2022年 第39卷 第3期
2022, 39(3): 465-474.
doi:10.11833/j.issn.2095-0756.20210373
摘要:
目的对毛果杨
Populus trichocarpa ZHD(
PtrZHD)家族进行生物信息学以及干旱胁迫下表达特性分析,为研究
PtrZHD在干旱胁迫中的功能提供参考。
方法利用生物信息学方法从全基因组水平鉴定出毛果杨
ZHD家族全部成员,并对其进化、理化性质、基因结构、保守基序、启动子顺式作用元件和表达特性进行分析。
结果毛果杨
ZHD家族包括21个成员,可分为7个亚家族;有8对同源基因,且非同义替换率(
K
a)/同义替换率(
K
s)值远小于1。该家族成员理化性质存在差异,但其结构较为保守,均含有Motif 1;启动子区含有数量不等的激素和非生物胁迫响应元件,不同基因之间响应元件的种类存在差异。在毛果杨
PtrZHDs中,分别有1、7和13个基因在根、茎和叶组织中具有偏好性表达特征;
PtrZHD家族成员对干旱胁迫的响应具有组织和时间表达特异性,在根、茎和叶部组织中各成员的表达量不同,但随着干旱胁迫时间的增加均呈先上升后下降的趋势。
结论
PtrZHD家族基因对干旱胁迫有不同程度的响应,可调控毛果杨对干旱胁迫的应答。图6表2参27
2022, 39(3): 475-485.
doi:10.11833/j.issn.2095-0756.20210385
摘要:
目的揭示
CONSTANS-like在杜仲
Eucommia ulmoides基因组中的分布、结构特征及表达模式。
方法利用生物信息学方法,对杜仲
CONSTANS-like基因家族进行鉴定及理化性质、进化关系、基因结构、启动子元件和表达模式分析。
结果杜仲基因组中共鉴定到8个
EuCOLs基因,分别命名为
EuCOL1~
EuCOL8,氨基酸数目为315~469,理论等电点分布范围为5.10~6.47,分子量为35.21~52.65 kDa。亚细胞定位预测均定位在细胞核中,为亲水性蛋白,分布于8条染色体。系统进化分为2个亚家族(群组Ⅰ和群组 Ⅲ),分别包含2和6个EuCOLs蛋白,同一亚家族基序具有相似性。
EuCOLs基因结构简单,启动子中含有多个光周期响应元件。表达模式分析显示:
EuCOLs在杜仲叶片发育中表达水平相对较低,
EuCOL7在杜仲胶形成中表达量最高,各家族成员表达特征存在差异。蛋白互作预测显示:EuCOL7可与多个光周期响应蛋白互作。
结论杜仲
CONSTANS-like基因家族含有典型的CCT和B-box结构域,可能参与叶片发育及杜仲胶的形成。图8表1参56
2022, 39(3): 486-494.
doi:10.11833/j.issn.2095-0756.20210471
摘要:
目的鉴定毛竹
Phyllostachys edulis磷转运蛋白Ⅰ (phosphate transporter 1, PHTⅠ)家族基因,分析其表达模式。
方法利用生物信息学方法,鉴定毛竹PHTⅠ家族成员,分析基因启动子调控元件、编码蛋白的理化性质、基因结构、氨基酸保守基序、基因在染色体的位置、组织表达特异性、基因适应性进化及系统进化等。
结果毛竹中共鉴定出20个PHTⅠ家族基因 (
PePHTs),分布在10条染色体上,均定位于细胞膜。每个基因都含有1~2个内含子,
PePHTs启动子序列中包含干旱、低温等非生物胁迫以及赤霉素等激素类响应元件。毛竹PHTⅠ大部分为碱性蛋白质,分子量为48.61~76.37 kDa,理论等电点为6.84~9.30,疏水性值均大于0,都属于疏水蛋白。基因适应性进化分析显示:大多数
PePHTs的选择压力值小于0,说明多数基因受到负选择压力。转录组表达图谱表明:
PePHTs在不同组织中的表达存在差异性,说明该基因家族在毛竹生长发育过程中发挥着不同的作用。系统进化树表明:
PePHTs都聚类在第Ⅰ亚家族,并且优先和水稻
Oryza sativa聚类在同一支上。
结论PHTⅠ家族在植物吸收和转运磷的过程中扮演了重要作用。本研究结果为深入研究毛竹PHTⅠ家族基因的功能奠定了理论基础。图5表1参45
2022, 39(3): 495-504.
doi:10.11833/j.issn.2095-0756.20210433
摘要:
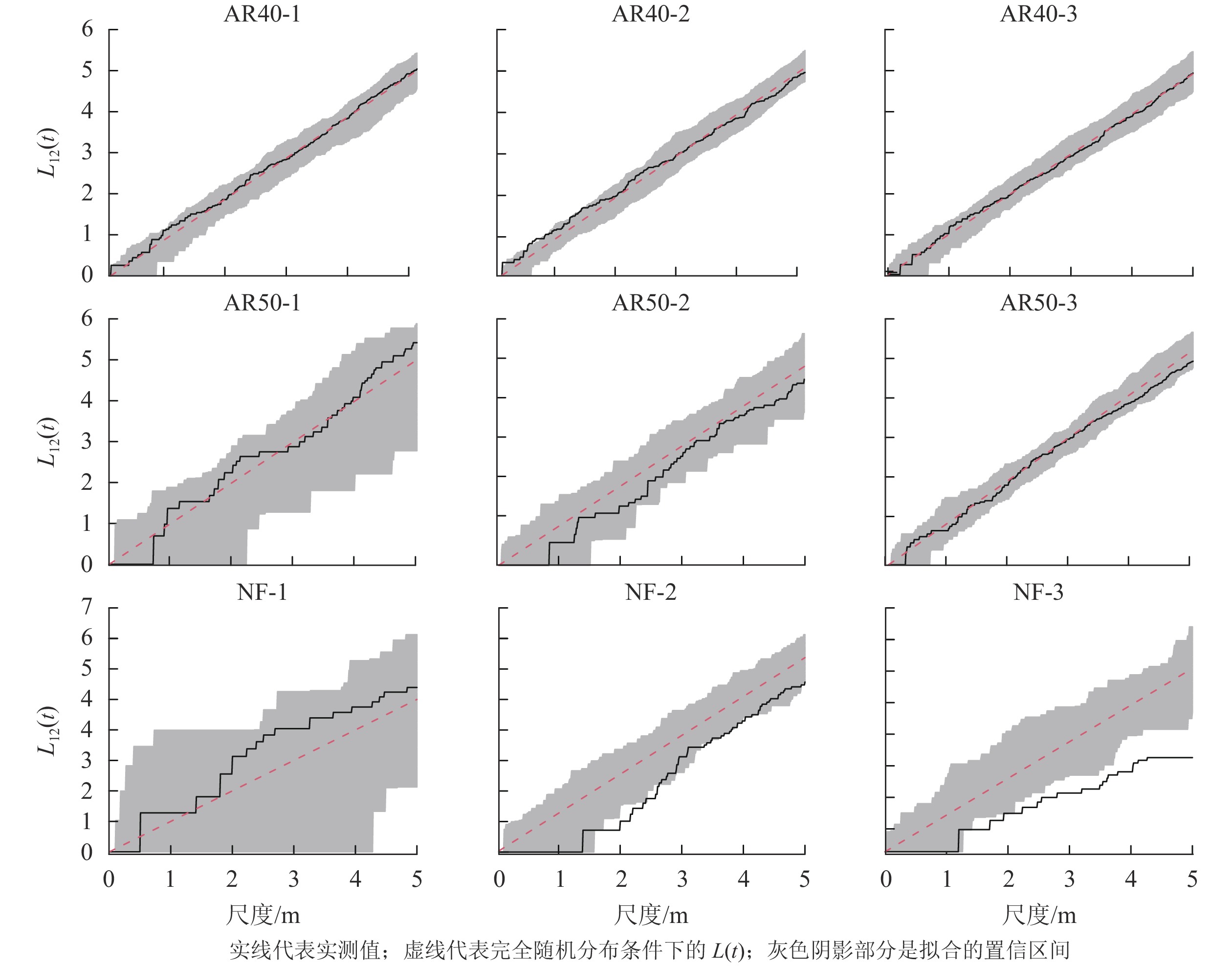
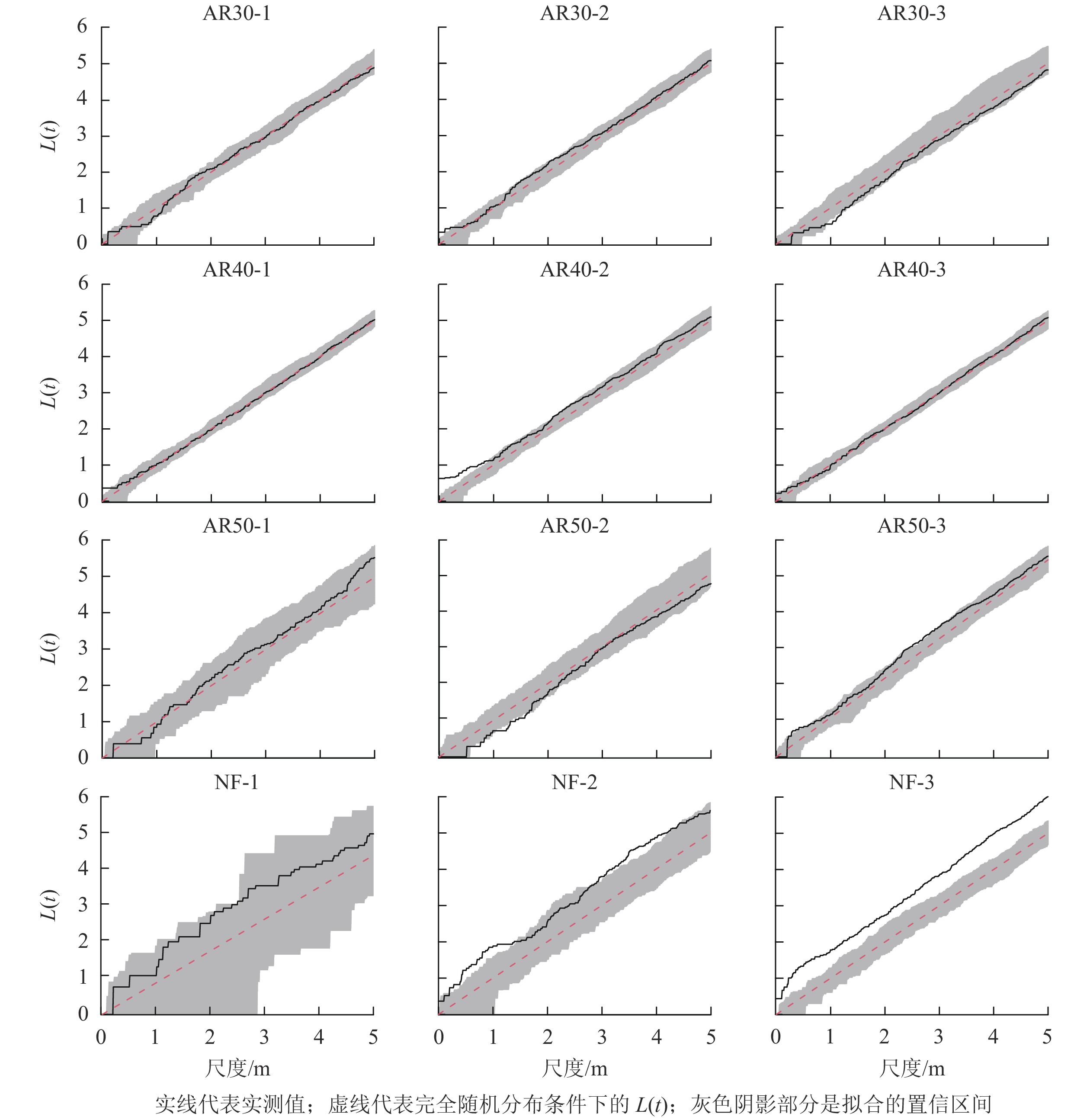
目的随着国家退耕还林工程的实施,川西云杉
Picea likiangensisvar.
rubescens人工林面积和蓄积量不断增长,已成为川西地区森林资源的重要组成部分。本研究分析道孚县川西云杉人工林与天然林活立木空间分布格局特征及种间关联性差异,以揭示人工林群落动态变化及演替规律。
方法采用典型样方法设置12块固定样地,测量每株活立木中心位置坐标、胸径、树高和冠幅等,运用点格局分析中的单变量Ripley’s
L(
t)函数和双变量Ripley’s
L
12(
t)函数分别分析人工林与天然林群落的空间分布格局和群落中树种间的空间关联性。
结果①随着恢复年限的增加,人工林群落内川西云杉种群密度呈下降趋势,而群落物种数逐渐增加;②人工林群落中活立木空间分布格局总体上表现为随机分布,而天然林内活立木空间分布以聚集分布为主;③人工林中川西云杉与其他阔叶树种无空间关联性,而天然林群落内主要树种间关联性在小尺度范围上呈不相关,在大尺度上表现为负相关。
结论经过50 a人工恢复后,川西云杉人工林与天然林在群落空间分布格局和种间关联性方面仍然存在一定的差异,生态恢复进程较慢。建议采取适当间伐与种植天然林优势树种相结合的方式,优化改造人工林结构,从而加快人工林向天然林群落演替进程。图3表1参35
2022, 39(3): 505-515.
doi:10.11833/j.issn.2095-0756.20210330
摘要:
目的研究辽宁仙人洞国家级自然保护区9个典型森林群落稳定性,探讨其主要影响因素。
方法以保护区9个典型森林群落的样地调查数据为数据源,比较各森林群落种群更新潜力、群落基本特征、物种多样性、种群生态位重叠、凋落物特性和土壤肥力差异,以此6项指标共44个因子构建群落稳定性评价体系,应用模糊数学中隶属函数值法对各森林群落稳定性状况作出评价。
结果①赤松
Pinus densiflora+麻栎
Quercus acutissima-地锦
Parthenocissus tricuspidata+青花椒
Zanthoxylum schinifolium-两型豆
Amphicarpaea edgeworthii+白花碎米荠
Cardamine leucantha群落种群更新潜力、物种多样性和土壤肥力最好,赤松-牛叠肚
Rubus crataegifolius+青花椒-矮丛薹草
Carex callitrichosvar.
nana群落生长发育基本特征平均值最高。9个群落种群生态位重叠情况相似,槲树
Q. dentata+麻栎-花木蓝
Indigofera kirilowii+榛
Corylus heterophylla-菴闾
Artemisia keiskeana+矮丛薹草群落凋落物层蓄积量和持水性最高。②9个森林群落的稳定性排名由高到低依次为赤松+麻栎-地锦+青花椒-两型豆+白花碎米荠群落、槲树+麻栎-花木蓝+榛-菴闾+矮丛薹草群落、麻栎+栓皮栎
Q. variabilis-青花椒+榛-矮丛薹草群落、赤松-三桠乌药
Lindera obtusiloba+照山白
Rhododendron micranthum-矮丛薹草群落、赤松-青花椒-矮丛薹草群落、蒙古栎
Q. mongolica+赤松-牛叠肚+照山白-矮丛薹草群落、蒙古栎-牛叠肚-矮丛薹草群落、赤松-牛叠肚+青花椒-矮丛薹草群落、槲树+赤松-榛-矮丛薹草群落。③6项森林群落稳定性评价指标中,第1主成分中种群更新潜力、物种多样性和土壤肥力的荷载系数最大。
结论辽宁仙人洞国家级自然保护区9个典型森林群落稳定性存在显著差异,其主要影响因素为森林群落种群更新潜力、物种多样性以及土壤肥力。表10参31
2022, 39(3): 516-523.
doi:10.11833/j.issn.2095-0756.20210350
摘要:
目的探讨缙云山针阔混交林与常绿阔叶林凋落物分解在酸雨过程中的特点和规律,为优化缙云山森林管理,指导林分配置提供科学依据。
方法以重庆缙云山2种典型林分为研究对象,进行4个不同酸碱度:pH 4.50(对照)、pH 4.00、pH 3.25和pH 2.50的酸雨模拟实验,结合Olson负指数衰减模型,分析针阔混交林与常绿阔叶林的凋落物分解速率并计算分解系数,定量分析模拟酸雨下2种典型林分的凋落物分解变化规律。
结果①经过0.5 a的分解,对照、pH 4.00、pH 3.25和pH 2.50处理下针阔混交林质量残留率均高于常绿阔叶林,分别高4.60%、3.78%、4.22%和5.39%。其中,对照针阔混交林凋落物损失率达到半衰期与全衰期的时间为1.62、6.98 a,常绿阔叶林为1.29和5.56 a;不同酸碱度酸雨淋溶下针阔混交林凋落物损失率达50%和95%的时间分别为1.47~2.00 和6.35~8.43 a,常绿阔叶林分别为1.23~1.50和5.33~6.48 a。②对照、pH 4.00、pH 3.25和pH 2.50各处理下针阔混交林的分解常数
k值分别为0.43、0.47、0.40 和0.35,常绿阔叶林则分别为0.54、0.56、0.51和0.46,
k值随着处理pH的降低呈下降趋势。③研究区pH 4.00的模拟酸雨一定程度上对林内凋落物的分解有促进作用;pH 2.50和pH 3.25的模拟酸雨一定程度上抑制不同林下调落物的分解。
结论重庆缙云山模拟不同酸碱度酸雨对2种典型林分的凋落物分解速率影响显著,常绿阔叶林分解速率总体高于针阔混交林,温度制约凋落物分解速率。图2表2参32
2022, 39(3): 524-530.
doi:10.11833/j.issn.2095-0756.20200523
摘要:
目的调查浙江省庆云县范围内楠属
Phoebe植物野生资源,以期为楠木合理保护与开发利用提供理论支撑。
方法采用样方法每木检尺对庆元县域范围的野生楠木野生资源进行全面调查,掌握其分布数量、分布格局、生境及居群状况。
结果庆元县域楠属植物有浙江楠
P. chekiangensis、闽楠
P. bournei、紫楠
P. sheareri等3种,分布点23个,覆盖9个乡镇街道。浙江楠和闽楠多分布于800 m以下,紫楠水平分布跨度最大,垂直分布可达1 250 m,但种群植株数量少。现有居群多存于村旁风水林或人为干扰较少的保护区,楠木群落主要建群种和优势种为壳斗科Fagaceae和樟科Lauraceae树种。
结论庆云县楠木野生资源稀少,亟需保护,人为活动频繁及楠木自身光需求特性是导致濒危的主要成因。表5参21
2022, 39(3): 531-539.
doi:10.11833/j.issn.2095-0756.20210473
摘要:
目的采用遥感数据估算森林地上生物量仍存在一些不确定性问题,研究估算过程中的误差来源及其占比,对提高森林地上生物量的估测精度具有重要意义。
方法从遥感影像提取因子,结合高山松
Pinus densata外业调查数据,建立多元线性回归、梯度提升回归树、随机森林等3种地上生物量估测模型,对样地尺度与3种模型的不确定性进行分析和度量。
结果①高山松单株生物量模型不确定性为16.43%,样地尺度的不确定性为7.07%;②多元线性回归模型残差不确定性为34.86%,参数不确定性为21.30%,与样地不确定性合成后总不确定性为41.45%;③非参数模型中,梯度提升回归树估测高山松地上生物量的总不确定性为23.12%,随机森林为19.42%。
结论3种遥感估算模型中,非参数模型的不确定性明显低于参数模型。相较于样地尺度,遥感估算模型的不确定性对地上生物量估算精度的影响较大。图3表3参26
2022, 39(3): 540-546.
doi:10.11833/j.issn.2095-0756.20210457
摘要:
目的多项生态工程实施以来,陕北黄土高原地区环境明显改善,探究该区域植被的时空变化,为生态环境建设与差异化决策提供依据。
方法以陕西省延安市富县为研究对象,利用2000—2019年生长季的Landsat TM/ETM+/OLI影像,运用DBEST算法对归一化植被指数(NDVI)时间序列进行断点检测,并提出多阶段趋势分析方法分析富县植被变化时空特征。
结果富县植被的断点检测结果表明:66.47%的区域断点NDVI变化幅度小于0.2,主要分布在富县西部和东北地区,植被相对稳定,未发生剧烈变化;33.53%的区域断点NDVI变化幅度大于0.2,其中断点数量多于4个的区域仅占5.88%,集中分布于道路、河流沿线,变化频繁,与人为活动有关。当前阶段趋势分析表明:断点NDVI变化幅度大于0.2的区域,改善的面积占总面积的24.57%,退化面积仅占2.12%;开始时间均在2014年之前,时间分布跨度大,空间异质性强,揭示了富县植被变化的多样性及复杂性;富县有林地、疏林地、灌木林地、未成林造林地4种主要林地均趋于改善,改善面积占林地面积的96.23%。
结论2000—2019年,富县植被整体呈现改善趋势,生态建设工程取得良好的效果;植被变化的时空特征存在差异,后续决策需因地制宜。图6表1参25
2022, 39(3): 547-553.
doi:10.11833/j.issn.2095-0756.20210455
摘要:
目的研究玉铃花
Styrax obassia的开花动态,揭示其繁育系统的基本特征,认识其生物学特性,为玉铃花杂交育种、生境保护提供理论依据,也为城市园林绿化应用推广提供技术支持。
方法田间观测玉铃花开花动态特征、花部结构、昆虫访花特性,采用TTC染色法和联苯胺-过氧化氢法,分别测定花粉活力和柱头可授性,运用杂交指数(OCI)、花粉胚珠比(P/O)等方法确定其繁育系统类型。
结果①玉铃花的花期为4月中旬至5月初,始花期为4月15—18日,盛花期为4月19—26日,末花期为4月27日—5月2日,单花花期约3~5 d。②总状花序下垂,开花顺序由花梗基部向先端分2~3区段开放, 30个总状花序的小花数量平均为(25.3±1.8)个。③开花1 d后的花粉活力最强,雌雄蕊成熟时间部分重合, P/O为(646.30±64.35), OCI为4。④访花昆虫主要有中华蜜蜂
Apis cerana、日本弓背蚁
Camponotus japonicus等。
结论玉铃花开花始于4月中旬,结束于5月初,盛花期持续1周时间,其繁育系统属于兼性异交、需要传粉者的类型,部分为自交亲和。图3表1参25
2022, 39(3): 554-561.
doi:10.11833/j.issn.2095-0756.20210421
摘要:
目的探讨无核君迁子
Diospyros lotus果实发育成熟过程中生理指标的变化规律,为无核君迁子果实资源的进一步开发利用提供参考。
方法以不同时期无核君迁子果实为材料,测定单宁、总酚、黄酮、花青素、糖和果胶组分以及果胶降解酶活性的变化规律,并分析其相关性。
结果无核君迁子果实发育成熟过程中,可溶性单宁和花青素不断降低,不溶性单宁、淀粉、果糖、葡萄糖、糖酸比、水溶性果胶、离子结合果胶逐渐上升,总酚、黄酮、可滴定酸和共价结合果胶先升后降;多聚半乳糖醛酸酶和果胶裂解酶活性在果实软熟期显著上升(
P<0.05)。相关性分析表明:水溶性果胶、离子结合果胶与多聚半乳糖醛酸酶、果胶裂解酶活性呈极显著正相关(
P<0.01),共价结合果胶与多聚半乳糖醛酸酶、果胶裂解酶活性呈显著负相关(
P<0.05),淀粉、果糖、葡萄糖与水溶性果胶、离子结合果胶及多聚半乳糖醛酸酶、果胶裂解酶活性呈极显著正相关(
P<0.01)。
结论无核君迁子果实发育成熟过程中,可溶性单宁逐渐下降至可食用阈值以下,多聚半乳糖醛酸酶和果胶裂解酶参与催化细胞壁果胶组分降解,进而引起无核君迁子果实果胶组分变化、可溶性糖升高以及活性成分变化。图4表2参29
2022, 39(3): 562-570.
doi:10.11833/j.issn.2095-0756.20210296
摘要:
目的鉴定石蒜属
Lycoris种间杂交种F
1的真实性。
方法利用荧光标记表达序列标签简单序列重复(EST-SSR)方法,构建亲本石蒜
L. radiata、中国石蒜
L. chinensis、换锦花
L. sprengeri和石蒜-中国石蒜、石蒜-换锦花杂交种F
1共78个样品的分子身份证,并分析遗传关系。
结果15对多态性强的荧光标记EST-SSR引物得到扩增条带92条,每对引物平均扩增6.13条;多态性信息量(PIC)为0.6292~1.0000,平均为0.9137。引物SSR203+SSR115对石蒜-换锦花、石蒜-中国石蒜杂交种F
1代的真实性鉴定率分别为96.30%和96.15%。非加权组平均法(UPGMA)聚类分析表明:石蒜、中国石蒜、换锦花及其种间杂交种的遗传相似系数为0.76~0.98,在相似系数为0.77处25个亲本和53个杂交种聚为Ⅰ和Ⅱ两大类,Ⅰ类包括亲本换锦花、石蒜-换锦花杂交种,Ⅱ类包括石蒜、中国石蒜以及中国石蒜-石蒜杂交种,Ⅱ类又可分为Ⅱa、Ⅱb和Ⅱc等3个亚类。利用荧光标记EST-SSR基因型编码,构建了78个石蒜属亲本及杂交种的分子身份证。
结论荧光标记EST-SSR可用于石蒜属种间杂交种的早期鉴定。图1表5参26
2022, 39(3): 571-581.
doi:10.11833/j.issn.2095-0756.20210453
摘要:
目的为优化城市森林结构,提高城市森林斑块生态服务功能,以鸟类为指标,阐述以城市森林结构为基础的城市鸟类栖息响应机制。
方法以安徽省合肥市为研究区域,选取21处面积在0.5~2.5 hm
2的城市森林斑块为样地,采用样方法进行植物群落及结构特征调查,以固定样线和样点结合的形式在秋季观测记录选取的样地鸟类群落组成。结合ArcGIS与卫星影像图,量化城市森林树种组成、空间、基础设施、景观结构相关指标,利用相关分析、主成分分析、回归分析明确与城市鸟类丰富度、多度、Shannon指数、Pielou均匀度指标间的潜在关系。
结果①研究记录样地植被90种,隶属51科76属;鸟类8目22科38种,占合肥市记录鸟种的10.08%,最大值保留法计1 213只;城市鸟类优势种为白头鹎
Pycnonotus sinensis、灰喜鹊
Cyanopica cyana、树麻雀
Passer montanus,各斑块之间的鸟类组成有着较高的相似度,相似度均值为0.588。②非参数秩和检验表明在有无水域条件上,鸟类群落差异不明显,城市森林树种组成、空间、基础设施、景观结构对鸟类指标都有着不同程度的影响。③利用主成分分析进一步阐述影响因素,可将影响鸟类丰富度的因素归为城市森林斑块所拥有的资源量和潜在可获取的资源、乔木的丰富度和多样性、单位面积下斑块的资源富集程度3个方面,进一步分析得到关于鸟类丰富度与鸟类多度的方程。
结论城市森林对城市鸟类的吸引力取决于多个结构层次,能反映城市森林拥有的资源量和潜在可获取的资源、乔木丰富度和多样性、单位面积资源富集程度的指标是影响鸟类栖息的重要因素。图3表3参26
2022, 39(3): 582-589.
doi:10.11833/j.issn.2095-0756.20210456
摘要:
目的明确浙江乌岩岭国家级自然保护区黄腹角雉
Tragopan caboti当前的种群分布范围,为评估保护工作效果及制定保护计划提供帮助。
方法于2019—2020年,采用样线调查法、红外相机调查法对该保护区所有保护站黄腹角雉野外分布进行调查;通过实地调查并结合ArcGIS图像判读,综合分析分布点周边的森林植被类型、海拔高度及地形地貌等相关因素,判定黄腹角雉分布范围。
结果共发现黄腹角雉分布点69个,涉及双坑口、碑排、黄桥、垟溪等4个保护站,分布面积依次为24.9、15.2、10.7 和4.5 km
2;黄腹角雉分布点主要在针阔混交林与阔叶林内,其他植被类型则较少;分布海拔为670~1 550 m,比之前报道的800~1 400 m的海拔范围要广;相比核心区域,黄腹角雉在阔叶林边缘区域的分布较多,种群分布表现出边缘效应;在低海拔分布地带及垟溪分布区未发现黄腹角雉的依赖性植物交让木
Dap
hniphyllum macropodum,说明当前种群分布与交让木不具有完全的相关性;在4个分布区中,双坑口、碑排、黄桥3个分布区在地域上相连,其黄腹角雉种群有可能是乌岩岭原有种群繁衍与扩散的结果,而垟溪分布区与乌岩岭相距遥远,其种群则可以确定为独立存在的种群。
结论经过长期保护,浙江乌岩岭国家级自然保护区黄腹角雉栖息地环境已在很大空间尺度上得到了恢复,栖息地片段化的状况得到明显改变,种群分布范围得到了较大扩展,说明该保护区长期以来所采取的保护措施已取得积极效果。而对于边缘效应等现象要进一步跟进研究,并在今后工作中采取科学的应对措施。表2参23
2022, 39(3): 590-597.
doi:10.11833/j.issn.2095-0756.20210407
摘要:
目的揭示雅鲁藏布河谷上游和青藏高原西南坡蚂蚁种类及其分布规律,为青藏高原腹地生物多样性保护积累科学数据。
方法采用样地调查法研究了雅鲁藏布河谷上游及青藏高原西南坡蚂蚁物种的分布格局。采用采获频次分析法对比研究蚂蚁物种的栖息环境、垂直分布、觅食和筑巢场所等分布格局特征。
结果共采获蚂蚁2亚科8属19种,其中雅鲁藏布河谷上游2亚科8属13种,青藏高原西南坡2亚科8属15种。研究区域蚂蚁以耐寒种类为主,缺乏耐热物种。物种丰富度与乔木郁闭度和灌木盖度呈极显著正相关(
P<0.01),与地被物厚度和海拔高度呈极显著负相关(
P<0.01),与草本盖度和地被物盖度相关性不显著。蚂蚁对栖息生境的选择不尽相同,地表是主要的觅食场所,大部分蚂蚁以石下和土壤内作为筑巢场所。
结论蚂蚁物种的分布主要受海拔和生境状况影响。食物资源、环境稳定性和热量获取是影响蚂蚁选择生境、觅食和筑巢场所的主要因素。表6参26
2022, 39(3): 598-606.
doi:10.11833/j.issn.2095-0756.20210478
摘要:
目的探明黑翅土白蚁
Odontotermes formosanus菌圃微生物对优势真菌蚁巢伞
Termitomyces heimii生长的影响,可为深入研究白蚁菌圃微生态提供实验参考,对人工栽培蚁巢伞也具有重要参考意义。
方法使用寡营养培养基分离菌圃微生物。细菌方面,通过探究细菌发酵液对蚁巢伞生长的影响,采用高效液相色谱法测定发酵菌液中新生成的可溶性糖类物质,初步明确菌圃细菌对蚁巢伞生长的影响;真菌方面,采用对峙培养手段探明蚁巢伞与其他菌圃真菌的互作情况。
结果从黑翅土白蚁菌圃中共分离8种细菌及12种真菌杂菌,发现菌圃内存在大量蚁巢伞孢子。菌圃厚壁菌门Firmicutes细菌促进蚁巢伞生长,在其影响下蚁巢伞菌丝呈现纽结凸起,菌丝生长速率相比对照组极显著提高,最高提升0.033 cm·d
−1(
P<0.01)。而菌圃变形菌门Proteobacteria细菌抑制蚁巢伞生长,
Burkholderiasp. (待定)抑制效果最为显著,使得蚁巢伞几乎无法生长。通过高效液相色谱分析发现:菌圃细菌发酵液新生成大量可溶性糖类物质,表明菌圃细菌具备降解木质纤维素并将其转化为寡糖的能力。蚁巢伞与菌圃真菌杂菌的对峙培养表明:菌圃内真菌杂菌抑制蚁巢伞生长,一旦菌圃开始消亡,真菌杂菌(如多种霉菌)将快速占领菌圃。
结论分离的78.9%菌圃细菌可促进蚁巢伞生长,而分离的所有真菌杂菌均抑制蚁巢伞生长,可见,菌圃微生物对蚁巢伞存在明显调控作用。图5表2参18
2022, 39(3): 607-615.
doi:10.11833/j.issn.2095-0756.20210429
摘要:
目的探讨不同自然降雨雨型对径流过程的影响。
方法根据降雨数量特征及雨峰集中时间对密云水库上游地区自然降雨进行二级分类,分别探究不同雨型及过程雨型下的径流特征。
结果①根据降雨量(
P)、降雨历时(
t)、最大30 min雨强(
I
30)可将研究区降雨划分为3类:
P
2
t
3
I
2雨型(中雨量、长历时、中雨强)、
P
1
t
2
I
1雨型(小雨量、中历时、小雨强)、
P
3
t
1
I
3雨型(大雨量、短历时、大雨强),其中,
P
1
t
2
I
1雨型在研究区发生频次最高,占比81.01%。4种过程雨型的发生频次从大到小依次为均匀型、前峰型、后峰型、中峰型。②不同雨型下的径流特征差异明显,从单次降雨看,
P
3
t
1
I
3雨型单次产流能力最强,
P
2
t
3
I
2雨型在研究区的径流贡献率最大。③不同过程雨型对径流特征影响较大,降雨量集中在降雨前期最容易产流。④降雨量对径流深的影响最大,
I
30对径流深、径流系数及径流深峰值的影响均比较大,且对径流深峰值的影响要大于对径流深的影响。
结论坡面径流特征对降雨雨型及过程雨型敏感性很高,采用合理的雨型划分方法研究雨型—径流关系可提高水力侵蚀研究精度。图4表5参27
2022, 39(3): 616-624.
doi:10.11833/j.issn.2095-0756.20210348
摘要:
目的揭示红河干热河谷不同恢复群落对林下物种多样性和土壤理化性质的影响。
方法以红河干热河谷人工恢复15 a的久树
Schleichera oleosa群落、车桑子
Dodonaea viscosa群落、铁刀木
Cassia siamea群落、清香木
Pistacia weinmannifolia群落等植物群落和天然次生稀树灌草丛为对象,采用典型样地和随机取样的方法,对林下草本层植物的物种组成、多样性特征以及土壤理化性质进行比较研究。
结果①不同恢复群落内,共发现维管植物60种,隶属于20科49属,其中优势科为豆科Leguminosae、菊科Asteraceae、禾本科Poaceae和大戟科Euphorbiaceae。②4种人工恢复群落中,清香木群落的丰富度指数、Shannon-Wiener多样性指数、优势度指数均显著高于天然次生稀树灌草丛(
P<0.05)。③4种人工恢复群落在物种组成上均与天然次生稀树灌草丛处于中等不相似水平。④4种人工恢复群落的土壤有机质、全氮、有效磷、速效钾均显著低于天然次生稀树灌草丛(
P<0.05)。
结论红河干热河谷不同人工恢复群落中,林下物种多样性和土壤理化性质均存在显著差异。与天然次生稀树灌草丛相比,人工恢复群落可以在相对较短的时间内增加林下物种多样性,但不能快速恢复土壤养分。图2表3参35
2022, 39(3): 625-634.
doi:10.11833/j.issn.2095-0756.20210417
摘要:
目的探索山核桃
Carya cathayensis产区土壤水解酶活性空间分布特征和土壤肥力状况。
方法在浙江省杭州市临安区山核桃主产区选取了259个样地,测定了土壤α-葡萄糖苷酶(AG)、β-葡萄糖苷酶(BG)、纤维二糖水解酶(CBH)、木糖苷酶(XYL)、亮氨酸氨基肽酶(LAP)、N-乙酰-β-氨基葡萄糖苷酶(NAG)、酸性磷酸酶(PHOS)等7种水解酶活性和主要的肥力指标,并运用主成分分析、地统计分析、相关性分析、冗余分析等方法,分析了临安区山核桃林地土壤中7种水解酶活性的空间异质性、影响因素以及土壤肥力状况。
结果AG、BG、CBH、LAP、NAG、XYL、PHOS活性的块基比
C
0/(
C+
C
0)分别为55%、42%、56%、49%、66%、47%、78%,全局莫兰指数(
I
g)均大于0。土壤中碱解氮、有效磷、速效钾、有机质位于丰富等级的样地数分别占64%、56%、23%、45%,平均pH为5.76。58.7%的样地土壤肥力低于平均水平,仅32.7%的土壤肥力为Ⅰ、Ⅱ等级,大部分土壤肥力处于Ⅲ、Ⅳ等级 。
结论7种土壤水解酶中,AG、BG、CBH、LAP、NAG、XYL具有中等空间自相关性,它们的变异情况受人为扰动和地形结构因素的共同影响。PHOS具有较弱的空间自相关,其活性空间分布主要受人为干扰的影响。7种水解酶活性均存在空间相关性,高低聚类情况相似。在岛石镇附近出现高值聚集,在清凉峰以及河桥、龙岗、昌化交界处附近出现低值聚集的情况,有机质、pH、碱解氮是影响水解酶活性高低值聚类的关键因素。土壤肥力指标分级和综合肥力得分结果表明:大部分林地土壤养分足以支撑山核桃林正常生长,但综合肥力还有待提高。图3表5参32
2022, 39(3): 635-643.
doi:10.11833/j.issn.2095-0756.20210437
摘要:
目的探讨不同土地利用方式下土壤肥力和重金属污染的特征及土壤养分与土壤重金属之间的关系。
方法以云南省西畴县三光石漠化综合治理示范区的撂荒地、灌草地、人工林地、自然林地、玉米
Zea mays地、核桃
Juglans regia林地和猕猴桃
Actinidia chinensis地为研究对象,测定土壤养分和重金属质量分数并进行相关性分析。
结果自然恢复方式下土壤有机质、全氮、全磷质量分数显著高于其他土地利用方式(
P<0.05),灌草地土壤[土壤肥力综合指数(
I
FI)为0.915]和撂荒地土壤(
I
FI=0.913)较为肥沃,猕猴桃地土壤(
I
FI=0.485)和核桃林地土壤(
I
FI=0.501)较为贫瘠;不同土地利用方式下,灌草地重金属污染风险最低[生态风险指数(
I
R)为66.91],猕猴桃地重金属污染风险最高(
I
R=169.16)。相关性分析发现:土壤养分质量分数对重金属质量分数的影响因土地利用方式的不同而不同,且在灌草地、人工林地和自然林地中较为显著(
P<0.05),在撂荒地和作物种植地中并不显著(
P>0.05)。
结论自然属性较强的地区土壤肥力水平高,且重金属污染风险低,说明人为干扰是影响石漠化地区进行植被恢复的重要因素。为了能够更好地提高土壤质量,应适当减少人为活动的干扰。图3表8参29
2022, 39(3): 644-652.
doi:10.11833/j.issn.2095-0756.20210438
摘要:
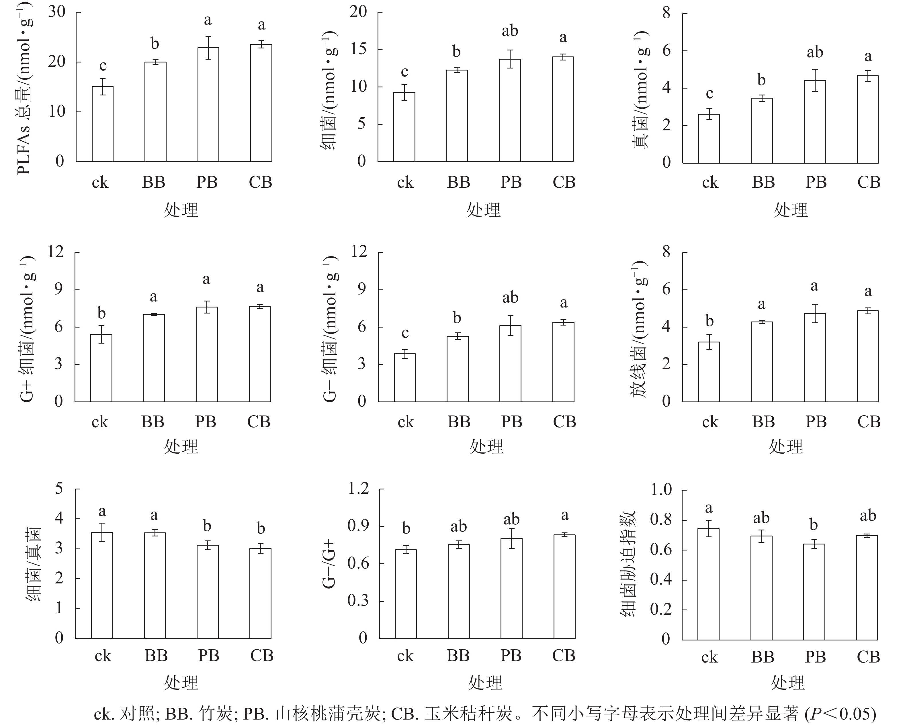
目的探究不同原料制备的生物质炭能否缓解长期重金属污染对土壤微生物活性的胁迫效应,为污染土壤生物质炭修复提供科学依据。
方法将竹材边角料(BB)、山核桃
Carya cathayensis蒲壳(PB)和玉米
Zea mays秸秆(CB)制备的3种生物质炭分别以3%比例(炭土质量比)添加到长期受铅、镉污染土壤中,分析生物质炭短期施用下土壤养分、重金属有效质量分数和土壤微生物活性的变化特征。
结果3种生物质炭添加均未影响土壤重金属全量,而显著(
P<0.05)降低了土壤氯化钙可提取态铅、镉质量分数。与不施生物质炭处理相比,BB、PB和CB分别使可提取态铅质量分数显著(
P<0.05)降低了69%、84%和72%;使可提取态镉质量分数显著(
P<0.05)降低了26%、63%和36%,且PB处理显著(
P<0.05)低于BB和CB处理。PB和CB添加均显著(
P<0.05)提高了土壤pH(0.79和0.51个pH单位)、有机碳质量分数(37%和74%)、全氮质量分数(12%和41%),而BB添加对其影响不显著。BB、PB和CB分别使土壤磷脂脂肪酸总量提高了33%~56%、革兰氏阳性菌提高了30%~41%、革兰氏阴性菌提高了40%~66%、放线菌提高了34%~52%、真菌提高了33%~79%,但3种处理间无显著差异(除PB和CB处理的磷脂脂肪酸总量显著高于BB处理)。3种生物质炭均显著(
P<0.05)提高了脱氢酶活性(2~6倍),但未影响土壤基础呼吸速率,而PB处理显著(
P<0.05)降低了细菌胁迫指数(13.9%),提高了底物诱导呼吸速率。
结论山核桃蒲壳制备的生物质炭可作为较好的改良剂,降低土壤铅镉有效性,恢复土壤微生物的数量和活性。图4表3参29
2022, 39(3): 653-661.
doi:10.11833/j.issn.2095-0756.20210467
摘要:
目的武汉经济开发区(汉南区)26个重点湖泊中水质劣于Ⅳ类标准的湖泊有16个。研究武汉乌金港底泥中重金属和磷的污染特性,分析确定合适的清淤深度,对该区域类似的小微水体污染防治及环保清淤具有重要意义。
方法以乌金港为例,通过2组实验分析乌金港底泥重金属和磷的污染特性:①对乌金港3个点位0~60 cm深度的底泥进行分层采样,分析6种重金属(铜、汞、砷、铅、镉、镍)的分布规律,采用地累积指数和潜在生态风险指数法对底泥重金属污染特征及风险进行分析评价。②采用综合污染指数法对3个点位污染层(0~15 cm)、过渡层(15~30 cm)和正常层(30~50 cm)底泥中磷质量分数进行分析评价,并通过解析实验分析底泥中可溶性活性磷与总磷的释放规律。
结果乌金港底泥重金属污染特性:重金属质量分数随着深度的增加呈下降趋势,40~50 cm重金属质量分数趋于稳定,50 cm深度以下重金属质量分数接近土壤背景值或土壤环境质量二级标准;地累积指数(
I
geo)分析可知:重金属污染程度大多处于轻度-中度污染,潜在生态风险指数值均小于40,风险较低。乌金港底泥中磷的污染特性:污染层、过渡层、正常层总磷质量分数呈现显著的递减规律;污染层和过渡层释放的可溶性活性磷质量浓度与总磷质量分数高于原上覆水,正常层不论是短期还是长期释放的可溶性活性磷与总磷均最低。
结论乌金港底泥中的污染主要集中在污染层和过渡层,铜和铅是主要的生态风险因子,但处于低生态风险。为了更好地清除内源污染,综合分析底泥重金属和磷的污染特性,确定小微水体乌金港最优清淤深度为40 cm。图3表6参14
2022, 39(3): 662-670.
doi:10.11833/j.issn.2095-0756.20210335
摘要:
目的为了提升污泥在园林绿化方面的应用潜力,探讨填埋污泥发酵时最佳的木屑添加量,以期为工程应用提供参考。
方法以杭州地区某填埋池污泥为主要原料,基于不同碳氮比(20、25、30)控制木屑添加量,分别配制了T
1、T
2、T
3共3组发酵物料处理,通过间歇式好氧发酵,分析了发酵过程中温度、pH、电导率、氮、磷、钾和重金属形态等理化指标的变化。
结果发酵为典型中温发酵(30~45 ℃),发酵过程中不同木屑添加量之间温度呈现差异显著(
P<0.05),pH呈先升高后降低趋势,受木屑添加量影响显著(
P<0.05);电导率受木屑添加量影响较小。发酵结束后,3组处理铵态氮损失率分别为30%、47%、42%,硝态氮增加了8.25、6.27、3.85倍,说明木屑添加量对氮素影响大。总磷增长率分别为7.0%、11.8%、10.8%,有效磷占比为8%、9%、9%,总钾占比为27%、36%、44%,有效钾占比为8%、12%、17%,其中仅T
1和T
2之间总钾呈现显著差异(
P<0.05)。铜的生物有效态分配率分别从初始的32%、38%、40%增加至72%、74%、74%,生物可利用态锌分别从84%、85%、86%增加至96%、98%、97%;不同木屑添加量下,生物有效态、可氧化态铜、锌分别呈显著差异(
P<0.05);3组发酵物对植物生长均无毒性[种子发芽指数(
I
G>80%)],但T
2毒性显著大于T
3毒性(
P<0.05)。
结论发酵过程pH、氮、钾、生物可利用态铜、稳定态锌和种子发芽指数受木屑添加量显著影响(
P<0.05),3组处理所检测的指标均符合GB/T 23486—2009《城镇污水处理厂污泥处置 园林绿化用泥质》碱性土壤用泥限值标准,其中T
2处理的木屑添加量对发酵过程控制最具参考价值。图6表4参27
2022, 39(3): 671-678.
doi:10.11833/j.issn.2095-0756.20210377
摘要:
目的基于可见/近红外光谱技术,以10种木材为研究对象,探索不同预处理和特征提取方法下BP神经网络识别木材的效果。
方法利用美国ASD公司生产的LabSpec 5000光谱仪采集10种木材的光谱图,分别进行移动平均法处理、移动平均法+多元散射校正(MSC)、移动平均法+标准正态变量变换(SNV)、Savitzky-Golay卷积平滑算法(S-G滤波器)、S-G滤波器+MSC和S-G滤波器+SNV的预处理,运用主成分分析法(PCA)、连续投影算法(SPA)、SPA和遗传算法(GA)联合分别进行特征提取,将提取的特征结合BP神经网络进行木材识别试验。
结果以SPA和GA联合提取光谱特征时,移动平均法+SNV的预处理效果最佳,以吸收峰为起始波段(
W
initial=1 445 nm)、吸收峰个数为特征个数(
N
tot=9)时,识别率较高,特征个数大部分减少为SPA提取特征值个数的一半左右。BP神经网络的平均识别速度提升明显。10种木材的平均识别率为98.0%,其中7种木材的识别率达到了100.0%。
结论在移动平均法+SNV的预处理下,SPA和GA联合提取光谱图的特征,既可提高BP神经网络识别木材的正确率,又可提升识别速度。图3表6参23
2022, 39(3): 679-686.
doi:10.11833/j.issn.2095-0756.20210356
摘要:
目的研究新冠肺炎疫情对浙江省天目山国家级自然保护区游客生态旅游消费行为特征的影响,分析疫情暴发后生态旅游产品偏好特征,为保护区生态旅游发展提供指导。
方法应用SPSS 23.0软件分析疫情暴发前后自然保护区游客生态旅游行为特征、需求特征,疫情暴发后生态旅游产品陈述性偏好、显示性偏好的人口学特征差异,及生态旅游产品陈述性偏好对显示性偏好的影响效应。
结果①疫情暴发前后游客去往自然保护区的旅游频次、旅游时段的差异极显著(
P<0.01),疫情对游客了解自然保护区的信息渠道、交通方式、旅游花费影响极显著(
P<0.01),而对其他生态旅游需求、行为特征均无显著影响。②疫情暴发后,游客性别、年龄、受教育程度、职业、收入等人口学特征对部分生态旅游产品陈述性偏好有显著影响(
P<0.05);年龄、受教育程度、职业对天目山保护区部分产品显示性偏好水平有显著影响(
P<0.05)。③保护区游客生态旅游产品的陈述性偏好对显示性偏好有显著影响(
P<0.05);天目山保护区游客生物景观和自然教育产品的陈述性偏好对显示性偏好的影响效应,比地文景观和水域景观更明显。
结论通过融合创新产品引导全新需求、推出智慧化生态旅游产品和服务、加强游客体验后的分享等途径,提出天目山保护区生态旅游产品开发建议。表6参24
2022, 39(3): 687-694.
doi:10.11833/j.issn.2095-0756.20210143
摘要:
回顾和总结了近年来国内外对于桃潜叶蛾Lyonetia clerkella的防治技术研究与应用取得的主要成果。长期以来,化学防治作为主要的防控措施,被广泛应用于桃潜叶蛾防治中,但大量过度使用农药,已经导致桃潜叶蛾抗药性增加、环境污染及杀伤天敌等问题,因此,利用其他可持续防控措施来减少化学农药的使用是非常必要的。本研究对桃潜叶蛾的生物学特性、生态学及防控技术进展进行了总结,重点总结了目前在农业、生态、生物、物理及农药防治方面的进展,以及影响防治效果的因素,并比较了国内外防治方法的差异。对于桃潜叶蛾防控技术的研究与推广,应在农业防治的基础上,加强生物、生态防控技术和物理防控装备的研究,特别是要开发桃潜叶蛾与果园其他主要害虫的复合迷向剂,防治果园多种害虫。同时,开发桃潜叶蛾专用型发光二极管诱虫灯,降低化学防治的副作用,达到保护生物多样性,保障社会、经济、生态效益的目的。表1参60
回顾和总结了近年来国内外对于桃潜叶蛾Lyonetia clerkella的防治技术研究与应用取得的主要成果。长期以来,化学防治作为主要的防控措施,被广泛应用于桃潜叶蛾防治中,但大量过度使用农药,已经导致桃潜叶蛾抗药性增加、环境污染及杀伤天敌等问题,因此,利用其他可持续防控措施来减少化学农药的使用是非常必要的。本研究对桃潜叶蛾的生物学特性、生态学及防控技术进展进行了总结,重点总结了目前在农业、生态、生物、物理及农药防治方面的进展,以及影响防治效果的因素,并比较了国内外防治方法的差异。对于桃潜叶蛾防控技术的研究与推广,应在农业防治的基础上,加强生物、生态防控技术和物理防控装备的研究,特别是要开发桃潜叶蛾与果园其他主要害虫的复合迷向剂,防治果园多种害虫。同时,开发桃潜叶蛾专用型发光二极管诱虫灯,降低化学防治的副作用,达到保护生物多样性,保障社会、经济、生态效益的目的。表1参60



























