2024年 第41卷 第6期
2024, 41(6): 1105-1113.
doi:10.11833/j.issn.2095-0756.20240574
摘要:
目的树木茎干木质部生长动态被认为是对环境变化敏感的指标之一,因此明确木质部年内形成过程对于阐明树木与气候的关系具有重要意义。
方法利用微树芯技术,对茎干周期性采样(7~10 d),通过切片观察河南洛阳市4种环孔材树种楸树
Catalpa bungei、樟树
Cinnamomum camphora、白蜡
Fraxinus chinensis和栾树
Koelreuteria paniculata的木质部年内径向生长动态,并利用Gompertz模型对测量的木质部径向生长累积量进行拟合。
结果①4个树种形成层活动时间集中在3月上旬至10中旬,其中楸树最短,为(189.0±14.6) d,樟树最长,为(216.0±17.4) d。②4个树种木质部形成动态相似,均呈S型生长曲线,在11月初完成径向生长,最大生长速率出现在5月中旬。但不同树种的年内径向生长量差异较大,其中白蜡最短,为(5 807.0±2 192.9) μm,楸树最长,为(8 276.0±1 744.2) μm。③气温可能是影响本地区树木径向生长的主要气候因子,气温和地表温度与树木径向生长均呈极显著正相关(
P<0.01)。降水量只与樟树生长呈显著正相关(
P<0.05),这可能是因为樟树的导管直径与导管面积均最小,对水分条件较敏感。
结论洛阳市4个树种的径向生长都与气温呈极显著正相关,并且半环孔材樟树对气候因子的响应要强于其他3个环孔材树种。图5表4参52
2024, 41(6): 1114-1123.
doi:10.11833/j.issn.2095-0756.20240253
摘要:
目的全球气温上升和降水格局变化导致的频繁干旱对森林生态系统造成了重大影响,因此,研究植物干旱前后水分利用和适应的机制至关重要。
方法以杉木
Cunninghamia lanceolata幼苗为研究对象,设置4个降水量梯度和2个降水间隔的双因素控制试验,研究杉木幼苗不同器官中非结构性碳水化合物(NSC)及其相关组分质量分数对降水量和降水间隔变化的响应。
结果随着降水量减少,杉木幼苗的NSC质量分数在吸收根、运输根、枝条和叶中均呈先增加后减少的趋势,在枝干中则持续下降,杉木幼苗通过增加运输根、吸收根、叶和枝条的NSC质量分数,同时将吸收根的淀粉水解转化成可溶性糖,来调节细胞内的水势;可溶性糖质量分数在运输根和枝干中均呈持续减少的趋势,在吸收根、叶和枝条中先增加后减少;淀粉质量分数在所有器官中均呈先增加后减少的趋势;当降水量过少时,杉木幼苗会消耗体内的NSC,优先供给吸收根的生存需求,导致运输根、枝条和枝干的NSC质量分数显著下降(
P<0.05)。延长降水间隔,杉木幼苗叶和运输根的NSC质量分数显著上升(
P<0.05);叶的可溶性糖质量分数显著下降(
P<0.05),运输根的可溶性糖质量分数显著上升(
P<0.05)。
结论土壤含水量应保持在当地多年旱季月平均降水量的50%以上,可提高杉木人工林在降水格局变化下的存活率,降水量较高的地区可以适当延长浇水间隔。图3表1参51
2024, 41(6): 1124-1133.
doi:10.11833/j.issn.2095-0756.20240180
摘要:
目的分析桉树
Eucalyptusspp.人工林生物量分配格局随林龄的变化特征,为精准评估中国桉树产业碳储量及碳汇提供理论依据和数据支持。
方法以雷州半岛尾巨桉
E. urophylla×
E. grandis人工林为研究对象,采用整株收获法测定1、2、3、6、10 年生的57株尾巨桉各器官的生物量,并利用胸径(
D
BH)、树高(
H)和胸径-树高(
D
BH
2
H和
D
BH
H)作为自变量分别建立不加入林龄变量与加入林龄变量的各器官生物量、地上生物量和总生物量的异速生长模型,进而筛选最优模型。
结果尾巨桉各器官的生物量均随林龄增大而增大,但各器官生物量占总生物量的比例随林龄变化的特征并不相同,其中干生物量占比随林龄的增大而增大,由1年生的45.21%增长至10年生的68.25%;枝和叶的生物量占比则随林龄的增大而减小,分别由1年生的19.43%和16.31%减少至10年生的10.51%和2.91%;根生物量占比随林龄先增大后减小,由1年生的19.05%增长至3年生的25.21%后,逐渐下降到10年生的18.33%。尾巨桉的根冠比为0.16~0.39。在各器官生物量最优模型选择上,以
D
BH为自变量且未加入林龄变量的模型对根生物量和总生物量的预测优于其他模型;以
D
BH
2
H为自变量且加入林龄变量的模型对叶生物量和地上生物量的预测最佳;以
D
BH、
H和林龄3个变量为自变量的模型对枝生物量的预测最佳;在对干生物量的预测精度对比中,以
D
BH
H与以
D
BH
2
H+林龄为自变量的预测模型之间无显著差异,均能较好地预测干生物量。
结论林龄对尾巨桉人工林各器官生物量分配比例影响较大,加入了林龄的异速生长模型对桉树人工林枝、叶和地上生物量的预测精度显著改善。图2表4参45
2024, 41(6): 1134-1141.
doi:10.11833/j.issn.2095-0756.20240148
摘要:
目的胡杨
Populus euphratica林的普遍退化严重威胁着干旱区绿洲的生态安全,因此,摸清胡杨林的健康状况,对胡杨林的可持续经营具有重要意义。
方法以沙漠腹地达里雅布依绿洲胡杨林为研究对象,在对区域内68个典型样地进行野外调查的基础上,从森林生产力、森林群落结构和生境因子指标等方面选取了17项指标,运用主成分分析和聚类分析法,构建适用于该区域胡杨林的健康评价指标体系和模型,计算森林健康指数,综合评价该地区胡杨林的健康状况。
结果①达里雅布依绿洲胡杨林整体森林健康状况较差,有29.4%处于不健康状态,33.8%处于中健康状态,30.9%处于亚健康状态,5.9%处于健康状态。地下水埋深、全氮、郁闭度、Simpson指数以及Shannon-Wiener指数是影响森林健康程度的主要因子。②达里雅布依绿洲胡杨林中,深地下水埋深森林健康指数显著低于浅地下水埋深和中地下水埋深(
P<0.05),森林健康水平相对较低。浅地下水埋深森林健康水平相对较高。整体来看,不同地下水埋深森林健康指数:浅地下水埋深(0.65)>中地下水埋深(0.45)>深地下水埋深(0)。③在达里雅布依绿洲不同区域胡杨林中,北部胡杨林的森林健康指数显著低于中部和南部,显示出较低的健康水平,南部森林健康水平相对较高。从北部、中部到南部,森林健康指数总体呈现逐渐上升的趋势,各区域森林健康指数:南部(0.61)>中部(0.58)>北部(−0.01)。
结论达里雅布依绿洲整体胡杨林健康水平较差,地下水位越浅,胡杨健康指数就越高,不同区域中,从南部、中部到北部胡杨林健康指数呈现降低趋势。图2表2参29
2024, 41(6): 1142-1149.
doi:10.11833/j.issn.2095-0756.20240170
摘要:
目的目前区域野猪
Sus scrofa科学防控的难点在于难以达到精细化防控的水平,特别是以县域为基础的行政单元防控策略制定时,大多缺乏案例和实践经验,亟待从理论、实践到方法应用的示范性监测和评估。
方法2021年1月至2023年8月,在浙江省龙游县境内,以红外相机获取的1 308张野猪独立有效照片为材料,采用随机相遇模型对野猪种群密度进行估算,并基于核密度估计法分析野猪种群在当地的活动节律。
结果龙游县野猪种群的密度为0.957~1.291头·km
−2;结合适宜栖息地面积推算,县内野猪的总数量为417~563头,分布规律整体呈现南部山区>北部山区>中部地区。在栖息地选择上,野猪种群喜好在针叶林(物种相对多度指数
I
RA=38.45%)、针阔混交林生境(
I
RA=24.39%),以及当地1 100~1 300 m的中高海拔区间段(
I
RA=57.25%)活动。春冬季日活动节律基本相似,呈现单峰型;夏季日活动节律呈双峰型,主要峰值出现在日出日落前后;秋季日活动节律无明显起伏;四季均在17:00呈现较大的种群密度。种群在海拔梯度上存在极显著的季节性迁移行为(
P<0.01)。
结论龙游县野猪分布具有明显的空间异质性,同时活动节律受海拔、季节等因素的影响。本研究结论将为龙游县野猪防控政策的提出和制定提供科学依据,并为县域野猪密度的估计和活动节律研究提供参考案例。图2表4参29
2024, 41(6): 1150-1159.
doi:10.11833/j.issn.2095-0756.20240282
摘要:
目的探究奇异核桃
Juglans hindsii×
J. regia JrDHN过表达株系在干旱过程中体内的生理与分子响应及其分子机制,为培育核桃
J. regia抗旱品种提供理论依据。
方法对生长健壮的过表达
JrDHN核桃苗(
JrDHN1、2、3)进行不同时间的聚乙二醇(PEG)模拟干旱胁迫处理,野生型奇异核桃苗(WT)为对照。从核桃苗的表型、抗氧化酶活性、活性氧含量等多方面观察过表达
JrDHN株系对干旱胁迫的响应。通过荧光定量PCR (qPCR)对体内的抗旱相关基因
MYB、
ADH、
CAM做了表达量分析。
结果阳性植株经qPCR验证,证实
JrDHN基因在核桃苗中过表达,在
JrDHN1、2、3中的表达量分别为WT的2.55、1.72、1.49倍;干旱处理0~28 d下过表达株系的表型均优于WT,干旱处理14 d时,
JrDHN过表达株系的气孔开度比均显著低于WT;抗氧化酶(SOD、POD、CAT)活性均呈先升高后降低的趋势,且在14 d时达到最大值,其中
JrDHN1的过氧化酶活性均高于WT,SOD及POD差异极显著(
P<0.01),CAT活性差异显著(
P<0.05);干旱处理28 d时叶绿素质量分数达到最小值,此时
JrDHN过表达株系叶绿素极显著高于WT (
P<0.01);丙二醛(MDA)、过氧化氢(H
2O
2)和超氧阴离子自由基(O
2
·−)含量随着干旱时间的延长呈逐渐上升趋势,在28 d时达到最大值,
JrDHN1 的MDA、H
2O
2和O
2
·−含量均极显著低于WT;抗旱相关基因
MYB、
ADH、
CAM的表达量均呈先上升后下降的趋势,14 d时,
MYB、
ADH、
CA基因表达量均显著高于WT (
P<0.05)。
结论
JrDHN过表达转基因核桃苗在PEG模拟干旱胁迫下的表型、光合能力和抗氧化能力均强于WT,
JrDHN在模拟干旱胁迫下可以有效提升抗氧化酶系统活力,清除活性氧,减少细胞受到的损伤,从而提高植株的抗旱性。图8表1参34
2024, 41(6): 1160-1169.
doi:10.11833/j.issn.2095-0756.20240195
摘要:
目的转座子(TE)是真核细胞基因组的重要组成部分,在毛竹
Phyllostachys edulis基因组超过63%时,易受胁迫诱导激活。分析非生物胁迫下,来源于转座子的不确定编码潜力转录本(TUCP)的表达模式,为转座子参与毛竹抗逆分子机制提供参考。
方法采用生物信息学技术和手段,在低温、高温、高盐、紫外照射等4种胁迫处理下,研究毛竹TE-TUCPs及转座子邻近基因的转录特性和转录模式。通过实时荧光定量PCR (RT-qPCR)验证转录组来源的TE-TUCPs差异表达数据的可靠性。
结果在毛竹4个胁迫处理转录本中,共鉴定出57 627个TE-TUCPs。TE-TUCPs应对不同非生物胁迫表现出特异性表达模式。高温、高盐、紫外照射处理可以促进具有转录活性的TE-TUCPs附近基因差异表达,但是低温会抑制具有转录活性的TE-TUCPs附近基因差异表达。
结论TE-TUCPs主要来源于Ty1/
Copia和Ty3/
Gypsy超家族。基因的表达潜能与近距离的TE-TUCPs表达潜能互相抑制。TE-TUCPs转录情况会受到非生物胁迫作用来调控附近基因的表达以适应胁迫影响。图7表2参44
2024, 41(6): 1170-1179.
doi:10.11833/j.issn.2095-0756.20230603
摘要:
目的研究普通油茶
Camellia oleifera杂交子代种仁油脂相关性状的遗传变异规律,为杂交育种中的亲本选配提供依据。
方法以普通油茶5个优良无性系为亲本进行5×5全双列杂交(无自交),测定20个杂交子代家系的种仁含油率和木质素、纤维素和半纤维素质量分数,分析性状间的相关性,明确亲本的一般配合力和杂交组合的特殊配合力,解析各性状的遗传变异规律。
结果20个家系的种仁含油率为252.30~537.08 mg·g
−1,木质素质量分数为49.64~222.20 mg·g
−1,纤维素质量分数为42.11~130.43 mg·g
−1,半纤维素质量分数为3.72~111.96 mg·g
−1。种仁含油率以及木质素、纤维素和半纤维素质量分数在20个家系间均存在极显著差异(
P<0.01),且4个性状间存在极显著的相关性(
P<0.01),含油率与木质素质量分数相关性系数最高,为−0.47。除木质素质量分数的特殊配合力和含油率的反交效应外,亲本在4个性状中的一般配合力、特殊配合力和反交效应均差异极显著(
P<0.01)。种仁含油率和半纤维素质量分数受加性效应和显性效应共同控制,且显性方差大于加性方差;木质素质量分数主要受加性效应控制,纤维素质量分数则主要受显性效应控制。4个性状的广义遗传力为7.86%~14.03%,狭义遗传力为0~14.03%,均受到较强的环境效应影响。
结论根据配合力分析结果,筛选出2个普通油茶优良亲本‘长林4号’和‘长林40号’,2个优良组合‘长林40号’ב长林95号’和‘长林4号’ב长林53号’。表8参35
2024, 41(6): 1180-1188.
doi:10.11833/j.issn.2095-0756.20240326
摘要:
目的黄烷酮3-羟化酶(F3H)是植物类黄酮合成的关键酶。研究掌叶覆盆子
Rubus chingii
RcF3
H基因与类黄酮代谢的关系并分析其生物学功能,可为进一步探究
RcF3
H在掌叶覆盆子类黄酮物质积累过程中的作用机制提供参考。
方法在掌叶覆盆子中克隆
RcF3
H基因,并进行生物信息学分析,包括理化性质、同源性比对、系统进化树和启动子顺式作用元件等。检测
RcF3
H基因在不同组织器官、果实生长时期以及在外源茉莉酸甲酯(MeJA)诱导下的表达水平。
结果2-酮戊二酸依赖性双加氧酶(2-ODD)家族基因
RcF3H位于第一条染色体,片段长度为1 098 bp,由1个外显子构成,共编码了365个氨基酸。RcF3H属于亲水性稳定蛋白,亚细胞预测定位在细胞质上。RcF3H蛋白的二、三级结构主要由α-螺旋和无规则卷曲组成,与插田泡
Rubus coreanus及拟南芥
Arabidopsis thaliana等双子叶植物的亲缘关系最近。
RcF3
H基因启动子区域含有多个顺式作用元件,功能集中于响应激素和应对胁迫等方面。
RcF3
H基因在掌叶覆盆子果实中表达量较高,有明显的组织特异性。
RcF3
H基因表达变化与类黄酮物质在掌叶覆盆子果实中积累规律一致,并在100 μmol·L
−1MeJA处理下表达量上升。
结论
RcF3
H响应外源MeJA刺激,并可能作为掌叶覆盆子类黄酮生物合成的正向调节因子,影响类黄酮的积累。图8表2参28
2024, 41(6): 1189-1200.
doi:10.11833/j.issn.2095-0756.20240264
摘要:
目的研究遭受松材线虫
Bursaphelenchus xylophilus病危害的马尾松
Pinus massoniana林土壤有机碳及其活性组分分布特征,揭示采伐后自然恢复对马尾松次生林土壤碳汇的影响机制,为有机碳库管理提供科学支撑。
方法2023年3—6月在浙江省杭州市余杭区与临安区,采用空间替代时间调查法,以未遭受危害的马尾松林为对照(ck),设置4种植被恢复类型:中度采伐恢复5 a (ML
5)、中度采伐恢复15 a (ML
15)、重度采伐恢复5 a (HL
5)和重度采伐恢复15 a (HL
15),比较不同采伐强度采伐后自然恢复下马尾松次生林各土层(0~10、10~20、20~40 cm)土壤有机碳、易氧化碳、颗粒有机碳、微生物生物量碳、水溶性有机碳的变化特征,分析其与土壤理化性质的关系,探究其机制。
结果①各处理不同土层土壤有机碳及其活性组分质量分数从大到小依次均为土壤有机碳、易氧化碳、颗粒有机碳、微生物生物量碳、水溶性有机碳,且随着土层加深其质量分数相应降低, ML
15的0~10 cm土层中土壤有机碳质量分数最高,为33.53 g·kg
−1, ck的20~40 cm土层中水溶性有机碳质量分数最低,为136.55 mg·kg
−1。②相同采伐强度下的马尾松次生林土壤各活性有机碳质量分数均表现为随着其自然恢复年限增加而提高,其中各土层间颗粒有机碳质量分数变化最大,15 a的各土层高于5 a各土层的2.6倍以上;③ML
15的0~10 cm土层中各活性有机碳组分质量分数均表现为最高,且均显著高于ck (
P<0.05);④相关性分析表明:土壤中各活性有机碳组分之间及其与硝态氮、铵态氮均呈显著正相关关系(
P<0.05)。
结论中度采伐对马尾松次生林土壤有机碳及其活性组分具有更显著的促进作用,随自然恢复时间越长越有利于土壤活性有机碳组分质量分数增加,适度采伐马尾松纯林并让其自然恢复可促进土壤碳库积累。图3表3参46
2024, 41(6): 1201-1210.
doi:10.11833/j.issn.2095-0756.20240185
摘要:
目的探讨间伐后不同恢复时间下秦岭松栎混交林土壤理化性质和土壤胞外酶活性的变化,研究该地区抚育间伐措施对森林生态系统养分循环过程,为制定森林可持续经营方案及合理的生态恢复措施提供理论依据。
方法采用空间代替时间的方法,对松栎混交林间伐后不同恢复时间(5、13 a)的表层土壤(0~10 cm)理化性质和胞外酶活性进行测定,并计算各处理样地酶化学计量比和酶矢量,以未间伐为对照。
结果①间伐后土壤pH提高,恢复13 a时土壤全磷、微生物量碳和微生物量氮质量分数显著增加(
P<0.05),土壤有效氮质量分数降低。土壤有机碳质量分数在恢复5 a时显著下降(
P<0.05),在13 a时逐渐恢复至间伐前水平。②间伐恢复显著降低了β-木糖苷酶、氮获取酶和酸性磷酸酶的活性(
P<0.05),提高了β-葡糖苷酶活性;酚氧化物酶和过氧化物酶活性在间伐恢复初期(5 a)表现为降低趋势, 13 a时恢复到间伐前水平。③间伐恢复13 a时土壤碳获取酶/氮获取酶比值(
E
C/N)、土壤碳获取酶/磷获取酶比值(
E
C/P)和酶矢量长度显著提高(
P<0.05),间伐恢复5 a时
E
C/P和土壤氮获取酶/磷获取酶比值(
E
N/P)显著提高,同时酶矢量角度也显著降低(
P<0.05)。
结论随间伐恢复时间延长,土壤养分、有机碳和氧化酶活性呈现逐渐恢复的趋势;pH是影响土壤酶活性及酶矢量变化的关键因子。间伐导致土壤微生物在初期恢复阶段的磷限制有所缓解,后期并未改变受碳、磷共同限制的状况。图3表4参41
2024, 41(6): 1211-1221.
doi:10.11833/j.issn.2095-0756.20240571
摘要:
目的探讨林分密度对油松
Pinus tabuliformis人工林生物量与土壤理化性质的影响,为油松人工林高质量发展和生态服务功能持续稳定发挥提供理论支撑。
方法以山西省临汾市吉县蔡家川流域30年生油松人工林为研究对象,采用标准木法测算不同密度条件下单株生物量及林分生物量,并测定土壤理化性质,分析林分密度对油松林生物量及土壤理化性质的影响,采用冗余分析(RDA)及斯皮尔曼(Spearman)相关性分析确定油松林生物量与土壤理化性质之间的关系。
结果①不同密度油松人工林的单株生物量和林分总生物量差异显著(
P<0.05),且随林分密度的增加,单株生物量逐渐减少,林分总生物量在密度1 750 株·hm
−2时具有峰值;②不同密度油松人工林地土壤理化性质差异显著(
P<0.05),其中土壤孔隙度在林分密度
1750
株· hm
−2时最大,达52.38%,林地土壤含水量在林分密度2 750 株· hm
−2时最高,达13.84%,土壤肥力状况则在林分密度
1750
株·hm
−2时最佳;③通过冗余分析及斯皮尔曼相关分析发现:土壤总孔隙度、有机碳和速效磷与林分总生物量均呈极显著相关(
P<0.01),地下生物量受到土壤含水量的显著影响(
P<0.05)。
结论以固碳释氧和维持最大生产力为目的,以及以提高土壤碳汇能力和改良肥力为目的的油松林,林分密度建议维持在1 750 株·hm
−2左右的油松林;以保持水土和改良土壤蓄水性能为目的的油松林,林分密度建议维持在1 750~2 750 株·hm
−2。图4表5参40
2024, 41(6): 1222-1232.
doi:10.11833/j.issn.2095-0756.20240171
摘要:
目的探讨原始及铁改性生物质炭对复合污染农田土壤中养分及砷(As)、铅(Pb)生物有效性的影响。
方法分别采用质量分数为2%的原始细叶榕
Ficus microcarpa生物质炭(FMB)和聚合硫酸铁改性细叶榕生物质炭(Fe-FMB)与受砷铅复合污染土壤混合,以未施加生物质炭的土壤作为对照,进行水稻
Oryza sativa盆栽试验,测定不同生长阶段土壤养分、土壤酶活性以及水稻各器官和土壤中As和Pb的质量分数。
结果与对照组相比,Fe-FMB显著提高了土壤中磷(P)、硅(Si)等养分的有效性(
P<0.05),显著改变了土壤中硅(Si)的形态分布,主要增加了无定型硅(增加25.2%)和铁锰氧化态硅质量分数(增加11.1%)。Fe-FMB对于土壤和水稻稻谷中As的钝化效果更为显著(
P<0.05);而FMB在钝化土壤Pb方面表现更佳,对Pb有效性最高降低了24.9%。此外,Fe-FMB还显著提升了土壤中亮氨酸氨基肽酶、酸性磷酸酶及过氧化氢酶的活性(
P<0.05),增幅分别达121.1%、99.1%及33.2%。Pearson’s相关性分析结果表明,土壤酶活性与pH及土壤As有效性显著相关(
P<0.05),说明施用生物质炭可通过调节土壤pH及As有效性来影响土壤酶活性。
结论原始细叶榕生物质炭适用于修复单一Pb污染土壤。相比之下,铁改性生物质炭在修复砷铅复合污染土壤方面展现出更好的应用前景。图8表2参36
2024, 41(6): 1233-1241.
doi:10.11833/j.issn.2095-0756.20240212
摘要:
目的综合评价生态沟渠在农业面源污染过程阻断中的作用,科学评估生态沟渠各环节对污染物的去除效果。
方法选取浙江省桐庐、临安、建德、东阳、义乌、诸暨已建成的6条生态沟渠进行水质监测,计算生态沟渠对主要农业面源污染(总氮、铵态氮、总磷、化学需氧量)的去除率,并分析了沟渠建设内容对农业面源污染的去除影响。
结果6条沟渠的总氮、铵态氮、总磷、化学需氧量平均去除率分别为18.31%、38.74%、13.49%、23.97%,其中对铵态氮的去除效果较好。义乌沟渠、桐庐沟渠通过建造生态边坡增加了边坡粗糙度,并依靠较窄的沟渠宽度增加了水流与边坡接触面积,延长了水流停留时间,对总氮、铵态氮表现出较高的去除效果,并与进水负荷呈线性关系(
P<0.05)。诸暨沟渠植物密度高,表现出较好的总磷去除效果。同时,反硝化除磷装置数量对总氮、铵态氮、总磷和化学需氧量呈显著的正相关关系(
P<0.05),是生态沟渠拦截农业面源污染的关键因素。
结论在浙江省生态沟渠中,建设生态边坡,增设反硝化除磷装置,增大植物密度均可强化生态沟渠的水质净化作用。图4表2参34
2024, 41(6): 1242-1251.
doi:10.11833/j.issn.2095-0756.20240217
摘要:
目的分析湖北贝母
Fritillaria hupehensis鳞茎中氮、磷、钾质量分数及积累量的年变化规律,探讨不同氮肥用量对湖北贝母干物质及各生物碱积累的影响,为湖北贝母合理施肥提供科学依据。
方法以湖北省恩施市新塘乡境内种植的湖北贝母为材料,在磷肥(五氧化二磷)、钾肥(氧化钾)用量均为102.4和86.4 kg·hm
−2的条件下,设置4个氮肥处理:不施氮肥(N0)、氮肥用量为58.0 kg·hm
−2(N1)、氮肥用量为116.0 kg·hm
−2(N2)、氮肥用量为174.0 kg·hm
−2(N3),分别于苗期、花期、收获期取样,测定不同生育期湖北贝母鳞茎中氮、磷、钾及各生物碱质量分数。
结果随氮肥用量增加,单株湖北贝母鳞茎的干物质,鳞茎中氮、磷、钾及总生物碱,贝母素甲,贝母素乙,湖贝甲素,贝母辛的积累量显著增加(
P<0.05),且均在氮肥用量为116.0 kg·hm
−2时达到峰值。随氮肥用量增加,湖北贝母苗期鳞茎中钾磷比小于3.4,花期及收获期贝母鳞茎中钾磷比均大于3.4;整个生育期内湖北贝母鳞茎中氮磷比小于14.0,氮钾比小于2.1。苗期及收获期,湖北贝母鳞茎中总生物碱、贝母素甲、贝母素乙、湖贝甲素质量分数均随氮肥用量增加而降低;花期湖北贝母鳞茎中贝母素甲、贝母素乙、贝母辛质量分数随氮肥用量增加呈上升趋势。氮肥用量为116.0 kg·hm
−2时,湖北贝母鳞茎中总生物碱、贝母素甲、贝母素乙、湖贝甲素、贝母辛积累量的峰值分别为56.50、4.20、12.73、1.66、3.68 mg·株
−1。相同氮肥用量时,随生育期延长,除贝母辛外,其余各生物碱质量分数均为收获期最高,花期最低。氮肥用量为116.0 kg·hm
−2时,花期至收获期鳞茎中贝母素甲、贝母素乙、贝母辛的积累速率降低。苗期至花期,湖北贝母鳞茎的干物质积累速率较快,花期至收获期鳞茎中总生物碱的积累能力较强。
结论氮肥用量对湖北贝母产量及品质影响显著,过量施用氮肥不利于鳞茎干物质及各生物碱的积累。湖北贝母在不同物候期鳞茎干物质及生物碱的积累是动态的过程,营养生长期以产量提升为主,生殖生长阶段以生物碱积累为主。图4表2参28
2024, 41(6): 1252-1260.
doi:10.11833/j.issn.2095-0756.20240193
摘要:
目的明晰种植密度、施肥以及杂草对小麦
Triticum aestivum生长的影响,可为麦田管理提供科学参考。
方法选取小麦及小麦田优势杂草野燕麦
Avena fatua和稗草
Echinochloa crus-galli为研究对象,设置不同种植密度(4、8、12和16株·盆
−1)、不同种植比例(小麦与杂草种植比例为25%∶75%、50%∶50%、75%∶25%、100%∶0)和施肥的盆栽控制试验,研究不同处理下小麦生物量、株高、叶片和根性状的变化。
结果①无论在单播还是混播条件下,随着种植密度和小麦种植比例的增大,单株小麦的生物量显著减小(
P<0.05),即存在着负密度制约效应;②在单播条件下,施肥显著增大了单株小麦的生物量和叶面积(
P<0.05);在混播条件下,施肥有增加单株小麦生物量、根长和根表面积的趋势,且该结果不具有杂草依赖性;③种植密度、比例和施肥的交互作用主要影响小麦根长和根表面积,而对其余性状作用较小。
结论在单播系统中施肥提高了小麦的地上性状,而在混播系统中施肥则促进了小麦地下性状的增长;不论是单播还是混播,种植密度对小麦的负面密度依赖效应均一致。表明农田管理策略的成效受到与杂草共存关系的影响。图4表1参38
2024, 41(6): 1261-1273.
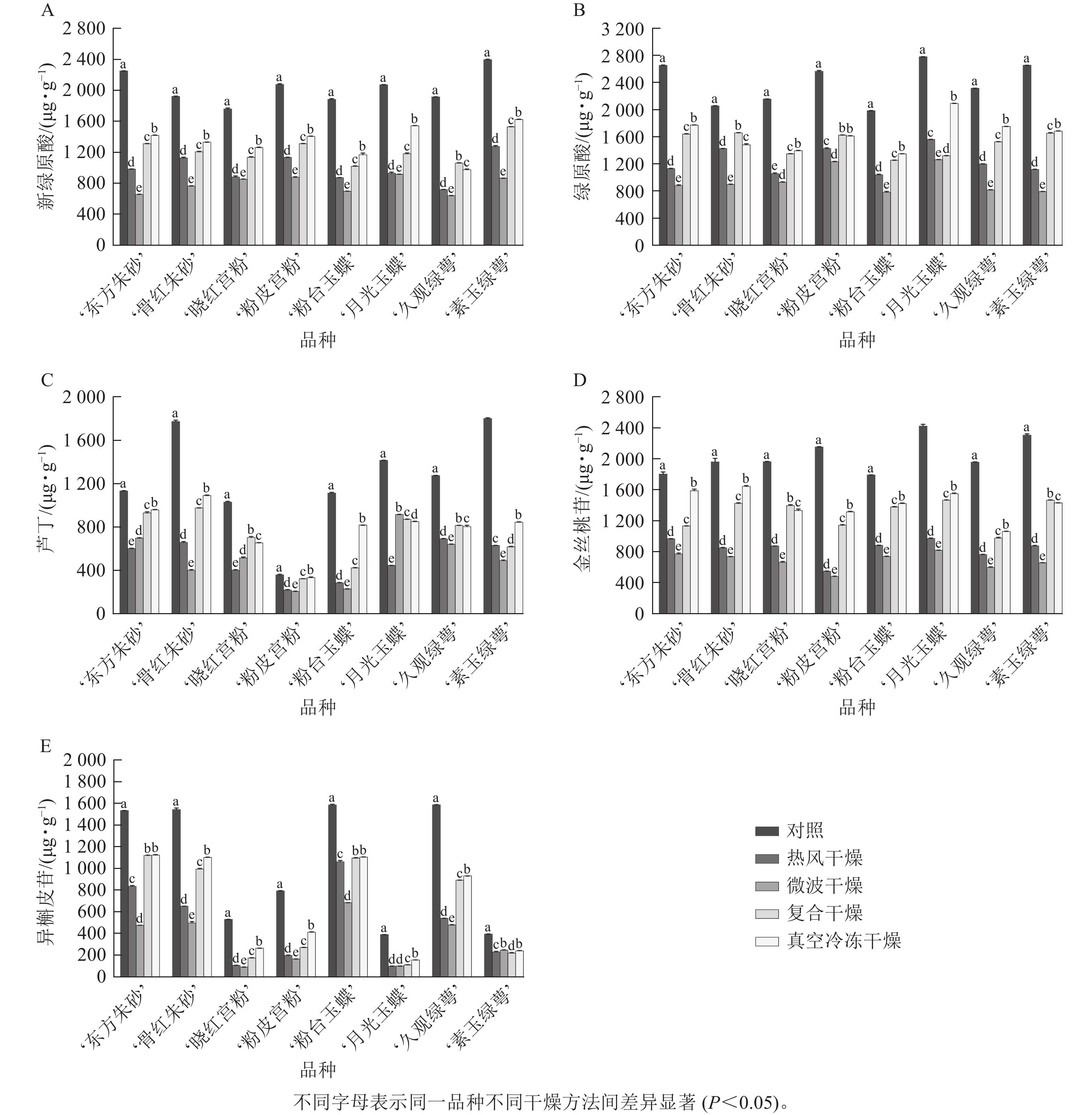
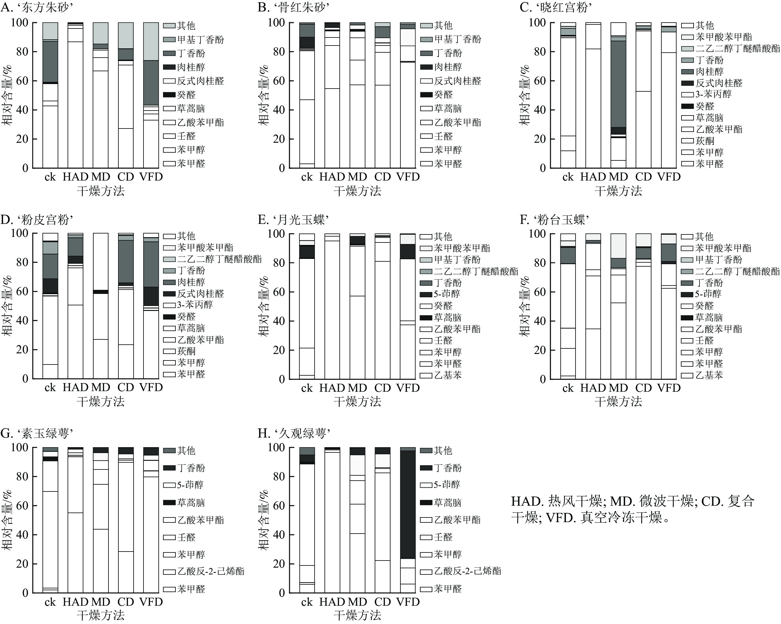
doi:10.11833/j.issn.2095-0756.20240256
摘要:
目的探究不同干燥方法对梅
Prunus mume干花品质的影响,并对其进行综合评价,为实际干燥加工中保持梅花的品质提供参考。
方法采用热风干燥法、微波干燥法、复合干燥法和真空冷冻干燥法对8个梅花品种‘东方朱砂’‘Dongfang Zhusha’、‘骨红朱砂’‘Guhong Zhusha’、‘晓红宫粉’‘Xiaohong Gongfen’、‘粉皮宫粉’‘Fenpi Gongfen’、‘粉台玉蝶’‘Fentai Yudie’、‘月光玉蝶’‘Yueguang Yudie’、‘久观绿萼’‘Jiuguang Lve’、‘素玉绿萼’‘Suyu Lve’的鲜花进行干燥,以色差值、抗氧化能力、总黄酮质量分数等作为评价指标,比较不同干燥方法对梅花品质的影响,运用熵权-变异系数法组合赋权计算综合评分,并用加权逼近理想解排序法验证评价模型,得到最优的干燥方法。
结果4种干燥方法中,真空冷冻干燥处理的梅花色差值与收缩率最小,分别小于33.09、28.7%,且样品总黄酮、花青素、总绿原酸质量分数最高。真空冷冻干燥法与复合干燥法处理材料的可溶性蛋白质质量分数最高,抗氧化能力最强。挥发性成分在复合干燥后保留率最高,大于50%。综合评分排名由高到低依次为真空冷冻干燥组、复合干燥组、热风干燥组、微波干燥组。
结论4种干燥方法中真空冷冻干燥法后有效成分质量分数最高,其次为复合干燥法。真空冷冻干燥与复合干燥后梅花品质较佳,可用于梅花精品加工与干花批量生产。图8表6参29
2024, 41(6): 1274-1282.
doi:10.11833/j.issn.2095-0756.20240243
摘要:
目的以乳清蛋白(WPI)和海藻酸二醛(ADA)为原料制备WPI-ADA共聚物微胶囊,研究WPI和ADA之间的相互作用及对微胶囊中姜黄素控释效果的影响,为开发姜黄素的包埋体系提供理论依据。
方法采用湿热法制备WPI-ADA共聚物,利用接枝度、褐变程度和红外光谱分析探究WPI和ADA之间的相互作用,研究不同比例共聚物对乳液粒径、电位、流变性、X射线衍射、热重分析等理化特性的影响,以及共聚物对微胶囊中姜黄素的释放特性的影响。
结果制备微胶囊最佳的WPI和ADA质量比为1∶3。接枝度、褐变强度和傅里叶红外光谱分析证实了共轭物的形成。在共价结合作用的驱动下,WPI-ADA乳液粒径从415.4 nm减小到325.9 nm,微胶囊包埋率从83.9%增加到95.4%。此外,WPI-ADA共聚物微胶囊表现出较好的热稳定性。体外模拟消化实验结果表明,WPI-ADA共聚物微胶囊对姜黄素表现出缓释行为,且在模拟胃液和模拟肠液中达到最大释放量的时间由12 h延长至24 h。
结论在共价相互作用下,WPI-ADA共聚物能够改善微胶囊的理化性质和姜黄素的释放特性,可用于修饰微胶囊体系和疏水性活性物质的递送。图8表1参27
2024, 41(6): 1283-1292.
doi:10.11833/j.issn.2095-0756.20240169
摘要:
目的研究快速城镇化建设背景下,苏南水网地区绿色空间面临景观破碎化、生境质量下降等问题及其引起的景观生态风险。
方法以江苏省昆山市为研究对象,选取2000、2010、2020年3期土地利用数据,运用景观格局指数构建景观生态风险评价模型,分析2000—2020年昆山市绿色空间景观生态风险时空演变特征,依据景观生态风险等级转移变化特征划定绿色空间管控分区。
结果①2000—2020年,昆山市绿色空间总面积呈持续缩减态势,其中耕地面积下降明显,共减少20 203.11 hm
2,占比下降21.70%;水域面积先小幅增加后持续减少,总体减少3 813.66 hm
2;林地和草地面积占比较小,维持相对平稳。绿色空间用地类型间面积转移矩阵主要表现为耕地转向建设用地,反映出绿色空间受人工建设干扰程度不断增强。②研究期间景观生态风险分布发生一定变化,主要表现为低风险等级向更高一级转变。高、较高风险区面积占比分别增加了8.10%、6.61%,较低、低风险区面积占比分别缩减了8.25%和9.73%。③依据景观生态风险等级转移变化特征将研究区划分为重点修复区、协调缓冲区和优化利用区3类管控分区。
结论研究期间昆山市绿色空间景观生态风险总体呈上升趋势,绿色空间用地类型转变与景观生态风险具有关联性,反映出绿色空间在人为建设活动扰动下生态压力不断增加。基于风险时空演变特征提出绿色空间分区调控策略。图4表5参28
2024, 41(6): 1293-1302.
doi:10.11833/j.issn.2095-0756.20230610
摘要:
目的植被是陆地生态系统中的主体,研究区域植被覆盖时空变化并量化气候变化和人类活动的相对贡献,可为区域未来的生态环境建设和可持续发展提供科学指导。
方法基于延安市2001—2020年的MODIS归一化植被指数(NDVI)数据集和同期气象数据,采用Mann-Kendall趋势分析和偏相关分析、残差分析探讨了NDVI对气候变化和人类活动的响应。
结果①2001—2020年,延安市NDVI年均值为0.69,整体呈明显上升趋势,空间上呈“南部高、北部低”的分布格局。②不同尺度上气温和降水对NDVI的影响存在明显差异。年尺度上,NDVI受降水的影响大于气温;季节尺度上,春季NDVI受到气温和降水的双重影响,夏季降水对NDVI的影响较大,秋、冬季大部分区域NDVI与气温、降水相关性不显著。③延安市NDVI整体呈现改善趋势,明显改善区域面积占比为83.27%。④气候变化和人类活动对植被变化的影响具有双重效应,受气候变化和人类活动共同影响面积占比为91.26%,两者对植被变化的相对贡献率分别为17.81%和82.19%。
结论延安市植被整体呈向好态势,相较于气候因素,人类活动对NDVI变化的驱动作用更强。图7表3参28
2024, 41(6): 1303-1312.
doi:10.11833/j.issn.2095-0756.20240297
摘要:
目的探究不同产业组织模式对非木质林产品价值实现的影响及作用机制,明确非木质林产品等物质类生态产品价值实现有效路径。
方法基于2022年浙江省7个县(市) 811份农户调研数据,实证分析不同产业组织模式对非木质林产品价值实现的影响以及区域公用品牌在其中发挥的作用。
结果相对“市场+农户”的市场交易模式,“合作社+农户”的横向合作模式和“公司+农户”的纵向协作模式均对非木质林产品价值实现具有显著正向影响;机制验证表明:区域公用品牌在产业组织对非木质林产品价值实现过程中起到中介作用;异质性检验发现:经营规模小、采用互联网销售农户的非木质林产品溢价效果更显著。
结论产业组织能够通过促进农户加入区域公用品牌,从而推动非木质林产品价值实现。据此,提出在提高农户组织化程度的同时,需要加强区域公用品牌建设,优化销售渠道等政策启示。表6参35
2024, 41(6): 1313-1322.
doi:10.11833/j.issn.2095-0756.20240187
摘要:
光照是影响植物生长发育的重要环境因素之一。在农业生产中利用提高作物光合效率来提升其产量与品质具有重要的科学意义和应用价值。在密集的植物群落中,由于上层植被的遮盖,下层植物所获得的光能较少,所以下层植物需要竞争更多光能来维持生长。植物有2种对策获取更多光能,即避荫反应和耐荫反应。目前,对避荫反应的研究较为透彻,但对耐荫反应还缺乏深入研究。综述了荫蔽环境下阳生植物通过伸长下胚轴、叶柄与茎等生理形态改变来适应较低光照水平,同时阴生植物通过展现出促进碳的获得能力、具有较低的表型可塑性和提高对胁迫的抗逆能力等耐荫特征来应对有限的光照条件。结合阳生植物通过激素与光信号通路相互作用来响应弱光环境的避荫反应机制,探讨了在荫蔽环境下阴生植物一方面通过激活拮抗因子抑制避荫反应,另一方面通过提高耐荫反应基因转录活性来增强弱光适应性的耐荫反应机制,为不同植物响应弱光环境机制的研究提供参考,同时为提高植物光能利用效率、培育高光效优良作物品种及构建高效森林生态系统提供有效途径。图3参61
光照是影响植物生长发育的重要环境因素之一。在农业生产中利用提高作物光合效率来提升其产量与品质具有重要的科学意义和应用价值。在密集的植物群落中,由于上层植被的遮盖,下层植物所获得的光能较少,所以下层植物需要竞争更多光能来维持生长。植物有2种对策获取更多光能,即避荫反应和耐荫反应。目前,对避荫反应的研究较为透彻,但对耐荫反应还缺乏深入研究。综述了荫蔽环境下阳生植物通过伸长下胚轴、叶柄与茎等生理形态改变来适应较低光照水平,同时阴生植物通过展现出促进碳的获得能力、具有较低的表型可塑性和提高对胁迫的抗逆能力等耐荫特征来应对有限的光照条件。结合阳生植物通过激素与光信号通路相互作用来响应弱光环境的避荫反应机制,探讨了在荫蔽环境下阴生植物一方面通过激活拮抗因子抑制避荫反应,另一方面通过提高耐荫反应基因转录活性来增强弱光适应性的耐荫反应机制,为不同植物响应弱光环境机制的研究提供参考,同时为提高植物光能利用效率、培育高光效优良作物品种及构建高效森林生态系统提供有效途径。图3参61



























