围。以上结果显示:150 mg·L-1香豆素溶液对节节麦种子萌发具有较强的化感抑制作用,并通过影响植株抗氧化酶系统、细胞膜透性及膜脂过氧化作用等途径调节节节麦的生长。
为探讨利用化感物质香豆素对入侵植物节节麦Aegilops tauschii进行生物防控的可行性,采用培养皿生物检测法,研究了50,100,150 mg·L-1等3种质量浓度香豆素溶液对其种子萌发及幼苗生长和生理生化指标的影响。结果表明:随质量浓度的增加,香豆素溶液显著降低了节节麦种子发芽率、发芽指数,以及幼苗苗高和根长的生长。从抑制率(RI)可知,香豆素溶液对节节麦种子萌发及幼苗生长存在质量浓度效应的抑制作用。此外,不同质量浓度香豆素溶液处理对根长的RI值均明显大于苗高,表明香豆素对节节麦幼苗根长生长的抑制作用大于苗高。幼苗生长试验中,仅50 mg·L-1溶液处理中,至第10天时相对电导率及丙二醛质量摩尔浓度较第5天时增加未达到显著水平,这可能是节节麦通过自身调节机制对香豆素造成的损伤进行积极修复的结果。而150 mg·L-1溶液处理中,至第15天时脯氨酸质量分数较第10天时增加不显著,而超氧化物歧化酶活性则呈下降趋势。表明香豆素150 mg·L-1溶液处理第15天已超出节节麦的适应承受范围。以上结果显示:150 mg·L-1香豆素溶液对节节麦种子萌发具有较强的化感抑制作用,并通过影响植株抗氧化酶系统、细胞膜透性及膜脂过氧化作用等途径调节节节麦的生长。




























