-
随着木材加工产业的快速发展,生产中产生大量的木材加工剩余物,约0.418亿t·a-1[1]。木材加工剩余物是丰富的可再生资源,主要成分是纤维素、半纤维素和木质素。目前,木材加工剩余物的利用途径主要包括用作生物质燃料,作为造纸的人造板的材料、木塑复合等新型复合材料,在可降解环保领域和航天、军事类高端领域的应用等[1-5]。近年来,通过纤维接枝丙烯酸或丙烯酰胺等基团,将竹木屑转变为保水剂,取得了较好的保水效果[6-7]。水是人类生存与社会发展的重要战略资源,被认为是“生命之源”“生产之要”“生态之基”[8]。中国水资源现状不容乐观,虽然淡水总量排在世界第6位,但是人均较少,仅有世界1/4,并且降水分布存在显著空间不均匀性和年际变化特征[9-11]。全球农、林、畜牧以及生物能源生产耗水占到全部降水资源的62.5%[12-13]。中国只有通过建设节水高效的现代农业,才可以基本立足于现有规模的耕地和灌溉用水量来满足未来的需求[14]。然而,许多商品林 (或经济林) 处于无灌溉丘陵、山区地带,如何通过农艺措施特别是水分管理措施来保持和利用天然降水,成为提高山区林业产量和质量的有效途径,而保水剂的特性正好符合以上要求。商品保水剂是一种利用吸水性树脂制成的具有超高吸水保水能力的高分子化学材料[15],具有强吸水性、材料来源广、易制取等特点[16-17],它的使用不但能提高水分利用率,保证水分不流失,同时可减少养分随着水分淋失,从根本上提高土壤的肥力[18]。目前,生产上施用的商品保水剂种类较多,如淀粉类保水剂、纤维素类保水剂、合成聚合物类保水剂和其他天然物及其衍生物系、共混物及复合物的保水剂等[19],在农林业生产上有广泛应用[20-21],但商品保水剂生产过程消耗化学资源和能源,且价格偏高[22]。利用毛竹Phyllostachys edulis锯屑再生型保水剂,则不仅能利用农林废弃物资源、保护环境,同时具有价格优势。保水剂通过保水过程可起到间接地保肥作用,减少或避免养分通过淋溶作用损失[23-24]。在林地进行田间试验时控制实验条件难度较大,本研究将通过对自制毛竹锯屑再生型保水剂的持水、保肥能力室内模拟试验,综合保水、保肥效果以及经济等3个因素,确定最佳的施用技术 (高效的保水剂品种和最佳用量),旨在保证林木生长的水分要求,减缓施肥引起的面源污染。毛竹锯屑再生型保水剂的推广应用还可为大量的林木生产废弃物变废为宝提供新的途径,对山区的生态环境保护具有重要意义。
-
保水剂是由浙江农林大学金贞福教授研制的竹纤维接枝丙烯酸钾型保水剂和竹纤维接枝丙烯酰胺型保水剂。这2种保水剂是由毛竹生产过程中产生的废弃物竹粉、丙烯酸钾和丙烯酰胺根据不同的比例调配共聚制成的竹纤维接枝丙烯酸盐型高分子保水剂,用氢氧化钾作为丙烯酸中和剂,产品编号为2号和4号。2号:丙烯酰胺0.5 g,丙烯酸20.0 g,质量分数为30%的氢氧化钾29.0 mL,中和度为72%。4号:丙烯酰铵和丙烯酸分别为8.0 g,质量分数为30%的氢氧化钾10.0 mL,中和度63%。商品保水剂由南京赛普高分子材料有限公司提供,名为聚丙烯酸钾,代号S。
土壤:采自于浙江农林大学官塘试验田,碱解氮为154.41 mg·kg-1,有效磷31.35 mg·kg-1,速效钾87.00 mg·kg-1,有机质31.65 g·kg-1,pH 4.79[m(土):m(水)=1:5]。
肥料:复合肥16-16-16(俄罗斯阿康复合肥)、尿素、硫酸钾、磷酸二氢铵。
-
于2012年4月进行试验。在已知质量的300目尼龙网袋中放入0.2 g保水剂,分别将它放入盛有足量超纯水、蒸馏水和自来水的烧杯中,设置重复3个·组-1,静置48 h,待充分吸水饱和后,将尼龙网袋置于塑料提篮内悬空2 h后称量,减去尼龙网袋和保水剂本身质量得出最大持水量。
-
在已知质量的300目尼龙网袋中放入0.5 g保水剂,分别将它放入质量分数为0.5‰,1.0‰,2.0‰,4.0‰和8.0‰的复合肥、尿素、硫酸钾和磷酸二氢铵溶液的烧杯中,设置重复3个·组-1,最大持水量测定方法同1.2.1。
-
① 试验设计:通过模拟淋洗实验比较施用保水剂对土壤保持水分和养分能力的影响,得出保水剂有效的施用种类和施用量。分2组进行试验,各组试验均设有无保水剂对照处理 (ck)。第1组是3种保水剂按相同比例[m(保水剂):m(土壤)=1:200]与土壤混合,第2组是选择保水能力最强的4号保水剂,按m(保水剂):m(土壤) 分别为1:100,1:200,1:400,1:600和1:800等5个比例混合,每个处理的土质量统一为120.00 g。重复3次·处理-1。② 模拟淋洗方法和过程:按照试验设计将保水剂和土壤 (过2 mm筛) 混均,将混合物装入环刀中,底部用垫有滤纸的网孔铝盖托住;将环刀放到铺有双层滤布 (300目) 玻璃漏斗上,按照下述方式进行淋洗。为防止土层扰动,用注射器汲取蒸馏水缓慢滴入土壤进行淋溶,第1天、第2天、第3天、第4天和第5天分别加水70,40,40,40和20 mL,共计210 mL。用洗净烘干的烧杯收集淋出液,测定体积,分析元素含量。③ 淋洗液养分测定:淋洗液抽滤 (孔经0.45 μm) 后,采用离子色谱ICS-1500(ion chromatography system戴安) 测定硝态氮、铵态氮,钾离子用火焰光度计法测定,磷元素采用钼酸铵比色法测定[25]。
-
试验设计与1.2.3相同,但土壤中加入2.0‰复合肥[m(N):m(P2O5):m(K2O)=16:16:16],实验淋洗方法有所改进,共进行3次淋洗实验,每次淋洗都记录淋出液的体积 (以淋洗出的液体质量和近似为1 g·cm-3的质量浓度来进行体积换算的),并测定元素含量。第1次用210.0 mL水淋洗,分别是第1天80.0 mL,第2天100.0 mL,第3天30.0 mL,用洗净烘干的烧杯收集淋出液。隔3 d后进行第2次淋洗,再隔2 d进行第3次淋洗,第2次和第3次淋洗用水均为70.0 mL,淋洗过程1 d内完成。养分离子的测定方法同1.2.3节。
-
本研究数据采用Excel 2007进行统计分析,用DPS数据分析软件进行显著性差异分析。实验中保水剂的最大持水能力用以下公式计算,并用吸水倍率来表示其持水能力。
$$ Q = (m-{m_1}-{m_2})/{m_2} \times 100。 $$ 其中:Q为保水剂的吸水倍率 (%),m为吸水后的保水剂和尼龙网袋质量 (g),m1为尼龙网袋质量 (g),m2为保水剂干质量 (g)。
-
3种保水剂在超纯水、蒸馏水和自来水中的最大吸水倍率依次下降,其中4号保水剂的下降幅度最大,2号和S保水剂的下降幅度较小,并且4号在超纯水中吸水倍率显著高于 (P<0.05) 蒸馏水和自来水。4号的吸水倍率极显著高于 (P<0.01)2号和S,2号则显著高于 (P<0.05) S;4号保水剂对超纯水、蒸馏水和自来水的吸水倍率分别是2号和S的5.5倍和6.7倍、5.9倍和6.4倍、2.9倍和3.7倍 (图 1)。
-
所有肥料溶液中持水能力最大的是4号,次之为2号,S最小 (图 2)。在硫酸钾、磷酸二氢铵和复合肥这3种肥料溶液中,3种保水剂的持水能力均随着溶液质量分数的增大而下降 (图 2A,2B,2C),其中4号下降幅度最大;质量分数8.0‰吸水倍率与0.5‰相比,2号、4号和S保水剂在硫酸钾溶液中分别下降了62%,68%和51%,在磷酸二氢铵溶液中下降值分别49%,72%和60%,在复合肥溶液中下降值分别是68%,62%和66%。然而,在尿素溶液中吸水倍率随着质量分数增加变化不大 (图 2D),2号和S基本没变化,4号保水剂从0.5‰到2.0‰有一定下降,之后质量分数增加吸水率基本不变,4号的吸水倍率是2号和S的3倍左右。
-
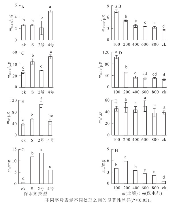
通过在土壤中加入保水剂的淋溶实验,比较不同种类以及不同用量保水剂的保水效率,用等体积 (210.00 mL) 的水分淋溶,淋出的水分越多则保水能力越差。图 3A表明:对照淋出的水量最多、2号和S居中,4号最少,3组之间存在显著差异 (P<0.05),说明4号保水剂在土壤中的保水能力最强。4号保水剂不同用量之间存在显著差异 (P<0.05),淋出水量随着保水剂用量的增加而下降,说明保水剂用量与持水能力呈正相关 (图 3B)。
-
当土壤的持水能力超过土壤的田间持水量 (最大持水能力) 时,溶解于土壤溶液中的土壤养分随水分淋失。4号保水剂土壤中铵态氮 (NH4+-N) 和硝态氮 (NO3-N) 的淋出量显著高于 (P<0.05)2号、S以及对照 (图 4A,4C),其他三者之间差异不显著;随着4号保水剂使用量的增加,土壤铵态氮和硝态氮淋出量也随之增加 (图 4B,4D),最显著的下降发生在1:100和1:200之间,说明持水能力越强,淋出的养分越多。除2号保水剂外,不同保水剂类型及不同用量对磷元素淋出量的影响不明显 (图 4E,4F)。施用3种保水剂比对照组淋出更多钾离子 (图 4G),尤其是2号和S,是对照的20.0倍和18.0倍;随着4号保水剂使用量的增加土壤钾的淋出量也随之增加 (图 4H),但钾离子的淋出量最高出现在1:200而非1:100。
-
施肥土壤中不同保水剂的水分淋出量差异规律与未施肥时基本一致 (图 5A),对照最高,2号和S居中,4号最少,3组之间存在显著差异 (P<0.05)。总体而言,第1次淋出量最大,第2次和第3次相近。施肥土壤中4号保水剂不同用量之间的差异规律也与未施肥土壤相似 (图 5B),淋出水量随着保水剂用量的增加而下降;对照第1次淋洗的淋出量明显多于后面2次,而后面2次则相近,但随着加入保水剂数量的增加,第1次与后面2次的淋出量差异逐渐缩小,1:100处理的第1次淋出量反而低于后2次。
-
不同种类保水剂和4号保水剂不同用量处理铵态氮、硝态氮、磷和钾等4种养分淋出总量差异规律与未施肥土壤完全一致,但处理间的差异更加明显,且各养分的淋出总量明显增加。除磷元素以外,第1次养分的淋出量明显多于第2次和第3次,特别是硝态氮 (图 6C,6D),其次是钾元素 (图 6G,6H),说明第1次养分淋失最多。
-
4号保水剂在3种纯度的水中、不同肥料的不同质量分数溶液中、以及施肥与不施肥的土壤中,其保水能力最强,2号和S在3种纯度的水中表现为2号高于S,而在肥料溶液和土壤中则正好相反。保水剂主要通过2种途径持水:一是高分子化合物分子链上的亲水基团直接与水分子结合,二是保水剂内部离子和基团与水溶液离子的浓度之差产生的渗透压吸水,形成的三维网状结构 (保水剂高分子链在水溶液中电离产生阴离子,阴离子之间的互斥力产生溶胀现象)[26-27],通过渗透压吸水的形式,其吸水能力受溶液中离子浓度影响较大。超纯水、蒸馏水和自来水等3种水的离子浓度依次增高,3种保水剂的持水能力则呈下降趋势;同样,土壤施肥后由于离子浓度增加,保水能力明显低于不施肥的土壤。4号保水剂在各种纯度水中的保水能力最强,原因是4号保水剂的竹纤维上同时有丙烯酸和丙烯酰胺基团的接枝,而2号虽然也有丙烯酰胺基团接枝,但主要是丙烯酸接枝。一般认为,接枝率越高,树脂上的电荷密度高,树脂内外渗透压增大,吸水能力提高[26],因此,4号的接枝率高于2号,通过直接吸水和渗透压吸水均比2号多。在各种纯度水中2号的吸水倍率比S高,而在肥料溶液和土壤中的吸水倍率正好相反,而且两者存在显著差异 (P<0.05),2号和S保水剂在不同的介质中保水能力表现不同也是保水剂结构差异所致。2号是丙烯酸接枝到竹屑的纤维,S则是丙烯酸聚合物,前者的三维网状结构比后者发达,渗透压吸水量也大,但渗透压吸水受到介质的离子浓度影响较大,2号在肥料溶液和土壤中的吸水倍率下降幅度大于S。
3种保水剂随着离子型肥料溶液 (硫酸钾、磷酸二氢铵和复合肥) 质量分数增加其持水能力下降 (图 2A,2B,2C),但不同保水剂随着离子型肥料溶液质量分数增加下降的幅度并非一致,其中4号下降幅度最大,可能原因是4号保水剂的合成反应后多余的钾离子没有2号和S多 (不施肥土壤的2号和S处理的钾淋出量明显高于对照,说明保水剂本身含有很多的钾离子),当溶液中离子浓度增加时,渗透压梯度减少比2号和S大,因而吸水倍率下降幅度大。非离子型肥料溶液 (尿素) 质量分数对保水剂的保水影响不大 (图 2D),因为尿素溶于水后没有产生大量离子而导致溶液的水势下降,因此,保水剂内外渗透压梯度变化很小,说明非离子型的尿素肥料对保水剂吸水的能力影响甚微。这一点与前人的研究结果一致[28-29]。
不同用量4号保水剂的土壤吸水能力结果表明,保水剂用量越多,土壤的持水能力越强,但m(保水剂):m(土壤) 为1:800和1:600时差异不大 (图 3B和图 5B),保水能力只略高于对照;随着m(保水剂):m(土壤) 从1:600增加到1:100,土壤的保水能力呈梯度增加,且不施肥土壤的增加幅度大于施肥土壤。然而,用量越多、经济成本越高,因此,综合保水效果和经济成本,确定1:200(保水剂施用量为0.50%) 或1:400(保水剂施用量为0.25%) 为合理施用量,施入根层或根际周围。土壤质地轻、植物对水分要求高、降水偏少的地区,保水剂用量可适当偏高,反之则用量减少。
施肥土壤的3次淋溶试验发现,不同种类和不同用量保水剂的淋出量差异主要体现在第1次 (图 5A,5B),而第2次、第3次淋出量差异很少。这是由于保水剂的持水能力有一定上限,而第1次浇水已经达到了其上限 (1:100的除外),虽然后2次 (70.00 mL) 浇水时土壤仍然吸持了部分水,但不同处理之间差别不大。表明保水剂的作用主要体现在长期干旱后降雨或灌水后阶段。
-
施肥后各种养分的淋出量显著高于不施肥土壤,而不同处理之间的差异规律两者基本一致。因此,我们着重分析施肥土壤的淋溶结果,一是施肥土壤更接近实际生产情况,二是施肥土壤3次淋溶液分别记录体积和分析元素,数据更丰富。研究发现:3号用量最大的处理 (1:100) 其铵态氮、硝态氮和钾淋失量均大于其他用量,4号处理土壤中铵态氮和硝态氮的氮素流失量最大,2号最小,S居中,原因可能与4号保水剂中含有酰胺基有关。钾淋失量则是2号最多,4号最少,S仍然居中,是因为2号和S保水剂本身含有较多的钾。
磷的淋失规律不同于铵态氮、硝态氮和钾,由于磷的溶解度较低,土壤溶液中磷含量很低,一般生产中土壤磷的淋失途径主要通过细土淋失。研究发现:无论施肥与否,磷的淋出量均大于对照,且2号保水剂处理的土壤磷的淋出量最大,其淋出量是4号和S的2.0倍左右。3种保水剂本身都不含磷元素,保水剂处理磷的淋出量明显大于对照,且2号又高于4号和S。原因是什么?研究过程中发现淋出液呈黄色,黄色深浅依次为2号、S、4号和对照。分析表明:磷的淋出量高低顺序与淋洗液的黄色深浅一致,因为3种保水剂呈碱性,加入保水剂后原来的酸性土壤 (pH 4.79) 可能呈弱酸性、中性或弱碱性 (因保水剂的碱性强弱和加入的量而变)。碱性保水剂的加入,一方面可能将部分有机态磷水解 (淋洗液黄色是有机质的水解的结果) 成为无机磷;另一方面,保水剂合成反应后剩余的丙烯酸根可能与铁和铝形成络合,起到活化磷的作用[30-31]。2号保水剂的中和度 (72%) 高于4号 (63%),碱性比4号强,加入的丙烯酸也比4号多,这可能是2号保水剂处理土壤淋出的磷明显高于4号和S的原因。说明碱性保水剂的施用,还能起到提高土壤磷的有效性作用。4号保水剂不同用量对不施肥磷的淋失影响不大 (图 4F),而对施肥土壤磷的淋失影响则较大 (图 6F),土壤磷的淋出量呈两端低中间高的规律,对照和1:100处理的土壤较低,而1:600处理的土壤最高。这是因为磷的淋出量取决于2个因素,一是土壤磷的溶解能力 (即溶解度),二是淋出的水量,因为土壤溶液的磷质量分数很低,贫瘠土壤中为0.001 mg·kg-1,极肥沃的土壤中也只有1.000 mg·kg-1[32],这也是第2次和第3次的淋出液中仍有较多磷的原因。因此,溶解度高且淋出液体积大,则磷的淋出量高。对照和1:800处理的土壤,因为没有加入或加入的保水剂量少,不利于磷的溶解,所以是磷的低溶解度导致磷的淋出量少;而加入较高比例保水剂时,虽有利于磷的溶解,但溶液中的磷并不是直线增加,此时,淋出液体积将决定磷的淋出量,所以,高比例的保水剂处理土壤磷的淋出量较少。1:600处理的土壤正好是以上2个因素的作用最大,磷的淋出量达到最大值。由于不施肥土壤中有效磷含量本身较少 (31.350 mg·kg-1),4号保水剂对磷的溶解度影响较小,所以加入的保水剂量对磷的淋出总量也没有明显影响。
除元素磷以外,施肥土壤第1次养分的淋出量明显多于第2次和第3次 (图 6C,6D,6G,6H),这是因为施入土壤的复合肥中的可溶性养分大部分溶解第1次的210.00 mL的水中,特别是硝态氮,以后再加入水后只有少量养分溶入水中。不加保水剂土壤磷的第1次淋出量显著高于第2次第3次,而加入保水剂处理土壤磷的3次淋出量差异缩小;4号保水剂随着用量的增加,第2次和第3次的磷淋出量逐渐增加,1:200处理土壤的第2次和第3次 (383.8 μg,379.6 μg) 略低于第1次 (452.5 μg),而1:100处理时第2次和第3次的淋出量 (238.5 μg,131.0 μg) 反而高于第1次 (98.2 μg)。这是因为第1次淋溶后土壤的持水量已达最大值,只有少量溶液淋溶出土体,后续淋洗时土壤溶液中的磷被不断淋出,使得第1次的淋出量少则后续淋出则多。
-
保水剂对土壤养分的保持主要是通过增加土壤的保水能力起作用[24],因为大部分养分 (除磷以外) 是随着土壤水分淋失离开土体。就此推理,保水越强的养分淋失越少,而本研究出现相反情况是否说明保水剂对养分保持起到副作用呢?实际情况分析如下:不施肥土壤淋洗试验是通过注射器滴注方式分5 d即5次分别注入 (共计210.00 mL蒸馏水,见实验方法),保水能力强的4号保水剂处理,在前3 d加入150.00 mL (70.00+40.00+40.00 mL) 时几乎没有水淋出,最后2 d继续加入60.00 mL (40.00+20.00 mL) 时才有淋出液。由于淋溶持续时间较长,水分在保水能力强的土壤中停留时间长,有利于土壤养分溶解于水中,当加入的水分超过其保水能力时,大部分养分随着水移出土体;相反,保水能力差的处理,因为水分在土壤中停留的时间较短,溶于土壤溶液中的养分也少。当加入的水量不超过土壤最大持水量时,溶液中的养分不会移出土体,此时其保水能力与养分成正比。本次淋溶试验设计的水量为210.00 mL,折算成降水量相当于54.60 mm,达到暴雨级水平[降水量等级以中国气象局颁布的“降水强度等级划分标准 (内陆部分)”为分类依据]。对于不施肥土壤,4号保水剂1:200处理后土壤的最大持水量为152.67 mL (加入210.00 mL-淋出量57.33 mL),折算成降水量相当于39.70 mm,达到大雨-暴雨级水平,当降水量大于39.70 mm才会产生养分淋失大量淋失。施肥对4号的保水能力没有影响,施肥土壤 (质量分数为2.0‰复合肥) 第1阶段210.00 mL淋溶时土壤的最大持水量为153.92 mL (不施肥152.67 mL),相当于40.00 mm降水量。4号保水剂1:200处理,即保水剂施用量为土壤质量的0.50%能承受的最大降水量为大雨范畴,而浙江省降水在大雨及以上水平年平均天数只有22.37 d[33]。因此,只要避免在大雨前施肥,施用保水剂能够起到很好的养分保持作用。当然,不同土壤类型、不同肥料种类和用量都会影响土壤的最大保水能力,因此,即使相同用量的同一种保水剂能够保持的水分也会有差异,实际施用时要作相应调整,对于降水量较大的地区,建议用量在1:400比较安全。对于本研究而言,在降水量小于40.00 mm时,前言提出“保水能力越强、养分淋失越少”的假设成立。
-
自制的纤维接枝丙烯酰胺型保水剂在不同纯度水和不同质量分数的肥料溶液中保水效果最好,保水效果受离子型的肥料浓度影响较大,而受分子型尿素肥料的浓度影响很小;纤维接枝丙烯酸钾型保水剂效果则略优于聚丙烯酸钾的商品保水剂;竹纤维接枝丙烯酰胺型保水剂用量与保水效果呈正比,但如果降水量达大雨级时,则“保水能力越强或加入的保水剂比例越高,养分淋失越少”的假设不成立。综合其保水、保肥能力以及经济成本得出m(保水剂):m(土壤)=1:200(土壤质量的5.0‰) 为最佳施用量。根据本次研究结果,4号保水剂1:200用量承受的最大降水上限为40.00 mm,建议避免在大雨前施肥。
Water holding capacity and nutrient retention with bamboo sawdust regenerated super absorbent polymers
-
摘要:水分是制约山区无灌溉条件商品林地植物生长的重要因子,保水剂的合理应用是解决植物水分供应的有效途径之一。大量的木材加工剩余物可再生为高效保水剂。以竹纤维接枝丙烯酸钾(2号)和竹纤维接枝丙烯酰胺(4号)2种毛竹锯屑再生型保水剂为研究对象,将商品保水剂聚丙烯酸钾(S)作为参照,通过模拟实验,对比他们在不同纯度的水中(去离子水、蒸馏水和自来水),在不同的肥料溶液中(4种肥料,各5种质量分数配比)的吸水倍率;相同用量[ m(保水剂): m(土壤)=1:200]的不同保水剂、同一保水剂(4号)不同用量[ m(保水剂): m(土壤)分别为1:100,1:200,1:400,1:600和1:800]对施肥和不施肥土壤的保肥、保水能力的影响,旨在找到保水剂最佳施用量。结果表明:3种保水剂在不同纯度水以及不同质量分数的肥料溶液中的吸水倍率由高到低依次为4号、2号和S,且在同一纯度水中3种保水剂的吸水倍率均存在显著性差异( P< 0.05);无论是否施肥与否,保水剂的保水能力依次为4号、S和2号,且4号、S、2号和对照(不加保水剂)之间差异显著( P< 0.05)。保水剂用量和土壤的持水能力呈正相关,保水效果受离子型的肥料(复合肥、硫酸钾和磷酸二氢铵)配比影响较大,而受分子型肥料尿素的质量分数影响很小。当淋溶水量超过土壤持水能力时,保水能力最强的4号以及其用量最大的处理(1:100)养分(氮、钾)的淋出量最多(除磷以外)。竹纤维接枝丙烯酰胺型保水剂保水保肥能力最强,考虑其经济成本,得出 m(保水剂): m(土壤)=1:200(相当于土壤质量的0.5%)为最佳施用量;因4号保水剂1:200用量承受的最大降水上限为40 mm,应避免在大雨前施肥。
-
关键词:
- 土壤肥料学/
- 毛竹锯屑再生型保水剂/
- 土壤持水能力/
- 土壤养分
Abstract:Water for irrigation is a critical factor for plant growth in mountainous commercial forests. To solve this water deficiency one effective way would be application of super absorbent polymers (SAPs) that could be produced from wood processing residues. In this study two SAPs, bamboo fiber grafted with potassium acrylate (No.2) and bamboo fiber grafted with acryl amide (No.4), regenerated from bamboo sawdust were compared with commercial potassium polyacrylate (S) to determine the water-holding capacity (WHC) in three types of water (deionized water, tap water, and distilled water) and four fertilizer solutions (potassium sulfate, ammonium dihydrogen phosphate, compound fertilizer, and urea) with five gradient concentrations (0.5‰, 1.0‰, 2.0‰, 4.0‰ and 8.0‰), as well as the WHC and nutrients protection in soils with or without fertilizers with same dosage (mass ratio of SAP to soil are 1:200). Also, effects of five dosages with a mass ratio of No.4 to soil being 1:100, 1:200, 1:400, 1:600, and 1:800, were designed to determine WHC and nutrient protection in soils with and without fertilizers. Results showed that the water absorption rate in the three types of water and four types of fertilizer solutions was highest with No.4( P< 0.05); whereas, S was significantly lower than the two SAPs ( P< 0.05). Water absorption rates for soils with and without fertilizers varied significantly ( P< 0.05) and followed the order of No.4 > S > No.2. WHC was positively related to SAP dosage and greatly affected by the solution concentration from ionic fertilizers of potassium sulfate, ammonium dihydrogen phosphate, and compound fertilizer but not by urea, the non-ionic fertilizer. Also the highest WHC with SAP No.4, especially the treatment with highest dosage (mass ratio of SAP:soil=1:100) resulted in the greatest loss of ammonium-N, nitrate-N, and potassium when the leaching water volume exceeded the WHC of the soil. In conclusion, SAP No.4 exhibited the greatest WHC and nutrient protection with a recommended dosage of 0.50% of the SAPs based on a dry soil mass (mass ratio of SAP:soil=1:200), but should avoid fertilizing with maximum precipitation > 40 mm to minimize leaching. -
-
[1] 徐杨, 杜祥哲, 齐英杰, 等.浅析木材加工剩余物的利用途径[J].林产工业, 2015, 42(5):40-44.XU Yang, DU Xiangzhe, QI Yingjie, et al. Utilization of wood processing residues[J]. China For Prod Ind, 2015, 42(5):40-44. [2] 叶克林, 陈广琪, 于文吉.废弃木质材料的利用[J].木材工业, 1996, 10(2):26-29.YE Kelin, CHEN Guangqi, YU Wenji. Utilization of waste wood-based materials[J]. Wood Ind, 1996, 10(2):26-29. [3] 陈玉霄, 肖生苓, 王强.林区木质剩余物合理利用的研究[J].森林工程, 2007, 23(6):1-5.CHEN Yuxiao, XIAO Shengling, WANG Qiang. Research on the utilization of wood residues in forest area[J]. For Eng, 2007, 23(6):1-5. [4] 张恩惠, 王述洋.生物质燃油的应用前景[J].林业机械与木工设备, 2008, 36(8):44-47.ZHANG Enhui, WANG Shuyang. Application prospect of bio-oil[J]. For Mach Woodwork Equip, 2008, 36(8):44-47. [5] 张兆好, 齐英杰.木塑复合材料的应用与发展[J].木材加工机械, 2009, 20(z1):74-77.ZHANG Zhaohao, QI Yingjie. The application and development of wood-plastic composite[J]. Wood Proc Mach, 2009, 20(z1):38, 74-77. [6] 张东北, 汪和木, 赵忠北, 等.杉木木粉羧甲基化产物及其高吸水树脂特性的研究[J].浙江林业科技, 2010, 30(4):1-5.ZHANG Dongbei, WANG Hemu, ZHAO Zhongbei, et al. Super absorbent polymer prepared from carboxymethylated Chinese fir wood powder grafted by AA[J]. J Zhejiang For Sci Technol, 2010, 30(4):1-5. [7] 汪和木, 张东北, 唐陆法, 等.针叶材羧甲基衍生物接枝丙烯酸制备高吸水树脂的研究[J].浙江林业科技, 2010, 30(1):8-12.WANG Hemu, ZHANG Dongbei, TANG Lufa, et al. Super absorbent polymer prepared from carboxymethylated derivatives grafted by AA[J]. J Zhejiang For Sci Technol, 2010, 30(1):8-12. [8] 陈明忠.深入贯彻落实《关于实行最严格水资源管理制度的意见》加快实行最严格水资源管理制度[J].中国水利, 2012(7):1.CHEN Mingzhong. The implementation of the "opinions on the implementation of the most stringent water resources management system", which speeds up the implementation of the most stringent water management system[J]. China Water Resour, 2012(7):1. [9] 杨玉岭, 赵保国, 满德恩, 等.采用"零排放"技术有效保护水资源[J].发酵科技通讯, 2006, 35(2):31-33.YANG Yuling, ZHAO Baoguo, MAN Deen, et al. Using "zero discharge"technology to effectively protect water resources[J]. Ferment Technol Commun, 2006, 35(2):31-33. [10] 雷川华, 吴运卿.我国水资源现状、问题与对策研究[J].节水灌溉, 2007(4):41-43.LEI Chuanhua, WU Yunqing. Study on the status quo, problems and countermeasure of water resources in China[J]. Water Sav Irrigat, 2007(4):41-43. [11] 王忠福.我国水资源利用中的问题与可持续利用对策[J].西安邮电学院学报, 2011, 16(5):122-127.WANG Zhongfu. Present situation and of water resources utilization sustainable utilization countermeasure in China[J]. J Xi'an Univ Post Telecommun, 2011, 16(5):122-127. [12] OKI T, KANAE S. Global hydrological cycles and world water resources[J]. Science, 2006, 313(5790):1068-1072. [13] MAGRATH J. Water:a shared responsibility:the United Nations world water development report 2 by UNESCO[J]. Dev Pract, 2007, 17(2):309-311. [14] 中国工程院"21世纪中国可持续发展水资源战略研究"项目组.中国可持续发展水资源战略研究综合报告[J].中国工程科学, 2000, 2(8):5-17.Project Group of "Strategic Research on Sustainable Development of Water Resource in China in 21st Century", Chinese Academy of Engineering. Strategic research on sustainable development of water resource in China[J]. Eng Sci, 2000, 2(8):5-17. [15] 郑良永.保水剂在我国的研究应用现状与展望[J].广西热带农业, 2005(6):26-27.ZHENG Liangyong. Application status and prospect of super absorbent polymers in China[J]. Guangxi Trop Agric, 2005(6):26-27. [16] 刘晓莉. 保水剂的保肥性能研究[D]. 合肥: 安徽农业大学, 2006.LIU Xiaoli. Study on Nutrition-Preserving Capacity in SAP[D]. Hefei:Anhui Agricultural University, 2006. [17] 冉艳玲. 化学保水剂对土壤水分及物理特性的作用效应[D]. 杨凌: 西北农林科技大学, 2014.RAN Yanling. Effects of Super Absorbent Polymers on Soil Water Moisture and Physical Properties[D]. Yangling:Northwest A & F University, 2014. [18] 党鹏飞. 保水剂特性及不同因素对其吸水与释水性能的影响研究[D]. 呼和浩特: 内蒙古农业大学, 2011.DANG Pengfei. Analysis the Characteristics and Influence of Different Factors on Super Absorbent Polymer[D]. Huhhot:Inner Mongolia Agricultural University, 2011. [19] 李希, 刘玉荣, 郑袁明, 等.保水剂性能及其农用安全性评价研究进展[J].环境科学, 2014, 35(1):394-400.LI Xi, LIU Yurong, ZHENG Yuanming, et al. Characterization and soil environmental safety assessment of super absorbent polymers in agricultural application[J]. Environ Sci, 2014, 35(1):394-400. [20] 沈颖. 林木废弃物再生型保水剂的吸水保水特性及对土壤微生物影响的研究[D]. 临安: 浙江农林大学, 2013.SHEN Ying. Water-Holding Capability and Effects on Soil Microorganism of Two Super Absorbent Polymers Made from Chinese Fir and Bamboo Sawdust in Forestry[D]. Lin'an:Zhejiang A & F University, 2013. [21] 赵建兵, 王世兵.木质素-丙烯酸型农林保水剂的合成及性能研究[J].应用化工, 2015, 44(11):2051-2054.ZHAO Jianbing, WANG Shibing. Study of synthesis and performance of lignin-based acrylic forestry aquasorb[J]. Appl Chem Ind, 2015, 44(11):2051-2054. [22] 赵欣宇, 吴景贵. 浅谈新型农用化学品: 保水剂[C]//中国环境科学学会. 2011中国环境科学学会学术年会论文集: 第4卷. 北京: 中国环境出版社, 2011: 3112-3115. [23] 李继成. 保水剂-土壤-肥料的相互作用机制及作物效应研究[D]. 杨凌: 西北农林科技大学, 2008.LI Jicheng. Study on the Mechanism of Super Absorbent, Soil and Fertilizer and Its Effect on Crops[D]. Yangling:Northwest A & F University, 2008. [24] 李杨. 保水剂与肥料及土壤的互作机理研究[D]. 北京: 北京林业大学, 2012.LI Yang. Study on the Interaction Mechanism of SPA and Fertilizer and Soil[D]. Beijing:Beijing Forestry University, 2012. [25] 鲍士旦. 土壤农化分析[M]. 3版. 北京: 中国农业出版社, 2008. [26] 杜建军, 王新爱, 廖宗文, 等.不同肥料对高吸水性树脂吸水倍率的影响及养分吸持研究[J].水土保持学报, 2005, 19(4):27-31.DU Jianjun, WANG Xin'ai, LIAO Zongwen, et al. Effects of chemical fertilizers on water absorbent rate of super absorbent polymers and their adsorption and fixation[J]. J Soil Water Conserv, 2005, 19(4):27-31. [27] 林雄财, 李云开, 许廷武, 等.不同粒径农用高吸水树脂的吸水特性及溶胀动力学[J].高分子材料科学与工程, 2008, 24(5):116-120.LING Xiongcai, LI Yunkai, XU Tingwu, et al. Water-absorbing characteristic and swelling kinetic of different grain diameter of agricultural super absorbing polymer[J]. Polym Mat Sci Eng, 2008, 24(5):116-120. [28] 张富仓, 李继成, 雷艳, 等.保水剂对土壤保水持肥特性的影响研究[J].应用基础与工程科学学报, 2010, 18(1):120-128.ZHANG Fucang, LI Jicheng, LEI Yan, et al. Effects of super absorbent polymer on retention properties of soil water and nutrient[J]. J Basic Sci Eng, 2010, 18(1):120-128. [29] 苟春林, 王新爱, 李永胜, 等.保水剂与氮肥的相互影响及节水保肥效果[J].中国农业科学, 2011, 44(19):4015-4021.GOU Chunlin, WANG Xin'ai, LI Yongsheng, et al. Interaction between water retaining agent and nitrogen fertilizers and the effect of water and fertilizer conservation[J]. Sci Agric Sin, 2011, 44(19):4015-4021. [30] 蔡羽, 赵胜利, 李董轩, 等.聚丙烯酸络合法制备掺铝锰酸锂纳米粉体[J].热加工工艺, 2009, 38(18):51-53.CAI Yu, ZHAO Shengli, LI Dongxuan, et al. Preparation of LiAlxMn2-xO4nano-power by polyacrylic acid complexation process[J]. Hot Work Technol, 2009, 38(18):51-53. [31] 高玲香, 陈建丽. Fe3+络合交联丙烯酸弹性体的制备及电场响应性能研究[C]//中国力学学会流变学专业委员会. 第12届全国流变学学术会议论文集. 广州: 华南理工大学, 2014. [32] 孙向阳.土壤学[M].北京:中国林业出版社, 2005:257. [33] 吴昊旻, 廖必军, 蔡寿强.浙江省不同强度降水日数的时空分布特征[J].干旱气象, 2012, 30(3):360-366.WU Haomin, LIAO Bijun, CAI Shouqiang. Temporal and spatial distribution characteristics of different level rainfall days in Zhejiang Province[J]. J Arid Meteorol, 2012, 30(3):360-366. -
- 链接本文:
https://zlxb.zafu.edu.cn/article/doi/10.11833/j.issn.2095-0756.2017.03.013






下载:






