2024年 第41卷 第4期
2024, 41(4): 669-678.
doi:10.11833/j.issn.2095-0756.20240145
摘要:
目的玉米
Zea mays籽粒容重是国家玉米区试标准中品质性状的重要指标之一,是一个复杂的数量性状,目前其影响因素和调控机制尚未完全解析。淀粉、蛋白质、脂肪等品质性状是影响容重的重要因素,但其与容重的关系仍存在争议。本研究旨在阐明容重与其他品质性状之间的相关性,揭示容重的调控机制。
方法测定以浙江省地方玉米种质资源为主要构成的 517 份玉米种质的容重,粗淀粉、粗蛋白、粗脂肪、直链淀粉质量分数等性状,并进行相关性分析。在此基础上,选取 4 个高容重、高淀粉质量分数、低粗蛋白质量分数、低脂肪质量分数的玉米种质籽粒和 4 个低容重、低淀粉质量分数、高粗蛋白质量分数、高脂肪质量分数的玉米种质籽粒进行转录组测序(RNA-Seq)分析。
结果容重与总淀粉质量分数呈显著正相关(
P<0.01),而容重与粗蛋白和粗脂肪质量分数呈显著负相关(
P<0.01)。对极端种质进行RNA-Seq 分析,共筛选获得 159 个差异表达基因,这些基因主要参与碳代谢、光合组织中的碳固定、氨基酸生物合成等过程。进一步实时荧光定量PCR对其中与碳代谢或氨基酸生物合成相关的8个候选基因表达量进行验证,发现这些基因在不同种质中的表达变化规律与容重差异变化趋势一致。
结论阐明了玉米籽粒容重与其他品质性状之间的相关性,为高品质玉米新品种选育提供特异性种质及8个在碳还原、胚乳发育、淀粉代谢、细胞代谢和种子脂肪积累中起着重要作用的候选基因。图4表2参40
2024, 41(4): 679-687.
doi:10.11833/j.issn.2095-0756.20240214
摘要:
目的种子活力的高低与作物出苗性能、群体质量、产量和品质潜力密切相关。通过研究不同水稻
Oryza sativa品种稻米品质性状与种子活力的相关性,揭示种子活力对稻米品质的影响,并筛选出优质水稻品种,为农业生产提供指导。
方法以12个常规粳稻和12个杂交籼稻品种为供试材料,测定不同发芽条件下的种子活力及糙米率、整精米率、垩白度、透明度、胶稠度、直链淀粉质量分数、蛋白质质量分数等品质指标,并分析其差异性与相关性,探究种子活力与品质性状间的关系。
结果不同水稻类型和品种间的种子活力和稻米品质存在差异,品质优的品种在糙米率、整精米率、垩白度、透明度、胶稠度等方面具有显著优势。其中‘沈农702’‘沈农9816’‘两优0367’‘Y两优900’‘晶两优华占’的发芽指数为23.8~27.2,活力指数为2.8~3.7,糙米率为79.0%~82.7%,整精米率为54.4%~66.0%,与其他水稻品种相比,种子活力较高,品质较好。稻米品质与活力指标呈显著正相关(
P<0.05),其中整精米率与活力指数相关度在常规粳稻和杂交籼稻中均达到显著水平(
P<0.05)。
结论水稻种子活力高的品种具有更好的稻米品质,综合各指标,‘沈农9816’‘沈农702’‘两优0367’‘晶两优华占’‘Y两优900’可推广种植和应用。表4参32
2024, 41(4): 688-695.
doi:10.11833/j.issn.2095-0756.20230521
摘要:
目的探究浙江省杂草稻
Oryza sativaf.
spontanea种子对不同胁迫环境的耐受性,为稻种遗传改良和杂草稻防控提供依据。
方法以浙江省杂草稻和同一田块采集的栽培稻‘南粳46’
O. sativa‘Nangeng 46’种子为材料,分别在室内标准发芽条件、盐胁迫(0.15 mol·L
−1NaCl)、干旱胁迫(质量分数为15%的聚乙二醇溶液模拟)、淹水胁迫(5 cm水深模拟)和低温胁迫(15 ℃低温)下研究种子的发芽情况和幼苗品质,并测定了干旱和盐胁迫下幼苗的抗氧化物酶活性和丙二醛质量摩尔浓度。
结果室内标准发芽条件下,杂草稻种子的各项发芽指标均显著优于栽培稻(
P<0.05)。不同环境胁迫均抑制了种子萌发,影响了幼苗品质。盐胁迫下,杂草稻种子的发芽率和发芽指数显著高于栽培稻,幼苗长度低于栽培稻(
P<0.05)。干旱胁迫下,杂草稻种子的发芽势、发芽率和发芽指数均显著高于栽培稻(
P<0.05)。干旱和盐胁迫后,杂草稻幼苗的过氧化氢酶、超氧化物歧化酶和过氧化物酶活性显著高于栽培稻,丙二醛质量摩尔浓度显著低于栽培稻(
P<0.05)。淹水胁迫下,杂草稻的发芽势、发芽指数均显著低于栽培稻(
P<0.05)。低温胁迫后,杂草稻和栽培稻种子的发芽指标无显著差异,杂草稻幼苗质量较栽培稻更好。
结论浙江省杂草稻在适宜环境下的萌发能力显著强于栽培稻,但对淹水胁迫敏感。与栽培稻相比,杂草稻更耐干旱和盐胁迫,这种能力可能与其具备更强的抗氧化活性有关。表6参32
2024, 41(4): 696-705.
doi:10.11833/j.issn.2095-0756.20230498
摘要:
目的探究梁山慈竹
Dendrocalamus farinosus叶绿体基因组密码子偏好性使用形式,分析影响梁山慈竹密码子使用偏好性的主要原因,并确定最优密码子,为竹亚科 Bambusoideae植物叶绿体基因组学研究提供参考依据。
方法根据GenBank登录号MZ681865.156从美国国家生物技术信息中心(NCBI)数据库中下载85条梁山慈竹叶绿体基因序列,利用CodonW、CUSP及R语言软件分析有效密码子数(ENC)、适应指数(CAI)和同义密码子相对使用度(RSCU)等指标,对RSCU进行对应性分析,并根据ENC和RSCU对密码子进行排序。
结果梁山慈竹叶绿体基因组密码子的鸟嘌呤(G)和胞嘧啶(C)所占的比率(GC比率)平均为39.48%,且GC1(47.69%)>GC2(39.70%)>GC3(31.05%),密码子末位碱基偏好以A/U结尾;ENC多数在35以上,CAI为16.6%,其密码子偏好性较弱;中性绘图分析、ENC-plot分析和PR2-plot分析表明:影响梁山慈竹叶绿体基因组密码子偏好性的主要原因是自然选择。共有GCA、GCU、UUC及GGU等18个密码子被鉴定为梁山慈竹叶绿体基因组的最优密码子。
结论自然选择是梁山慈竹叶绿体基因组密码子偏好性的主要因素,并筛选出梁山慈竹叶绿体基因组有GCU、GAU以及GGU等18个最优密码子。图5表5参30
2024, 41(4): 706-714.
doi:10.11833/j.issn.2095-0756.20230614
摘要:
目的丹参
Salvia miltiorrhiza是治疗心脑血管疾病的常用中药材。解析丹参药效物质合成代谢的分子调控机制能为丹参优质新品种的选育提供科学依据。
方法基于比较转录组挖掘获得响应甲基茉莉酸(MeJA)诱导的转录因子
SmJRB2。采用同源克隆技术克隆获得该基因的编码序列,并进行生物信息学分析。采用实时荧光定量PCR (RT-qPCR)分析
SmJRB2基因的组织表达和MeJA诱导表达特征;基于农杆菌
Agrobacterium tumefaciens介导的丹参遗传转化技术对
SmJRB2基因的功能进行鉴定。
结果
SmJRB2共编码501个氨基酸,属于bHLH转录因子家族的MYC类转录因子。
SmJRB2基因在丹参叶片和主根中的表达量最高。
SmJRB2基因强烈响应MeJA的诱导, 诱导4.0 h时表达量最高。超表达
SmJRB2促进丹参酮的积累,抑制表达
SmJRB2基因则降低丹参酮的合成。
结论
SmJRB2是丹参酮代谢合成的正向调节因子。图8表1参40
2024, 41(4): 715-723.
doi:10.11833/j.issn.2095-0756.20230567
摘要:
目的建立防风
Saposhnikovia divaricata药材多指标成分同时定量分析的测定方法,并以多指标成分为评价指标,结合不同成分对防风药材抗炎活性的贡献,分析不同产地的防风药材质量,为防风药材质量的综合评价提供科学依据。
方法采用高效液相色谱(HPLC)建立防风6种色原酮和4种香豆素成分同时定量的测定方法,采用聚类分析和主成分分析对防风药材质量进行综合评价;采用脂多糖诱导的RAW 264.7小鼠巨噬细胞炎症模型,分析防风10种化学成分与抗炎活性的相关关系。
结果防风10种化学成分在各自范围内线性关系、准确度和分离度均良好。聚类分析和主成分分析把17批样品分为4类,其中以内蒙古S5和吉林S8~S11产地的2年生防风的综合质量相对较好;17批防风醇提物能不同程度地抑制脂多糖诱导的RAW264.7细胞分泌一氧化氮(NO)、白细胞介素6 (IL-6)、白细胞介素1β (IL-1β);其中升麻素苷、5-O-甲基维斯阿米醇苷、升麻素、亥茅酚苷、5-O-甲基维斯阿米醇、欧前胡素与抗炎活性呈正相关;灰色关联度分析表明:防风抗炎活性是多种成分协同作用的结果,升麻素苷、5-O-甲基维斯阿米醇苷、升麻素、亥茅酚苷、5-O-甲基维斯阿米醇与3个细胞炎症指标(NO、IL-6和IL-1β)的关联度均大于0.8,是发挥抗炎作用的主要物质基础。
结论本研究建立的防风多指标成分测定方法良好,可用于防风色原酮和香豆素成分的同时测定,结合抗炎活性与灰色关联度分析法建立了基于生物活性的防风药材质量综合评价模式,为建立防风药材质量综合评价的标准提供了新的方法和科学依据。 图3表7 参30
2024, 41(4): 724-734.
doi:10.11833/j.issn.2095-0756.20240138
摘要:
目的对薄壳山核桃
Carya illinoensis害虫暗影饰皮夜蛾
Garella ruficirra线粒体基因组进行测序和分析,并在基因组水平上探讨其在夜蛾科Noctuidae中的分类地位,为探索夜蛾科昆虫的系统发育关系以及演化进程提供参考。
方法利用二代测序技术从头组装获取暗影饰皮夜蛾的线粒体基因组,并对线粒体基因组结构特点和碱基组成进行分析;同时,采用最大似然法和贝叶斯法联合构建了夜蛾科5个属、12个种的线粒体基因组系统发育树,分析暗影饰皮夜蛾在夜蛾科中的系统发育地位。
结果暗影饰皮夜蛾线粒体基因组全长共为15 294 bp,其中包括13个蛋白质编码基因、22个转运RNA基因、2个核糖体RNA基因以及鳞翅目Lepidoptera昆虫典型的腺嘌呤(A)+胸腺嘧啶(T),即A+T富含区,该区域的A+T含量为80.53%,具有明显的AT偏向性。暗影饰皮夜蛾的基因排列顺序为
trnM-
trnI-
trnQ,与包括夜蛾科昆虫在内的大多数鳞翅目昆虫基因排列次序相符。13个蛋白质编码基因的起始密码子全部为ATN。22个tRNA基因中除
trnS1的DHU臂缺失,其余均为典型的三叶草结构。对线粒体基因组研究发现:夜蛾科5个属之间,
Garella与皮夜蛾属
Nycteola亲缘关系最近,与饰夜蛾属
Pseudoips亲缘关系最远。
结论暗影饰皮夜蛾的线粒体基因组中出现了基因重排的现象,系统发育关系支持暗影饰皮夜蛾和
Garella musculana聚为1个分支。图4表4参47
2024, 41(4): 735-743.
doi:10.11833/j.issn.2095-0756.20230581
摘要:
目的研究松阿扁叶蜂
Acantholyda posticalis幼虫的发生与林分因子和立地因子的关系,筛选影响松阿扁叶蜂幼虫发生的关键因子。
方法2022—2023年,在宁夏罗山国家级自然保护区松阿扁叶蜂主要发生区域设立21块样地,调查松阿扁叶蜂幼虫虫口密度和林分因子及立地因子。应用逐步回归分析法筛选出影响松阿扁叶蜂幼虫平均虫口密度的关键因子;采用方差分析和相关性分析法得出松阿扁叶蜂幼虫平均虫口密度与关键因子之间的关系。
结果逐步回归法筛选出草本盖度、冠幅、郁闭度和坡位是影响松阿扁叶蜂幼虫发生的关键因子。根据关键因子建立了幼虫平均虫口密度的线性预测方程。筛选出的4个关键因子中,草本盖度和坡位对松阿扁叶蜂幼虫的发生有抑制作用,冠幅和郁闭度对松阿扁叶蜂幼虫的发生有促进作用。
结论松阿扁叶蜂幼虫在林下草本盖度低、林分郁闭度和冠幅大的上坡位林地易发生。建议将这些林地作为防治重点区域,调整位于上坡位的林木草本盖度至0.3以上,冠幅至2.5 m以下,郁闭度至0.7以下,实现对宁夏罗山松阿扁叶蜂幼虫种群数量的生态控制。图5表3参39
2024, 41(4): 744-751.
doi:10.11833/j.issn.2095-0756.20230588
摘要:
目的研究生物质炭粒径的改变对其理化性质以及汞污染稻田土壤中修复能力的影响,以期为减少汞污染地区水稻
Oryza sativa甲基汞富集量、保障粮食安全提供科学依据。
方法以水稻秸秆为制备生物质炭的原料,通过筛分法制备不同粒径(<0.5、0.5~1.0、1.0~2.0 mm)的水稻秸秆生物质炭,利用元素分析仪、比表面分析仪、傅里叶红外光谱仪和扫描电镜仪分析不同生物质炭的结构特征变化,并结合盆栽试验研究施用不同粒径生物质炭对水稻甲基汞富集的影响。
结果①随着粒径的减小,生物质炭的表面形貌变化明显,生物质炭比表面积增大,孔隙增多, C—O、—OH和—COO含氧官能团强度增加。②与对照相比,3种粒径生物质炭的施入均降低了土壤中甲基汞的生物有效性,水稻各组织中甲基汞富集量减少,其中小粒径生物质炭的降低效果最佳,添加粒径<0.5 mm的生物质炭组精米中的甲基汞质量分数降低了47.01%。③生物质炭的施入增大了水稻根际土壤甲基汞质量分数,且这种正向促进作用随着生物质炭粒径的减小而更加明显。
结论生物质炭粒径的减小能够增强其在汞污染稻田土壤中的修复能力,减少水稻对甲基汞的积累,降低甲基汞暴露风险。图5表1参34
2024, 41(4): 752-759.
doi:10.11833/j.issn.2095-0756.20230630
摘要:
目的乔木对重金属具有富集能力,但是目前对其积累特征尚不明确,一定程度上限制了乔木修复重金属污染土壤技术的推广应用。探讨5种乔木绿化树种对镉的富集特征。
方法分析了镉污染土壤上栽植的泡桐
Paulownia fortunei、楸树
Catalpa bungei、悬铃木
Platanus acerifolia、黑杨
Populus nigra和垂柳
Salix babylonica等树木不同部位对镉的富集特征,并分析了不同树种对镉的积累总量。
结果供试树种对镉均具有一定的积累能力,单株对镉的积累量为43.01~886.28 mg·株
−1,其中垂柳对镉的积累总量最大,达886.28 mg·株
−1;其次是黑杨,达392.51 mg·株
−1。不同树种不同部位对镉的富集能力也不同,泡桐、楸树、悬铃木、黑杨和垂柳不同部位的富集系数分别为0.07~0.56、0.10~1.24、0.06~1.04、0.32~1.58、0.06~0.97。其中黑杨多数部位(除茎皮外)的富集系数均大于其他树种。所有树种根皮、茎皮和枝皮的镉质量分数均显著(
P<0.05)大于其对应的根材、茎材和枝材。所有树种不同部位镉质量分数与土壤镉质量分数均呈极显著正相关(
P<0.01)。
结论乔木主要将镉积累到枝部和茎部,其中泡桐、楸树和悬铃木主要积累在枝部,黑杨和垂柳主要积累在茎部。此外,黑杨和垂柳具有较高的镉积累量,是今后镉污染土壤修复中的首选树种。图5表2参23
2024, 41(4): 760-768.
doi:10.11833/j.issn.2095-0756.20230522
摘要:
目的探究中国西南喀斯特地区农田石灰性土壤二氧化碳(CO
2)排放通量对该区频繁发生的干湿交替的响应规律。
方法以喀斯特农田石灰性土壤为研究对象,设计2种干湿交替强度(模拟降水量为10和25 mm),以干湿交替循环周期10 d为1个循环过程,研究喀斯特农田土壤呼吸对干湿交替的响应。
结果干湿交替强度显著影响土壤呼吸速率和土壤总CO
2排放量(
P<0.05)。在2种干湿交替强度下,随着水分施加,土壤CO
2排放通量会在短时间内达到最大值,然后逐渐下降。对于10 mm降水干湿交替强度,不同循环周期下的土壤CO
2排放通量和土壤总CO
2排放量之间的差异并不显著。然而,对于25 mm降水干湿交替强度,大多数循环周期下的土壤CO
2排放通量和土壤总CO
2排放量之间的差异显著(
P<0.05)。相关分析表明:干湿交替多重周期作用下,土壤含水量和土壤CO
2排放通量之间的相关关系不断降低。
结论干湿交替强度和干湿交替过程是影响喀斯特农田土壤呼吸排放的重要因素。图5表1参64
2024, 41(4): 769-777.
doi:10.11833/j.issn.2095-0756.20230545
摘要:
目的通过分析等高反坡阶整地对退化坡林地恢复过程中土壤养分与酶活性的影响,揭示该措施生态修复的作用机制。
方法以昆明市松华坝水源区迤者小流域的退化云南松
Pinus yunnanensis坡林地为对象,设置等高反坡阶整地1 a样地(1 a)和10 a样地(10 a),以原状坡面(ck)为对照,比较土壤养分质量分数和酶活性在反坡阶的阶上和阶下及不同土层深度(0~10、10~20、20~30和30~40 cm)的分布差异。
结果①等高反坡阶整地显著提高土壤养分质量分数(
P<0.05),碳、氮、磷等养分提升达15.3%~236.2%,阶下高于阶上,表层土壤(0~10 cm)增加最明显。②土壤脲酶、蔗糖酶、酸性磷酸酶和过氧化氢酶活性均表现为10 a样地显著高于ck (
P<0.05),4种酶活性提升范围在3.7%~587.5%,阶下仍高于阶上,表层土壤酶活性提升显著(
P<0.05)。③冗余分析显示:等高反坡阶整地后土壤养分对酶活性的累积解释贡献率升高,ck、1和10 a样地分别为68.0%、88.0%和92.7%;反坡阶整地后土壤养分与酶活性的正相关关系提高,相关系数范围和达极显著性组数(
P<0.01)由ck的0.26~0.99和1组,增至10 a样地的0.78~1.00和15组。
结论退化坡林地实施等高反坡阶整地后,可促进土壤养分蓄积,激发土壤酶活性,增加两者在土壤生理生化反应过程中的配合度,最终改善土壤质量。图4表1参35
2024, 41(4): 778-786.
doi:10.11833/j.issn.2095-0756.20230527
摘要:
目的土壤氨基糖是土壤微生物死亡残体的特异性标志物,对土壤碳、氮固存有重要作用。探究树种多样性和优势树种重要值对土壤氨基糖的影响机制。
方法以东北林业大学实验林场为研究样地,采取0~20 cm的表层土壤,测定土壤葡萄糖(Glu)、土壤半乳糖(Gal)、土壤胞壁酸(Mur)及土壤总氨基糖 (TA)质量分数,计算样地内树种多样性指数和优势树种重要值,通过相关分析、冗余分析、方差分解分析研究确定影响土壤氨基糖的主要因素及其贡献程度。
结果①土壤葡萄糖、土壤半乳糖、土壤胞壁酸、土壤总氨基糖质量分数与土壤全氮质量分数、土壤电导率和土壤有机碳质量分数显著正相关(
P<0.05);②土壤葡萄糖、土壤半乳糖、土壤胞壁酸、土壤总氨基糖质量分数与黑皮油松
Pinus tabuliformisvar.
mukdensis重要值显著负相关(
P<0.01);土壤葡萄糖、土壤半乳糖、土壤总氨基糖质量分数与蒙古栎
Quercus mongolica重要值显著负相关(
P<0.05);土壤葡萄糖、土壤总氨基糖质量分数与黄檗
Phellodendron amurense、金银忍冬
Lonicera maackii、胡桃楸
Juglans mandshurica重要值均显著正相关(
P<0.05);土壤半乳糖、土壤胞壁酸、土壤总氨基糖质量分数与梣叶槭
Acer negund重要值显著正相关(
P<0.05)。冗余分析发现:黑皮油松、蒙古栎不利于氨基糖积累,而黄檗、梣叶槭、金银忍冬、胡桃楸有利于土壤氨基糖的积累。③方差分解分析表明:树种重要值对土壤氨基糖质量分数变化的贡献程度(35.4%)显著高于树种多样性(6.4%)和土壤理化性质(17.2%)。
结论通过增加梣叶槭、金银忍冬、黄檗和胡桃楸等树种来为维持较高的树种多样性,能更好地促进人工林土壤氨基糖的积累,进而改善土壤碳氮固存能力。图2表7参24
2024, 41(4): 787-796.
doi:10.11833/j.issn.2095-0756.20230485
摘要:
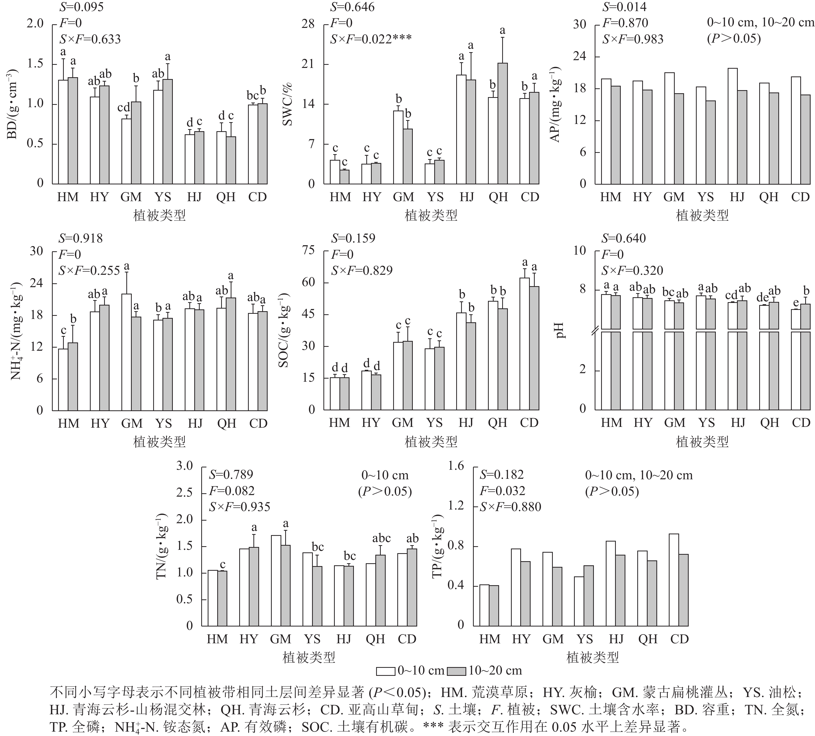
目的探讨贺兰山西坡不同植被类型土壤理化性质对土壤酶活性的影响,为干旱区森林生态系统土壤酶活性变化、养分循环模式和调节机制研究提供参考依据。
方法以贺兰山西坡土壤为研究对象,按照海拔梯度依次选择荒漠草原(海拔1 349 m)、灰榆
Ulmus glaucescens林(1 905 m)、蒙古扁桃
Amygdalus mongolica灌丛(2 134 m)、油松
Pinus tabuliformis林(2 150 m)、青海云杉
Picea crassifolia-山杨
Populus davidiana混交林(2 160 m)、青海云杉林(2 635 m)和亚高山草甸(2 664 m)等7种典型植被类型。每个植被类型设置3个重复样地,通过野外调查取样与室内分析相结合的方法,对土壤理化性质(含水率、容重、pH、有机碳、铵态氮、全氮、全磷、有效磷)和酶活性(β-葡糖苷酶、纤维二糖水解酶、α-葡糖苷酶、β-木糖苷酶、蔗糖酶、淀粉酶)进行测定,利用方差分析和冗余分析探明不同植被类型土壤酶活性质量分数差异,并分析其影响要素。
结果0~10和10~20 cm土层土壤含水率、有机碳质量分数随海拔上升整体呈现上升趋势;而土壤容重随海拔上升在0~10与10~20 cm土层整体呈现下降趋势;土壤全磷、全氮、铵态氮和有效磷质量分数以及pH在0~10和10~20 cm土层中随海拔上升无显著变化规律;在不同海拔植被带0~10 cm土层土壤各酶活性高于10~20 cm土层;土壤纤维二糖水解酶与β-葡糖苷酶随海拔升高在0~10 cm土层呈上升趋势,淀粉酶活性随海拔升高在0~10 cm土层呈先升高后降低再升高趋势,而α-葡糖苷酶、β-木糖苷酶和蔗糖酶活性在不同植被带不同土层之间均变化幅度较小且差异不显著;在0~10与10~20 cm土层,土壤有机碳、全磷、铵态氮、含水率是土壤酶活性的主要影响因素。
结论海拔梯度变化引起贺兰山西坡土壤理化性质显著变化,进而调控森林土壤酶活性沿海拔及土层分布的变化,其中土壤有机碳、pH及含水率是土壤酶活性的主要影响因素,能较好地解释土壤酶活性的海拔梯度差异。图4表1参36
2024, 41(4): 797-809.
doi:10.11833/j.issn.2095-0756.20230448
摘要:
目的植被恢复是改善黄土高原水土流失和生态环境的重要手段。评估植被恢复对生态系统养分循环和生态服务功能的影响需进一步明晰林地植被与土壤的化学元素计量和分布特征,这对合理开展植被恢复类型筛选具有重要意义。
方法选取晋西黄土区4种典型植被恢复类型(油松
Pinus tabuliformis人工林、刺槐
Robinia pseudoacacia人工林、侧柏
Platycladus orientalis人工林、辽东栎
Quercus mongolica天然林),分别测定乔木层的树枝、树叶、树干、树皮、树根和灌木层、草本层的地上、地下部分以及0~100 cm土壤各层的碳、氮、磷质量分数,结合单因素方差分析法、最小显著差法、冗余分析法等分析植被恢复类型对生态系统养分循环和生态化学计量的影响。
结果①相比其他植被恢复类型,辽东栎天然林样地的灌木层和草本层生物量最高,其地上部分生物量分别为(8.62±0.78)、(5.91±0.18) t·hm
−2,地下部分生物量分别为(3.65±0.36)、(3.54±0.25) t·hm
−2。②辽东栎天然林草本层碳质量分数最高,为(552.90±19.33) g·kg
−1,氮质量分数最低,为(10.36±0.30) g·kg
−1。③植物与土壤的碳、氮、磷质量分数具有显著相关关系(
P<0.05);辽东栎天然林的土壤碳磷比最高,为15.22±0.28,而刺槐人工林土壤碳磷比最低,为8.28±0.26。④Mantel Test和冗余分析结果表明:人工林中,土壤和植被中的养分相关关系显著(
P<0.05),然而在辽东栎天然林中两者相关性相对较小,而且辽东栎天然林的乔木层对土壤和植被化学计量特征的影响相对较弱。
结论近自然造林可以提高植被多样性,并提供更好的生态系统服务。图5表2参41
2024, 41(4): 810-819.
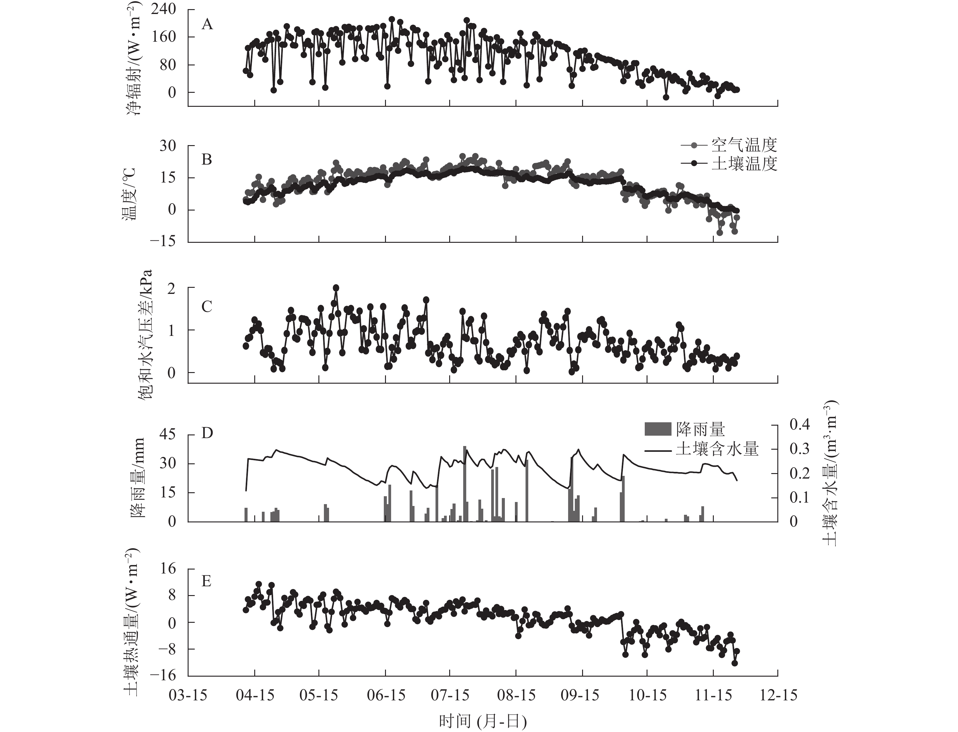
doi:10.11833/j.issn.2095-0756.20230526
摘要:
目的分析比较不同插补方法对生态系统潜热通量(
F
LE)缺失值的插补精度。
方法利用涡度相关法于2019年对北京市松山国家级自然保护区典型天然落叶阔叶林生态系统
F
LE与环境要素进行原位连续监测,通过3种插补方法(边缘分布抽样法、线性回归法、人工神经网络法)对
F
LE缺失数据(0.5 h数据中随机剔除)进行插补,分析实测
F
LE、插补
F
LE与环境因子间的关系。
结果3种插补结果均低估了实测
F
LE,其中人工神经网络插补值最接近实测值(决定系数
R
2=0.40)。实测
F
LE与空气温度(
T
a)、饱和水汽压差(
D
VP)间均呈指数关系。边缘分布抽样法插补
F
LE与
T
a、
D
VP间的关系最接近实测
F
LE,然而3种插补方法都不同程度改变了
F
LE对
T
a和
D
VP的敏感性。
结论人工神经网络法的插补结果与实测值最接近,边缘分布抽样法的结果与环境因子间的关系最接近实测值与环境因子间的关系,因此未来研究应依据研究目的选取合适的插补方法。图5表1参41
2024, 41(4): 820-829.
doi:10.11833/j.issn.2095-0756.20230580
摘要:
目的研究城市公园绿地的可达性与社会公平性,为提升公园绿地质量、保障弱势群体环境正义提供科学依据。
方法以杭州市上城区公园绿地为研究对象,通过获取手机信令、大众点评、兴趣点(POI)等多源大数据,组建数据库,引入公园质量评价结果、吸引力算法和高斯衰减函数,改进两步移动搜索法,计算步行和公共交通模式下居住小区老龄人口获取公园绿地的可达性值,并利用Pearson相关系数分析公园绿地的社会公平性差异及其成因。
结果①上城区各类公园质量存在较大差异,综合得分高于平均值的公园绿地占21.37%。②不同交通模式下的可达性程度差异较大,步行模式下65.98%的居住小区可达性值极低,而公共交通模式下可达性值极低的小区占33.81%;随着时间阈值的增大,可达性均出现高值扩散、低值消退的趋势;2种交通模式可达性均呈现集聚分布,公共交通模式下集聚程度更高。③上城区公园绿地存在社会不公平现象,步行模式下不公平程度最高,公平性低值达74.8%;叠加分析显示:不公平区域集中在上城区中部,呈片状分布。
结论公园绿地供给与老龄人口需求之间存在不公平现象。将来,在城市绿地规划建设时应提升现有公园绿地服务质量,完善交通网络,适度增加绿地数量和改善小区居住环境。图7表2参36
2024, 41(4): 830-840.
doi:10.11833/j.issn.2095-0756.20230506
摘要:
目的研究国家重点生态功能区用地结构转变对生态系统服务功能的影响,对编制地方经济社会发展计划和调整国土资源合理配置有重大参考价值。
方法利用安徽省太湖县2000、2010、2020年3期土地利用数据,建立转移矩阵分析土地利用变化规律,在600 m×600 m格网尺度下计算生态系统服务价值的空间定量,并运用空间自相关探究生态系统服务价值对土地利用变化的时空聚集特征与冷热点分异规律。
结果①2000—2020年太湖县土地利用面积变化的速度总体缓慢,建设用地增长了1.43%,耕地减少了1.00%,草地、林地、耕地面积逐年下降,建设用地逐年增加;②土地利用综合变化指数高于0,全县的土地利用变化结构正处于成长期;③20 a来,太湖县各土地利用类型的生态系统服务价值均出现一定程度的下降,其中水域和林地对研究区生态系统服务价值总量的贡献率最高;④土地利用变化对生态系统服务价值空间分布呈正相关,以低-低聚集区和高-高聚集区为主,随着土地利用结构的改变,集聚的相关度也随之增加。从冷热点分布状况看,太湖县生态系统服务价值变化量在总体上呈现“中热北冷,南部冷热分异明显”的分布特征。
结论太湖县不同土地利用类型生态系统服务价值的数量和空间分布差异明显,需要关注水体面积保护与南部建设用地扩张两者的土地资源配置优化问题,加强对土地利用结构的优化和生态用地空间格局的提升。图4表7参31
2024, 41(4): 841-849.
doi:10.11833/j.issn.2095-0756.20230601
摘要:
目的现有叶面积指数(LAI)产品大多存在分辨率低、数据异常和精度低等问题,难以满足某些应用需求。因此,本研究提出一种多源LAI数据的融合方法,以减少不同来源数据的差异并提高产品精度。
方法以帽儿山实验林场的阔叶林和针叶林区域为研究区,基于2017年的MODIS、VIIRS和PROBA-V 的LAI产品,利用多年LAI数据作为先验知识建立LAI背景库修正低质量数据,对3种LAI数据集进行混合像元分解的降尺度处理,基于Sentinel-2反射率产品耦合集合卡尔曼滤波(EnKF)算法、LAI动态模型和辐射传输模型进行数据同化,最后对同化后的3种LAI数据进行赋权融合,使用实测数据进行精度评价。
结果在阔叶林,同化后的MODIS、VIIRS和PROBA-V LAI与实测数据的相关系数分别为0.59、0.56和0.62,比原始数据提升了0.57、0.52和0.57;均方根误差分别为0.37、0.31和0.14,比原始数据减小了1.23、1.69和1.06。在针叶林,同化后的MODIS、VIIRS和PROBA-V LAI与实测数据的相关系数分别为0.59、0.49和0.56,比原始数据提升了0.52、0.30和0.40;均方根误差分别为0.24、0.28和0.19,比原始数据减小了1.22、0.67和1.35。通过融合方法,阔叶林LAI和针叶林LAI的相关系数分别为0.83和0.76,比同化后数据的相关性更高;均方根误差分别为0.15和0.13,比同化后数据的误差更小。
结论通过数据同化提升了3种LAI产品精度,融合后LAI较同化后单一LAI具有更高的精度和可靠性。图4表2参30
2024, 41(4): 850-860.
doi:10.11833/j.issn.2095-0756.20230478
摘要:
目的在乡村振兴和共同富裕背景下,探索提升不同地域类型乡村空间活力的具体路径,为乡村发展提供科学依据。
方法以浙江省泰顺县为研究对象,从乡村生活、生态、生产活力3个维度系统构建乡村空间活力指数评价体系,应用综合评价法研究乡村空间活力发展的空间差异,利用纵横对比法识别各乡(镇)主导活力和短板活力,探索各类型区差异化提升路径。
结果①泰顺县乡村空间活力空间分异特征明显,总体呈“局部高值,北高南低”,大部分乡(镇)的活力水平比较低;各项子系统活力不尽相同,乡村生活、生态、生产空间活力分别呈现“局部低值,西高东低”“北高南低” “局部突出,四周高中间低”的空间分布特征。②以主导活力和短板活力为划分原则,将泰顺县划分为综合发展型、主导发展型、极化发展型和欠缺发展型四大类,并根据不同地域类型提出活力提升策略:综合发展型应高效利用各自的优势资源,形成强对弱的对点帮扶,联合活化,推进泰顺县乡村空间活力的跨越式提升;主导发展型应发挥自身优势活力整合协调其他活力;极化发展型应在提升主导活力的基础上重点考虑积极探索特色发展道路,补齐短板活力;欠缺发展型应深入挖掘文化、生态等核心资源,明确发展定位。
结论泰顺县乡村活力水平整体较低,各乡(镇)也有不同的优劣势,体现了活力水平发展的不平衡不充分特征。提出差异化提升路径以期对泰顺县实现乡村振兴发展有一定的指导作用。图2表3参25
2024, 41(4): 861-869.
doi:10.11833/j.issn.2095-0756.20230586
摘要:
目的研究竹龄及竹秆纵向部位对簕竹
Bambusa blumeana材性及纤维性能的影响,为簕竹的开发利用提供理论和实践依据。
方法通过范式洗涤法、纤维离析与显微观察、碱煮法对竹龄(1、2、3、4 a)和竹秆纵向部位(基部、中部、梢部)的簕竹密度、纤维形态、化学组分、力学性能、纤维束拉伸性能进行性能分析。
结果随竹龄的增长,簕竹的气干密度、全干密度、木质素质量分数、拉伸强度、顺纹抗剪强度随之增大,纤维素质量分数逐渐降低。竹龄为2、3、4 a的簕竹,其竹秆不同纵向部位的平均长度差异极显著(
P<0.01)。簕竹的纤维形态受竹秆纵向部位的影响较为明显。簕竹竹秆纵向部位基部至梢部,气干密度、全干密度、木质素质量分数、抗弯强度、顺纹抗剪强度及纤维束拉伸强度和模量均增大,纤维素质量分数逐渐降低。竹龄和竹秆纵向部位对半纤维质量分数、苯醇抽提物质量分数的影响不显著。
结论簕竹纤维性能优良,在纤维化开发利用方面具有较大潜力。簕竹不同竹龄及竹秆纵向部位性能差异显著,其中竹龄为3和4 a的簕材可作为加工开发的优先选取材料。图5表3参40
2024, 41(4): 870-878.
doi:10.11833/j.issn.2095-0756.20230585
摘要:
目的以木质素磺酸钠(SLS)为原料,制备胺化改性的木质素磺酸钠以及共价有机框架聚合物/胺化木质素磺酸钠复合材料,考察它们作为吸附材料对刚果红的吸附性能。
方法木质素磺酸钠与甲醛、二乙烯三胺经曼尼希反应制得胺化木质素磺酸钠(ASLS),采用红外光谱(FTIR)和扫描电镜(SEM)对吸附剂的表面官能团和形貌进行了表征。考察刚果红起始质量浓度、ASLS用量、溶液pH、吸附时间等对材料吸附效果的影响;探究ASLS的吸附动力学和循环再生性能。制备富含醌共价有机框架聚合物(AQ-COF),对比ASLS、AQ-COF、AQ-COF/ASLS材料对刚果红的吸附效果。
结果FTIR和SEM表征结果显示:木质素磺酸钠成功胺化,ASLS与AQ-COF复合后自组装成棒状纳米结构。ASLS吸附结果表明:刚果红起始质量浓度为200 mg·L
−1,ASLS用量为70 mg,pH为1~5时,吸附率达95%以上,并在80 min内达到吸附平衡,吸附过程符合准二级吸附动力学模型和Langmuir等温吸附模型,吸附过程主要为化学吸附。30 mg ASLS中添加少量AQ-COF (2 mg),复合吸附剂吸附率可达80%以上。
结论胺化改性木质素磺酸钠对刚果红有良好的吸附效果,且具有优秀的再生性能,可以作为刚果红的优良吸附剂;共价有机框架聚合物AQ-COF与ASLS复合制备的复合吸附剂可以提升ASLS对刚果红的吸附能力,表明共价有机框架聚合物在刚果红吸附领域有良好的应用前景。图9表2参25
2024, 41(4): 879-886.
doi:10.11833/j.issn.2095-0756.20230473
摘要:
维管形成层位于木质部和韧皮部之间,负责诸多生长和发育过程,在木材生产上也起重要作用。开展木本植物形成层活动的内部分子机制研究,对木本植物径向生长和林木生物量的增加具有重要的理论价值。深度成像结合基因表达分析技术是一种前沿研究方向,数学建模和仿真结合实时成像在模拟形成层生长和潜在的分子过程中有重要应用前景。基于该技术,总结了当前形成层活动分子层面的部分代表性成果,并对未来研究提出展望。目前植物形成层活动的分子研究主要集中在:①形成层活动受到植物激素信号的调控;②转录因子、肽受体信号调控形成层活动;③形成层活动受到受体激酶信号的调控。主要结论为:WOX4、WOX14、HB4、HB7、HB8、ANT等正向调控树木形成层活动,可作为木材增粗育种转基因的首选。未来通过计算机模型剖析形成层内细胞间通信联系,能够更全面地解析木本植物维管形成层发育分子机制。表3 参68
维管形成层位于木质部和韧皮部之间,负责诸多生长和发育过程,在木材生产上也起重要作用。开展木本植物形成层活动的内部分子机制研究,对木本植物径向生长和林木生物量的增加具有重要的理论价值。深度成像结合基因表达分析技术是一种前沿研究方向,数学建模和仿真结合实时成像在模拟形成层生长和潜在的分子过程中有重要应用前景。基于该技术,总结了当前形成层活动分子层面的部分代表性成果,并对未来研究提出展望。目前植物形成层活动的分子研究主要集中在:①形成层活动受到植物激素信号的调控;②转录因子、肽受体信号调控形成层活动;③形成层活动受到受体激酶信号的调控。主要结论为:WOX4、WOX14、HB4、HB7、HB8、ANT等正向调控树木形成层活动,可作为木材增粗育种转基因的首选。未来通过计算机模型剖析形成层内细胞间通信联系,能够更全面地解析木本植物维管形成层发育分子机制。表3 参68



























