2022年 第39卷 第5期
2022, 39(5): 923-930.
doi:10.11833/j.issn.2095-0756.20220328
摘要:
目的掌握浙江省国家重点保护野生植物(2021年公布的《国家重点保护野生植物名录》)的多样性及现状,评估各种的濒危等级,为制定科学保护策略提供依据。
方法基于2013—2018年浙江省第2次全国重点保护野生植物资源调查、《浙江植物志(新编)》编研以及近年来其他相关资料,参考世界自然保护联盟(IUCN)、《中国生物多样性红色名录——高等植物卷》等资料的评估结果,对这些植物的现状与濒危等级进行评估与分析。
结果①目前,浙江分布有116种国家重点保护野生植物。与1999年版保护名录相比,增加了3种国家一级保护植物,61种国家二级保护植物,降级了3种,解除保护4种。②濒危等级可以分为5个等级,极危等级19种,占16.38%;濒危等级36种,占31.03%;易危等级30种,占25.86%;近危等级17种,占14.66 %;无危等级12种,占10.34%;数据缺乏2种,占1.73%。③受威胁等级(极危、濒危和易危)的共有85种,占73.28%,受威胁程度较高。
结论浙江省拥有丰富的国家重点保护野生植物,有近70种得到了不同程度的研究,取得较好的保护成效。建议:①保护原有生境,防止过度干扰,充分发挥自然保护区和其他各类自然保护地的就地保护作用;②加强科学研究,改进野外调查方法,完善物种生境信息,重视物种遗传多样性;③多学科合作,建立健全保护网络,形成完备繁殖体系。表2参35
2022, 39(5): 931-939.
doi:10.11833/j.issn.2095-0756.20220197
摘要:
目的基于群落生态学研究濒危植物细果秤锤树
Sinojackia microcarpa的生境适应性和种间相互关系,有利于展开细果秤锤树的保护与扩繁。
方法基于浙江省建德市细果秤锤树典型种群保护样地的群落调查与生境数据,分析物种组成、生态位特征、优势种种间联结关系。
结果①细果秤锤树样地内共记录到胸径≥1 cm的木本植物401株,隶属于35科50属51种。样地上层木中重要值≥1%的物种共16种,重要值排在前4位的物种从大到小依次为毛竹
Phyllostachys edulis、柏木
Cupressus funebris、板栗
Castanea mollissima和细果秤锤树,这4个物种重要值之和为49.85%。②细果秤锤树与上层木树种樟树
Cinnamomum cmphora、与下层木树种檵木
Loropetalum chinensis的生态位相似性最高,且生态重叠值大于0.5。细果秤锤树与茶
Camellia sinensis、檵木、毛花连蕊茶
Camellia fraterna等物种负联结,表明它们之间存在显著的竞争关系。
结论个体数量稀少,生境条件较差,在资源受限时种间竞争激烈等是细果秤锤树濒临灭绝的关键原因。表8参33
2022, 39(5): 940-949.
doi:10.11833/j.issn.2095-0756.20220181
摘要:
目的九龙山榧
Torreya jiulongshanensis为浙江特有的古老孑遗植物,数量极少,为国家Ⅱ级重点保护野生植物,也被列为浙江省极小种群保护植物。系统观测九龙山榧大、小孢子的发生和雌、雄配子体的发育过程,有助于发现其配子是否发育异常及导致结籽率低下的原因。
方法以九龙山榧模式产地的雌、雄植株为研究对象,通过定期观测和取样,采用石蜡切片法对其大、小孢子的发生,雌、雄配子体的发育过程进行切片、染色和观察。
结果①小孢子叶球于8月中旬开始分化,8月下旬分化形成次生造孢细胞,11月中旬形成小孢子母细胞,翌年2月下旬进入减数分裂期,3月中旬形成游离小孢子细胞,于3月末逐渐成熟;成熟花粉粒为双核,无气囊。小孢子囊的发育类型为基本型,孢质分裂方式为同时型,四分体有四面体形和左右对称形。②雄配子体从3月中下旬开始发生,到7月底形成精子,整个过程历时约4个月。③翌年3月下旬,大孢子叶球每个苞叶的叶腋基部直立着生2枚胚珠;大孢子母细胞于4月下旬经过减数分裂Ⅰ和减数分裂Ⅱ形成4个直列大孢子,5月中旬珠孔端的3个大孢子退化,合点端的大孢子最终发育成为雌配子体。④九龙山榧有2个单生型椭圆形的颈卵器,从传粉到受精历时约7个月。
结论九龙山榧雌雄生殖系统发育的周期均较红豆杉科Taxaceae其他种更长,其冗长的生殖周期、复杂的生殖过程和雌性生殖系统发育明显滞后于雄性生殖系统,加之种群个体数量极度稀少(1雌株、2雄株)是造成结籽率低下、自然更新困难的主要原因。图3表1参34
2022, 39(5): 950-959.
doi:10.11833/j.issn.2095-0756.20210814
摘要:
目的探讨濒危植物景宁木兰
Magnolia sinostellata在不同光照强度下光合能力的季节变化及适应机制,为种群的繁衍复壮和迁地保护等提供理论依据。
方法以2年生景宁木兰幼苗为对象,在3种光照处理下(100%全光照、40%全光照和10%全光照),对春季、夏季、秋季3个季节的光合特性指标进行了测定与分析。
结果①春季100%全光照和夏季100%全光照、40%全光照下净光合速率日变化均呈“双峰”曲线。②夏季100%全光照、40%全光照下最大净光合速率、光饱和点、光补偿点均显著高于10%全光照(
P<0.05),而秋季100%全光照下最大净光合速率、光饱和点却显著低于40%全光照和10%全光照(
P<0.05)。③夏季、秋季100%全光照下最大电子传递速率和磷酸丙糖利用率均显著低于40%全光照(
P<0.05)。④100%全光照下光系统Ⅱ(PS Ⅱ)最大光化学量子产量在夏季、秋季分别为0.68和0.72。100%全光照下光化学猝灭系数和40%全光照下PSⅡ实际光化学量子产量在夏季均显著高于春季、秋季(
P<0.05)。
结论在100%全光照下,景宁木兰易受夏季高温和强光胁迫,致使叶片灼伤,秋季净光合速率明显下降,而适当遮光条件下,景宁木兰在3个季节均能维持较高的净光合速率。因此,在景宁木兰栽培过程中,建议光合有效辐射保持在自然光照强度的40%以上。图5表1参23
2022, 39(5): 960-970.
doi:10.11833/j.issn.2095-0756.20210785
摘要:
目的分析五大连池4座老期火山南坡蒙古栎种群结构特征,揭示蒙古栎种群的生存现状,预测种群的发展趋势,以期为五大连池火山森林植被的演替、恢复与可持续发展提供科学依据。
方法通过样地调查和数据统计,绘制种群年龄结构图,编制种群静态生命表,拟合种群存活曲线,运用生存分析与数量化分析法研究种群结构及动态,通过时间序列模型预测种群发展趋势。
结果4座火山蒙古栎种群均低龄数量不足,以Ⅴ~Ⅶ龄级成熟树个体为主,表现为稳定型种群,存活曲线均为Deevey Ⅱ型;生存分析表明:4个种群具有前期逐渐减少、中期趋于稳定的特点,但危险率加剧上升,种群在Ⅵ龄级之后开始进入生理衰退期,预示种群后期有衰退的趋势;数量化动态分析表明:东焦德布山、小孤山和南格拉球山蒙古栎种群忽略外部干扰的种群数量变化动态指数(
Vpi)
大于0,种群表现为增长型,考虑外部干扰的种群数量变化动态指数(
V'pi)
等于或趋近于0,种群表现为稳定型,而尾山蒙古栎种群
Vpi和
V'pi都小于0,种群表现为衰退型,且4个种群对外界随机干扰均具有较高的敏感性;时间序列预测表明:4个种群在未来2、4、6个龄级后个体数量均有减少趋势。
结论4座老期火山南坡蒙古栎种群当前均为稳定型,但小树阶段有限的环境资源导致个体数量下降趋势显著,种群老龄个体数量发展潜力较小,形成该种群更新和发展的瓶颈,随着种群发展有向衰退转化的趋势。图5表5参40
2022, 39(5): 971-980.
doi:10.11833/j.issn.2095-0756.20220111
摘要:
目的森林生物量的空间精准量化对了解陆地碳储量、碳收支、碳平衡,以及揭示森林碳储量与全球气候变化的影响过程具有重要意义。P波段波长较长,在森林中具有更高的穿透能力,研究机载P波段SAR数据提高森林地上生物量(AGB)估测精度的可行性。
方法以机载P波段全极化合成孔径雷达(SAR)数据和高精度激光雷达(LiDAR)数据估测的森林AGB抽样点为基础,提取20个极化SAR特征,并分别与森林AGB变化作敏感性响应情况分析。采用多元线性回归模型(MLR)、K近邻方法(KNN)、支持向量回归(SVR)和随机森林(RF)4种估测方法,探究机载P波段SAR数据的森林AGB估测精度。
结果在较低森林AGB(均值约45 t·hm
−2)的森林覆盖区中,P波段的同极化后向散射系数、Freeman-Durden和Yamaguchi分解中的表面和二次散射分量对森林AGB变化敏感;此外H-A-ALPHA极化分解的散射角(alpha)、拓展极化参数极化辨别率参数(PDR)也对森林AGB变化敏感。4种方法估测的森林AGB相对误差均约30%,其中MLR估测结果精度最低,估测精度为63.55%,均方根误差(RMSE)为19.16 t·hm
−2;RF估测结果精度最高,估测精度为72.97%,RMSE为15.98 t·hm
−2;KNN和SVR估计结果差别不明显,RMSE分别为17.04和17.09 t·hm
−2。
结论P波段SAR数据对估测森林AGB具有一定潜力,3种非参数方法的估测结果明显优于MLR参数方法。此外,P波段的森林AGB估测精度受到待估森林AGB水平高低的影响明显,在森林AGB水平较高的分组中估测精度较高。在森林AGB均值为45 t·hm
−2,最大值为120 t·hm
−2的森林覆盖区,以50 t·hm
−2将森林AGB样点分为2组时,高森林AGB组的估测精度高出低AGB组约6%。图5表3参34
2022, 39(5): 981-988.
doi:10.11833/j.issn.2095-0756.20210576
摘要:
目的由于毛竹
Phyllostachys edulis的生长特点和经营特点,使得毛竹林郁闭度在毛竹林经营中尤为重要,只有保持适宜毛竹生长的郁闭度,才能提高毛竹生产力。研究无人机可见光影像的毛竹林郁闭度估测方法,可实现实时快速获取毛竹林的郁闭度。
方法以普通旋翼无人机可见光毛竹林影像为研究对象,基于像元的阈值分类、像元的监督分类、多尺度分割的阈值分类、多尺度分割的监督分类等4种方法,选取不同钩梢和郁闭度的样地36个,利用现有软件和MATLAB编程,对各样地的毛竹林竹冠区域进行快速提取,进而估算林分郁闭度,对比目视解译的郁闭度真值计算各方法的估算精度,利用单因素方差分析比较4种方法在不同钩梢和不同郁闭度下估算郁闭度的表现。
结果基于像元的阈值分类、基于像元的监督分类、基于多尺度分割的阈值分类、基于多尺度分割的监督分类等4种方法的郁闭度估算总体精度依次为91.81%、92.96%、93.47%、98.86%,郁闭度估测值绝对误差依次为0.038、0.030、0.024、0.004。钩梢和郁闭度等对提取结果没有显著影响。
结论基于多尺度分割的监督分类方法总体精度最高,估算绝对误差最小,能够满足快速、准确提取并估测毛竹林林分郁闭度的要求,且适用于不同经营类型的毛竹林。图2表6参28
2022, 39(5): 989-997.
doi:10.11833/j.issn.2095-0756.20210641
摘要:
目的预测浙江红花油茶
Camellia chekiangoleosa潜在分布范围,分析影响其分布的主要环境因子,为浙江红花油茶保护利用及引种开发提供理论基础。
方法基于浙江红花油茶在中国区域内55个分布点的环境因子,运用最大熵模型(MaxEnt)预测了当前及未来3种RCPs气候变化情景下浙江红花油茶在中国的潜在适生区分布及其变化。
结果影响浙江红花油菜潜在分布的主要环境因子是最冷季度降水量、最暖季度平均气温和土壤类型,其中最冷季度降水量贡献率最高,最暖季度平均气温和土壤类型次之。当代潜在适生区集中分布于中国中部和南部地区,其中,核心分布区主要位于江西、福建和浙江。在未来气候变化情景下,总体适生区范围较当前有不同程度地扩展,总体呈现由华东向西南方向显著扩张的趋势。
结论浙江红花油茶潜在适生区主要受降水、气温和土壤影响,受海拔影响较小,在中国南方地区有较广泛的适生性,具有引种栽培推广潜力。图2表2参41
2022, 39(5): 998-1009.
doi:10.11833/j.issn.2095-0756.20210742
摘要:
目的茉莉酰氨基酸结合物合成酶(jasmonoyl amino acid conjugate synthase,JAR1)可以催化茉莉酸(jasmonic acid,JA)形成茉莉酸的活性形式茉莉酸异亮氨基酸复合体(jasmonic acid-isoleucine,JA-Ile),从而激活JA信号途径。JA信号途径在介导植物盐胁迫的响应中发挥重要作用,因此,探究
AtJAR1在植物耐盐性中的功能对于研究JA信号途径影响植物耐盐性的机制具有重要作用。
方法运用CRISPR/Cas9基因编辑技术,创建了2个不同的拟南芥
Arabidopsis thaliana
AtJAR1基因突变体,并对这2个突变体进行地上部生物量的统计分析和JA信号标记基因的表达分析,以确定
AtJAR1基因功能缺失。之后,观察分析不同浓度氯化钠和脱落酸(ABA)处理对
jar1突变体的种子萌发和幼苗建成的影响,明确
AtJAR1基因对拟南芥耐盐性的影响。最后,通过比较分析盐处理前后野生型和突变体的钾离子(K
+)和钠离子(Na
+)质量摩尔浓度,以及高亲和力K
+转运蛋白基因
AtHAK5的表达变化情况,初步探究
AtJAR1基因在拟南芥耐盐性中的功能。
结果JA信号标记基因
AtVSP1和
AtVSP2的表达量大幅下调,表明
AtJAR1基因功能丧失。与点突变产生的
jar1-1突变体不同的是,这2个突变体表现为前3周生长加快,之后逐渐减缓并出现叶片萎蔫的表型。同时,
AtJAR1突变可以缓解盐胁迫和ABA对种子萌发和根系生长产生的抑制作用。此外,盐胁迫下
AtJAR1突变可以促进
AtHAK5的表达和根系对K
+的吸收转运。
结论JA信号途径可能通过与ABA交互作用影响
AtHAK5的表达量,以调节植物根系对K
+的吸收转运,进而改变细胞内K
+/Na
+平衡,最终影响植物耐盐性。图8表2参52
2022, 39(5): 1010-1017.
doi:10.11833/j.issn.2095-0756.20210782
摘要:
目的探究低磷胁迫对不同生长时期根际土壤养分环境、毛竹
Phyllostachys edulis幼苗生长和养分生理的影响及其持续效应,分析毛竹幼苗对低磷胁迫的适应机制。
方法通过盆栽播种育苗方式,研究了4种不同土壤有效磷水平:2.5 mg·kg
−1(极低磷,P
1)、5.0 mg·kg
−1(低磷,P
2)、10.0 mg·kg
−1(中磷,P
3)、20.0 mg·kg
−1(适磷,P
4)对当年生长季末(T
1)和翌年快速生长期(T
2)根际土壤养分环境、毛竹幼苗生物量及其分配、毛竹幼苗养分吸收利用和分配的影响。
结果低磷处理组(P
1, P
2)显著降低T
1根际土壤pH (
P<0.05),并维持了根际土壤高氮质量分数;这种低磷效应趋势持续至T
2,且此时P
1和P
2的根际土壤有机质质量分数较P
4显著增加了10.70% (
P<0.05)。低磷处理组均显著降低了2个时期毛竹幼苗生物量及氮、磷、钾养分积累量(
P<0.05),且T
2时的降幅比T
1更高。T
1时,低磷处理组显著降低了毛竹幼苗根冠比(
P<0.05),也相对降低根系养分的分配比例;但T
2时,低磷处理组的根冠比分别较P
4显著增加44.30%和37.97% (
P<0.05),且显著增加了氮、钾养分在根系的分配比例(
P<0.05)。低磷处理组显著增加了T
1毛竹幼苗整株磷素利用效率(
P<0.05),随育苗时间推移,其利用效率下降,至T
2时,仅P
1较P
4显著增加了19.05% (
P<0.05)。
结论低磷胁迫抑制了毛竹幼苗生长和养分积累,但提高了其整体磷素利用效率;随育苗时间延长至翌年快速生长期时,低磷胁迫对植株的抑制作用增强,但毛竹幼苗通过提高根冠比、根系养分分配比例来提高对低磷胁迫的适应性。图2表4参25
2022, 39(5): 1018-1027.
doi:10.11833/j.issn.2095-0756.20210704
摘要:
目的探讨水杉
Metasequoia glyptostroboides母树凋落物物理阻隔对水杉天然更新的影响,为解除水杉天然更新障碍及保护水杉种群提供科学依据。
方法通过野外模拟试验,对不同类型凋落物(新鲜凋落物和自然凋落物)采用0(对照)、100、300、500、700、900 g·m
−2的质量梯度,分别在种子下层和上层覆盖凋落物来探究凋落物对水杉幼苗出土及早期生长的影响。
结果①凋落物对水杉种子出苗率和幼苗存活率产生抑制作用,在凋落物质量为300~900 g·m
−2时抑制作用显著增强(
P<0.05)。②除在种子下层铺垫自然凋落物外,其余处理在凋落物质量为300 g·m
−2时促进水杉幼苗苗高和地径生长,但与对照差异不显著(
P>0.05);当凋落物质量高于300 g·m
−2时,全部处理均抑制幼苗生长。随着凋落物质量的增加,对水杉幼苗根长的抑制作用逐渐增强。③随凋落物质量增加,水杉幼苗地上生物量和地下生物量呈先上升后下降的变化趋势,只有在种子下层铺垫300 g·m
−2的自然凋落物处理后有一定波动,其余各处理均抑制幼苗地下生物量累积;当凋落物质量达500 g·m
−2以上时,凋落物显著阻碍幼苗地上和地下生物量的累积(
P<0.05)。④同一凋落物质量下(>300 g·m
−2),新鲜凋落物对水杉幼苗出土和早期生长的抑制作用大于自然凋落物,种子下层铺垫凋落物比种子上层覆盖凋落物的抑制作用更强。
结论水杉母树凋落物对水杉幼苗出土和早期生长具有明显的物理阻隔作用,进而影响水杉更新生长。因此,建议在种子雨高峰期前,对水杉林下不同类型的凋落物进行及时清理,以促进水杉天然更新。图4表2参29
2022, 39(5): 1028-1036.
doi:10.11833/j.issn.2095-0756.20210740
摘要:
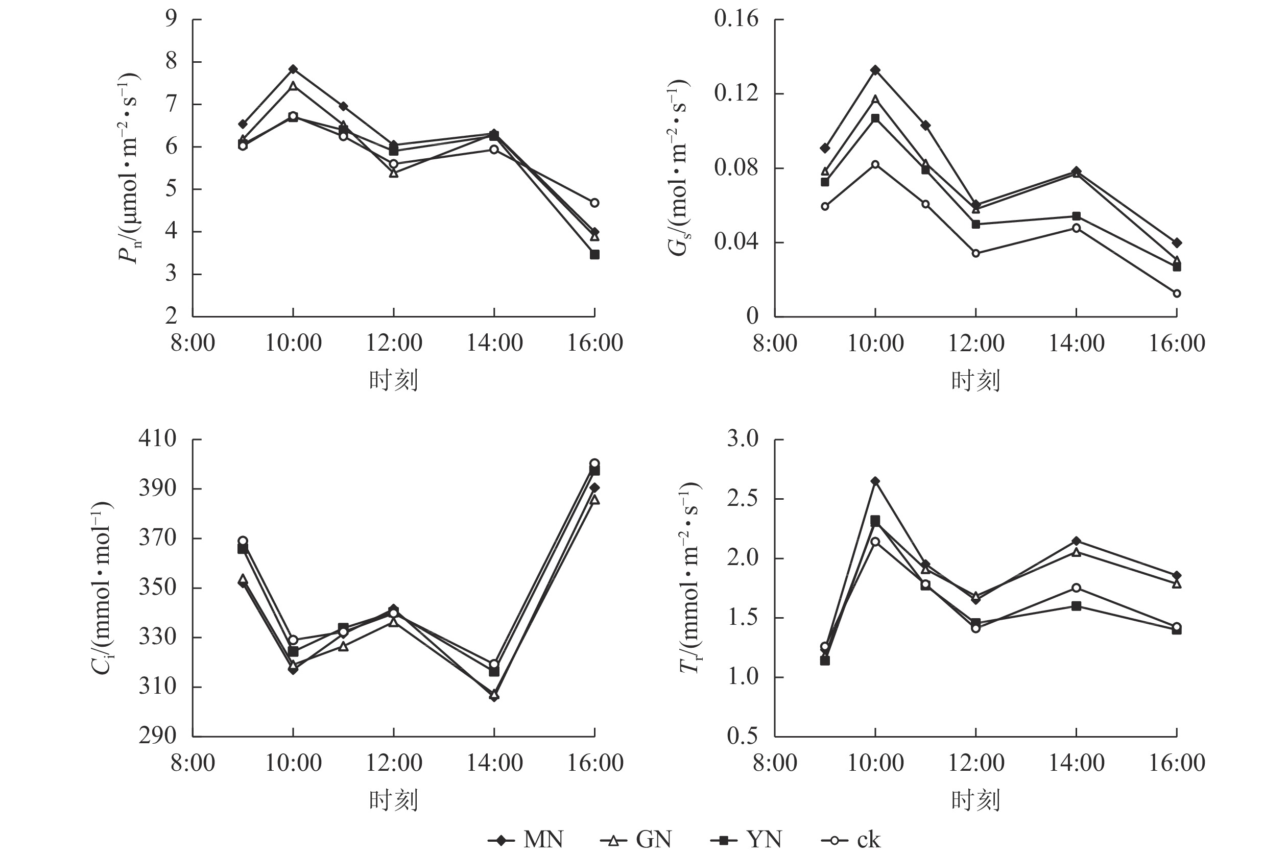
目的探究石漠化生境丛枝菌根真菌共生对白枪杆
Fraxinus malacophylla生长及光合特征的影响,为植被恢复选取优势菌种提供参考。
方法设置摩西斗管囊霉
Funneliformis mosseae+农林生物肥(MN)、幼套近明球囊霉
Claroideoglomus etunicatum+农林生物肥(YN)、根内根孢囊霉
Rhizophagus intraradices+农林生物肥(GN)、农林生物肥(ck)共4个处理,测定不同处理下白枪杆生长(树高、胸径、根和叶生物量、叶面积、叶片色素及叶绿素)及光合特征(净光合速率、气孔导度、胞间二氧化碳摩尔分数、蒸腾速率、水分利用效率等)的变化。
结果①接种丛枝菌根真菌显著促进了白枪杆的生长与叶、根生物量积累(
P<0.05)。②接种摩西斗管囊霉和根内根孢囊霉显著提高了白枪杆叶绿素a、叶绿素b、叶黄素的相对含量(
P<0.05),提升率达6%~67%。③接种丛枝菌根真菌显著提高了白枪杆的净光合速率、气孔导度、蒸腾速率与水分利用效率(
P<0.05),显著降低了胞间二氧化碳摩尔分数(
P<0.05)。④主成分分析表明:气孔导度、树高、叶黄素是提高净光合速率的主控因子,平均贡献率达45.81%,叶绿素b、生物量和总叶绿素的影响次之。
结论丛枝菌根真菌共生主要通过促进植株生长、光合色素含量,显著提高白枪杆净光合速率,其中摩西斗管囊霉为最优菌种。图5表2参33
2022, 39(5): 1037-1044.
doi:10.11833/j.issn.2095-0756.20210605
摘要:
目的筛选更有利于玉铃花
Styrax obassia光合生理参数表达的光强、施氮组合处理,揭示光强、氮素变化与玉铃花幼苗生长的关系。
方法采用盆栽育苗方法,构建光氮双因素控制试验:4种遮光处理[全光对照(透光率100.00%)、轻度遮光(透光率为47.30%,L
1),中度遮光(20.00%,L
2)和高度遮光(7.75%,L
3)]与3种施氮处理[N
2(施纯氮0.63 g),N
1(施纯氮0.21 g)和N
0(不施氮)],测定分析玉铃花的光响应进程和光合色素质量分数的变化特征。
结果①随遮光程度和施氮量的增加,玉铃花幼苗的净光合速率、表观量子效率和总叶绿素质量分数呈现相应的增加,暗呼吸速率则相对减弱,其光饱和点为140.00~481.33 μmol·m
−2·s
−1,光补偿点为6.00~34.67 μmol·m
−2·s
−1、叶绿素a/b<2。②全光及L
1+N
2处理组合时,玉铃花植株出现枯死现象。③L
1处理下,净光合速率的从大到小变化顺序为N
1、N
0、N
2;L
3处理下,当光合有效辐射>400.00 μmol·m
−2·s
−1时,N
2处理玉铃花的净光合速率显著高于N
0和N
1处理(
P<0.05);④光强与氮肥施加对玉铃花幼苗光合色素质量分数的影响均达到极显著水平(
P<0.01),影响趋势从大到小依次为光照、氮素、光照+氮素。
结论玉铃花幼苗具有较强的耐荫性,其光合生理参数最佳的光氮处理组合为高度遮光(L
3),并施纯氮0.63 g (N
2)。图1表3参26
2022, 39(5): 1045-1051.
doi:10.11833/j.issn.2095-0756.20210829
摘要:
目的探究园林绿化废弃物堆肥替代泥炭用作波斯菊
Cosmos bipinnata栽培基质的可行性,实现园林绿化废弃物的科学、经济、有效利用,减少花卉栽培中泥炭的使用量。
方法将园林绿化废弃物堆肥和泥炭按不同体积比配制成5种栽培基质[100%园林绿化废弃物堆肥(T
100)、75%园林绿化废弃物堆肥+25%泥炭(T
75)、50%园林绿化废弃物堆肥+50%泥炭(T
50)、25%园林绿化废弃物堆肥+75%泥炭(T
25)、100%泥炭(T
0)],T
100和T
0作为对照,用于波斯菊的栽培试验。通过比较不同种栽培基质的理化性质和波斯菊的生长指标,从中选择出园林绿化废弃物堆肥和泥炭最佳配比的栽培基质。
结果添加园林绿化废弃物堆肥能够显著提高栽培基质中全氮、全磷、全钾、速效磷和速效钾质量分数(
P<0.05),改善栽培基质容重、最大含水量、总孔隙度、通气孔隙和酸碱环境,其中添加比例为50% (T
50)时,栽培基质理化性质表现最优。与对照(T
0)相比,最优栽培基质(T
50)栽培的波斯菊地上部鲜质量提高了390.4%,地上部干质量提高了322.2%,地下部鲜质量提高了145.6%,地下部干质量提高了93.1%,株高提高了137.4%,花朵数提高了109.0%,根长提高了95.7%。
结论园林绿化废弃物堆肥可以部分替代泥炭用于波斯菊栽培,其中以50%园林绿化废弃物堆肥+50%泥炭构成的栽培基质对波斯菊生长最为有利。表5参25
2022, 39(5): 1052-1058.
doi:10.11833/j.issn.2095-0756.20210587
摘要:
目的筛选滞尘能力较强的丁香属
Syringa植物,促进丁香在城市绿化中生态功能的发挥。
方法以6种丁香属植物为研究材料,在满叶期通过3级滤膜过滤法测定植物经过不同孔径的滤膜后滞留的各直径颗粒物,并对丁香属植物叶表面微观结构进行观察,探究叶片微观结构对植物滞尘效应的影响。
结果①丁香属植物对不同粒径颗粒物的滞尘能力存在显著差异(
P<0.05),对于满叶期,6种丁香单位叶面积滞尘能力从大到小排序为什锦丁香
S. chinensis、北京丁香
S. pekinensis、欧丁香
S. vulgaris、紫丁香
S. oblata、暴马丁香
S. reticulatavar.
amurensis、白丁香
S. oblatavar.
alta。②什锦丁香单位叶面积滞尘能力最强,通过微观结构观察发现什锦丁香叶片上表面沟槽纵深,下表面气孔周围褶皱密集,有助于滞留颗粒物。③从偏相关系数来看,叶表微结构各参数与单位叶面积总颗粒滞留量(UTSP)和直径为0.2~2.5 μm颗粒物滞留量(UPM
2.5)均未达显著相关(
P>0.05)。
结论沟槽的深度可能是影响植物滞尘的原因之一,在治理城市空气污染时,什锦丁香可作为优良的园林滞尘灌木树种。图2表3参26
2022, 39(5): 1059-1066.
doi:10.11833/j.issn.2095-0756.20210402
摘要:
目的探索镉污染农田下不同低吸收水稻
Oryza sativa品种对镉的吸收积累差异及在不同生长时期的分布特征。
方法选取5个低镉吸收品种‘中浙优1号’‘ Zhongzheyou 1’、‘中浙优8号’‘ Zhongzheyou 8’、‘华浙优71’‘ Huazheyou 71’、‘甬优17’‘ Yongyou 17’和‘甬优1540’‘ Yongyou 1540’,在浙江省丽水市景宁畲族自治县某村镉污染农田开展大田试验,探究5种低吸收品种水稻生长情况及对镉的吸收转运特征。
结果同一水稻品种不同器官中镉的积累存在差异。在拔节期和孕穗期,镉质量分数从大到小依次为根、茎、叶、穗;在成熟期,除‘中浙优8号’外,其余水稻品种镉质量分数从大到小依次为茎、根、叶、糙米、稻壳;不同水稻品种中,‘华浙优71’水稻品种的根镉质量分数显著低于其他品种(
P<0.05),‘中浙优8号’水稻品种的茎和糙米镉质量分数显著低于其他品种(
P<0.05)。同一水稻品种在不同生育期的相同器官中镉积累情况不同,根茎叶中镉质量分数从小到大依次为分蘖期、拔节期、孕穗期、成熟期。‘中浙优8号’水稻品种产量、千粒重和分蘖数均高于其他品种。在不同水稻品种中,糙米镉与千粒重、水稻产量、土壤全镉和土壤有效镉无显著相关。
结论筛选出‘中浙优8号’为镉污染稻田的优选品种,后期可进一步对其低吸收积累特征进行探讨。图1表5参32
2022, 39(5): 1067-1079.
doi:10.11833/j.issn.2095-0756.20210734
摘要:
目的探讨蜘蛛类天敌与广翅蜡蝉科Ricanidae的时间和空间关系,为利用和保护自然天敌提供科学依据。
方法应用地统计学方法、灰色系统分析方法和生态位分析法对‘安吉白茶’‘Anjibaicha’、‘黄山大叶种’‘Huangshandayezhong’、‘龙井43’‘Longjing 43’、‘农抗早’‘Nongkangzao’、‘平阳特早’‘Pingyangtezao’和‘乌牛早’‘Wuniuzao’等6种茶园盛发期的广翅蜡蝉及11种蜘蛛种群动态进行分析,研究11种蜘蛛与广翅蜡蝉时间和空间关系的密切程度。
结果根据空间关系密切指数之和可知:6种茶园与广翅蜡蝉空间关系密切的前5位蜘蛛依次是鞍型花蟹蛛
Xysticus ephippiafus(5.7415)、斜纹猫蛛
Oxyopes sertatus(5.6942)、草间小黑蛛
Erigonidium graminicolum(5.6886)、八点球腹蛛
Theridion octomaculatum(5.6502)和粽管巢蛛
Clubiona japonicola(5.5373);根据时间关系密切指数之和可知:6种茶园与广翅蜡蝉时间关系密切的前5位蜘蛛依次是草间小黑蛛 (5.6026)、三突花蟹蛛
Misumenops tricuspidatus(5.4279)、八点球腹蛛 (5.3519)、鳞纹肖蛸
Tetragnatha squamata(5.0791)和锥腹肖蛸
Tetragnatha maxillosa(5.0686)。
结论综合分析得出,与广翅蜡蝉时间和空间关系密切的前3位蜘蛛依次是草间小黑蛛 (11.2912)、八点球腹蛛 (11.0021)和三突花蟹蛛 (10.9935)。表10参27
2022, 39(5): 1080-1086.
doi:10.11833/j.issn.2095-0756.20210768
摘要:
目的真菌性病害是西红花
Crocus sativus的主要病害。分离鉴定西红花茎腐病致病菌可为西红花茎腐病科学防控及特效杀菌剂开发提供科学依据。
方法以‘番红花1号’
C. sativus‘Saffron No. 1’为供试材料,采用组织分离法从感病球茎中分离获得致病真菌。通过PCR扩增、测序与进化树构建对真菌保守内部转录间隔区序列(ITS)和RNA聚合酶 Ⅱ 亚家族(RPB2)基因序列进行同源性比对与进化分析。对感病球茎进行致病菌再分离并回接到植株,验证真菌在种球种植模式下的致病特性。
结果所分离获得的球茎致病真菌与黑曲霉
Aspergillus niger的形态特征高度相似;候选致病真菌的ITS和RPB2保守序列与其他植物来源的黑曲霉同一DNA序列同源性高达99.6%,与黑曲霉处在同一进化分支上;基质种植模式下,接种黑曲霉菌液极显著(
P<0.01)增加了西红花球茎的发病率。
结论黑曲霉是引起西红花种球腐烂的真菌病害之一。图7参32
2022, 39(5): 1087-1095.
doi:10.11833/j.issn.2095-0756.20210801
摘要:
目的土传病原真菌立枯丝核菌
Rhizoctonia solani和齐整小核菌
Sclerotium rolfsii严重威胁园林绿化植物正常生长。建立针对这2种土壤病原真菌的快速定量检测方法。
方法通过筛选2种病原菌特异性引物,优化反应条件。
结果初步建立了2种病原菌的实时荧光定量PCR(qPCR)检测方法。引物ST-RS1/ITS4和SRITSF/SRITSR可以分别用于立枯丝核菌和齐整小核菌的qPCR检测,其灵敏度分别达24×10
6和22×10
6拷贝·L
−1,2次重复反应的变异系数分别为3.37%~4.61%和0.66%~8.61%。对上海绿地土壤样品的检测结果表明:立枯丝核菌和齐整小核菌的检出率分别为100%和19%。
结论建立的qPCR检测方法具有较强特异性、较高灵敏度和较强重复性,可以用于上海城市绿地土壤中立枯丝核菌和齐整小核菌的快速、有效定量检测。图2表5参29
2022, 39(5): 1096-1103.
doi:10.11833/j.issn.2095-0756.20210772
摘要:
目的真菌毒素可污染农产品和动物源性食品,其中黄曲霉毒素B
1(AFB
1)毒性强、危害大,建立AFB
1快速、高灵敏和便捷的检测方法对于监测相关产品中AFB
1污染水平,保障人和动物健康均具有重要意义。基于侧向层析技术原理,采用竞争模式,优化建立免疫层析检测方法,以实现AFB
1的快速定性检测和定量分析。
方法通过比较分析不同粒径金颗粒标记抗体效果,优化确定免疫层析各组分材料类型、相关缓冲液配方及最佳使用质量浓度,建立AFB
1高灵敏定性定量免疫层析检测方法。
结果优化建立的AFB
1免疫层析检测法在实际样本中的定性和定量检测限分别为2.5和0.5 μg·kg
−1,灵敏度高、特异性强,与其他常见真菌毒素无交叉反应,加标回收实验结果显示:该方法准确稳定,且对AFB
1天然污染样本的定量检测结果与商品化试剂盒及LC-MS/MS一致性较好。
结论本研究制备的免疫层析检测法可用于样本中AFB
1污染的快速定性检测与定量分析,适合缺乏实验条件的基层检验检疫机构和农产品加工企业对大量样本进行快速筛查,样本检测结果疑似阳性再采用仪器法进行确认,可降低检测成本,提升检测效率,同时为建立其他病原微生物免疫层析检测方法提供参考。图9表2参26
2022, 39(5): 1104-1113.
doi:10.11833/j.issn.2095-0756.20210616
摘要:
目的水源涵养在众多生态系统服务中占据着重要的地位。揭示水源涵养服务空间格局及其影响因素,识别水源涵养服务重要区,对流域水资源利用、分区管理与综合保护具有重要意义。
方法以广西西江流域为研究对象,基于InVEST模型、GeoDa与ArcGIS等工具,使用全域和局域空间自相关检验研究区水源涵养服务空间分布模式,构建空间误差模型辨识水源涵养服务关键影响因素,采用分位数分类法进行水源涵养服务重要性分级。
结果广西西江流域多年平均水源涵养量为185.36 mm,2015年总量为376.10亿 m
3。全域莫兰指数为0.769,表明研究区水源涵养服务在空间分布上具有空间依赖性。考虑到多重共线性的影响,最终从13项影响因素中筛选出7项进入空间误差模型,得出土壤饱和导水率、多年平均降水量、坡度、植被净初级生产力、经济密度对水源涵养服务产生显著正面影响,而人口密度和不透水率对水源涵养服务产生显著负面影响。识别出黔浔江流域及左郁江流域南部区域是水源涵养服务重要区,在相关政策制定与管理决策中需重点和优先考虑。
结论广西西江流域水源涵养服务在空间分布上呈现集聚分布,并以低-低聚集和高-高聚集类型为主。土壤饱和导水率、多年平均降水量、坡度以及不透水率是水源涵养服务最主要的影响因素。图5表2参28
2022, 39(5): 1114-1123.
doi:10.11833/j.issn.2095-0756.20210758
摘要:
目的科学评价水网地区湿地生态安全状况,为区域生态安全与高质量发展提供依据。
方法基于水网地区湿地在城市发展过程中所面临的威胁,以苏州市吴江区为研究对象,运用驱动力-压力-状态-影响-响应-管理(DPSIRM)模型构建评价指标体系,采用组合赋权法赋予指标权重,结合地理信息系统(GIS)格网技术将部分指标进行空间量化,最终通过综合评价法对2012—2020年吴江区的湿地生态安全进行评价。
结果2012、2016、2020年吴江区湿地生态安全值分别为0.394 4、0.455 2和0.516 4,总体由低安全和中度安全向较高安全等级演变;各时期的高值区域集中于太湖沿岸、震泽片区、北麻漾片区、同里湖片区、三白荡片区以及元荡片区;基于DPSIRM模型分析,管理、影响、驱动力子系统安全值明显提升,压力子系统有所下降,状态、响应子系统呈先降低后升高的态势。
结论研究时段内吴江区湿地生态安全值总体呈上升状态。今后湿地的生态保护应当注重对压力指标的调节,加强对生态安全等级较低区域的管控,并保持较高强度的管理措施。图8表1参31
2022, 39(5): 1124-1132.
doi:10.11833/j.issn.2095-0756.20210252
摘要:
目的探究浙江省森林公园在省域尺度上的空间分布特征及旅游发展模式。
方法以浙江省128个国家级和省级森林公园为研究对象,采用最邻近指数、核密度分析、地理集中指数等方法分析森林公园空间分布特征、均衡态势和分布密度,结合定性分析,探讨浙江省森林公园的发展历程与旅游发展模式。
结果①浙江省森林公园总体空间分布特征为随机型,其中舟山市、台州市、衢州市为均匀型分布,宁波市、绍兴市为随机—离散型分布,温州市、丽水市、湖州市、杭州市、金华市为随机型分布。②核密度结果显示:浙江省森林公园的疏密分布呈现3个梯次,东北部为第1梯次,中部和南部为第2梯次,西部为第3梯次。③浙江省森林公园的建设发展分为探索起步期(1982—1992年)、快速增长期(1993—2001年)、规范建设期(2002—2010年)、内涵提升期(2011—2017年)和全面发展期(2018年至今)5个阶段。④旅游开发分为城郊休闲型、景观游赏型、生态度假型、森林运动型和生态教育型等5种模式。
结论在多重因素制约下,浙江省森林公园在各地级市间分布不均,发展模式各异。今后浙江省森林公园的建设和旅游发展,要在充分利用森林资源条件的基础上,积极对接森林旅游消费需求,优化空间布局结构;完善基础设施条件,提高市场服务能力;创建特色旅游品牌,加大宣传力度。图2表2参23
2022, 39(5): 1133-1143.
doi:10.11833/j.issn.2095-0756.20210748
摘要:
种子呼吸反映了种子的多种内在属性和生理生化特征,种子呼吸检测方法的进展对种子呼吸代谢研究具有重要意义。本文从种子呼吸检测方法及其应用2个方面进行了综述,重点综述了小篮子法、瓦氏微量法、Clark氧电极法、红外线二氧化碳分析仪法、氧传感技术检测法(Q2技术)和可调谐二极管激光吸收光谱(TDLAS)技术检测法等常用种子呼吸检测方法的工作原理、主要检测对象及操作方法,总结了以上种子呼吸检测方法的优缺点及其适用范围。讨论了种子呼吸检测方法在种子呼吸代谢、种子储藏和种子活力测定等几个方面的研究应用,重点阐述了种子呼吸检测技术与种子活力相关的研究进展。根据研究现状对种子呼吸相关检测方法及其研究和应用方向进行了展望:①基于TDLAS技术等光学检测技术有望研制出灵敏度更高、操作更为简单的种子呼吸检测方法及装备;②种子呼吸代谢及其影响因素研究有利于丰富和深入揭示种子呼吸代谢过程理论;③开展种子呼吸指标和种子活力参数研究,为探寻能够将种子呼吸强度作为有效判定种子活力指标提供重要参数支持。表1参60
种子呼吸反映了种子的多种内在属性和生理生化特征,种子呼吸检测方法的进展对种子呼吸代谢研究具有重要意义。本文从种子呼吸检测方法及其应用2个方面进行了综述,重点综述了小篮子法、瓦氏微量法、Clark氧电极法、红外线二氧化碳分析仪法、氧传感技术检测法(Q2技术)和可调谐二极管激光吸收光谱(TDLAS)技术检测法等常用种子呼吸检测方法的工作原理、主要检测对象及操作方法,总结了以上种子呼吸检测方法的优缺点及其适用范围。讨论了种子呼吸检测方法在种子呼吸代谢、种子储藏和种子活力测定等几个方面的研究应用,重点阐述了种子呼吸检测技术与种子活力相关的研究进展。根据研究现状对种子呼吸相关检测方法及其研究和应用方向进行了展望:①基于TDLAS技术等光学检测技术有望研制出灵敏度更高、操作更为简单的种子呼吸检测方法及装备;②种子呼吸代谢及其影响因素研究有利于丰富和深入揭示种子呼吸代谢过程理论;③开展种子呼吸指标和种子活力参数研究,为探寻能够将种子呼吸强度作为有效判定种子活力指标提供重要参数支持。表1参60
2022, 39(5): 1144-1154.
doi:10.11833/j.issn.2095-0756.20210701
摘要:
土壤微生物主要通过参与养分元素循环和能量流动等过程来影响桉树生长发育,在提高土壤肥力和生产力方面扮演着重要角色。桉树作为世界三大速生树种之一,种类多,抗逆性强,适应性广。由于生态系统的复杂性和土壤微生物学研究技术手段的限制,桉树林土壤微生物多样性和功能的研究较少,当前对桉树林土壤微生物群落特征的研究大多处于初级阶段。本研究系统综述了不同经营方式、林分类型和林分年龄条件下桉树林土壤微生物群落特征的变化规律及研究进展。与桉树天然林相比,桉树人工林土壤微生物数量一般较少。与桉树人工纯林相比,桉树混交林能提高土壤微生物数量、多样性和活性。桉树林土壤微生物数量一般随林龄的增长而增加,而外生菌根真菌与内生菌根真菌多样性随林龄的增长而下降。分析了土壤微生物参与桉树林土壤养分元素循环和重金属污染修复的作用机制,并对桉树林土壤微生物研究和分析方法及其应用进行了展望。可为维持桉树林土壤健康、促进林业绿色可持续发展提供科学指导。表1参94
土壤微生物主要通过参与养分元素循环和能量流动等过程来影响桉树生长发育,在提高土壤肥力和生产力方面扮演着重要角色。桉树作为世界三大速生树种之一,种类多,抗逆性强,适应性广。由于生态系统的复杂性和土壤微生物学研究技术手段的限制,桉树林土壤微生物多样性和功能的研究较少,当前对桉树林土壤微生物群落特征的研究大多处于初级阶段。本研究系统综述了不同经营方式、林分类型和林分年龄条件下桉树林土壤微生物群落特征的变化规律及研究进展。与桉树天然林相比,桉树人工林土壤微生物数量一般较少。与桉树人工纯林相比,桉树混交林能提高土壤微生物数量、多样性和活性。桉树林土壤微生物数量一般随林龄的增长而增加,而外生菌根真菌与内生菌根真菌多样性随林龄的增长而下降。分析了土壤微生物参与桉树林土壤养分元素循环和重金属污染修复的作用机制,并对桉树林土壤微生物研究和分析方法及其应用进行了展望。可为维持桉树林土壤健康、促进林业绿色可持续发展提供科学指导。表1参94


























