留言板

尊敬的读者、作者、审稿人, 关于本刊的投稿、审稿、编辑和出版的任何问题, 您可以本页添加留言。我们将尽快给您答复。谢谢您的支持!

姓名
邮箱
手机号码
标题
留言内容
验证码

沙柳人工林液流速率对土壤供水状况的响应及其影响因素

孙凯,刘文娟,裴志永,张世纪,朱心宇,陈宏伟,杨建军

downloadPDF
孙凯, 刘文娟, 裴志永, 等. 沙柳人工林液流速率对土壤供水状况的响应及其影响因素[J]. 浙江农林大学学报, 2025, 42(1): 163−174 doi: 10.11833/j.issn.2095-0756.20240359
引用本文: 孙凯, 刘文娟, 裴志永, 等. 沙柳人工林液流速率对土壤供水状况的响应及其影响因素[J]. 浙江农林大学学报, 2025,42(1): 163−174doi:10.11833/j.issn.2095-0756.20240359
SUN Kai, LIU Wenjuan, PEI Zhiyong, et al. Response of sap flow rate in Salix psammophila plantation to soil water supply and its influencing factors[J]. Journal of Zhejiang A&F University, 2025, 42(1): 163−174 doi: 10.11833/j.issn.2095-0756.20240359
Citation: SUN Kai, LIU Wenjuan, PEI Zhiyong,et al. Response of sap flow rate inSalix psammophilaplantation to soil water supply and its influencing factors[J].Journal of Zhejiang A&F University, 2025,42(1): 163−174doi:10.11833/j.issn.2095-0756.20240359

沙柳人工林液流速率对土壤供水状况的响应及其影响因素

DOI:10.11833/j.issn.2095-0756.20240359
基金项目:国家自然科学基金资助项目(52069018);内蒙古自治区科技计划项目(2020GG0078);内蒙古自治区自然科学基金资助项目(2021BS03019);内蒙古自治区科技重大专项(2020ZD0009)
详细信息
    作者简介:孙凯(ORCID: 0009-0008-2311-0874),讲师,博士研究生,从事灌木林资源开发与水土保持研究。E-mail:sunkai@imau.edu.cn
    通信作者:裴志永(ORCID: 0009-0005-1654-9182),教授,博士生导师,从事森林资源开发与环境研究。E-mail:peizhiyong@imau.edu.cn
  • 中图分类号:S774

Response of sap flow rate inSalix psammophilaplantation to soil water supply and its influencing factors

  • 摘要: 目的研究沙柳 Salix psammophila不同径级枝条的液流速率动态变化规律,探究沙柳在生长季降雨影响下响应土壤水势和气象因子的用水控制策略,旨在为理解沙生灌木在季节性干旱下的耗水特征提供理论参考。 方法在库布齐沙漠沙柳国家种质资源库选择3株样树的12根枝条(包括6~8、8~10、10~12和>12 mm共4个径级),于2023年5—10月采用包裹式植物液流计连续监测沙柳液流变化,并同步监测土壤水势与降雨量、气温、空气相对湿度等气象因子,采用主成分分析法与逐步线性回归法分析降雨前后液流对主要气象因子和不同土层土壤水势的响应。 结果①生长季内,5—8月各径级沙柳液流速率日变化呈“单峰”或“双峰”型曲线,而9—10月易出现“U”字型曲线,且液流速率起变时间逐渐推迟。②径级较小沙柳液流速率与20和40 cm土层水势显著强正相关( P<0.05),且受40 cm土层水势的直接作用较大;径级较大沙柳与60和80 cm土层水势显著强正相关( P<0.05),受80 cm土层水势直接作用较大。③当降雨量大于10 mm时,各径级沙柳液流速率呈“多峰”型曲线,且日累计液流量下降。降雨前土壤温度、饱和水汽压差、空气相对湿度和气温对液流变化累计贡献率达71%,降雨后10与20 cm土层水势对液流变化累计贡献率达63%。 结论沙柳液流速率的瞬时变动和总体水平分别受气象因子和土壤供水的影响,表明季节性干旱下沙柳短期和长期液流特征对环境因子具有不同响应。图7表5参30
  • 图 1气象因子变化特征

    Figure 1Variation characteristics of meteorological factors

    图 2土壤水势时空动态变化

    Figure 2Spatiotemporal dynamic changes of soil water potential

    图 3不同径级沙柳平均液流速率变化

    Figure 3Change of average sap flow velocity of different diameter ranks ofS. psammophila

    图 4不同降雨事件下沙柳液流速率变化

    Figure 4Changes of sap flow velocity under different rainfall events

    图 5不同降雨事件下当日累计液流量变化

    Figure 5Changes of daily cumulative sap flow under different rainfall events

    图 6沙柳液流速率与土壤水势的相关性

    Figure 6Correlation between plant sap flow rate and soil water potential

    图 7降雨前后环境因子载荷分析图

    Figure 7Load analysis diagram of environmental factors before and after rainfall

    表 1土壤水势的统计描述及差异显著性检验

    Table 1.Statistical description and significant difference test of soil water potential

    样地号 土层/cm 土壤水势/kPa 样地号 土层/cm 土壤水势/kPa
    最大值 最小值 均值 标准差 最大值 最小值 均值 标准差
    1号 10 −0.442 −6.021 −2.525 e 1.592 2号 60 −0.098 −0.200 −0.107 a 0.028
    20 −0.280 −1.590 −0.574 b 0.299 80 −0.200 −0.500 −0.216 a 0.051
    40 −0.300 −5.320 −1.309 d 1.401 3号 10 −0.284 −345.408 −53.757 c 91.449
    60 −0.098 −0.200 −0.104 a 0.021 20 −0.098 −38.295 −7.239 b 10.839
    80 −0.100 −0.490 −0.177 a 0.070 40 −0.100 −5.200 −1.133 a 1.638
    2号 10 −0.496 −10.319 −5.407 d 2.888 60 −0.100 −0.400 −0.195 a 0.095
    20 −0.200 −5.677 −2.271 c 1.855 80 −0.098 −0.100 −0.098 a 0.001
    40 −0.100 −1.168 −0.297 a 0.310
      说明:均值后不同小写字母表示差异显著(P<0.05)。
    下载: 导出CSV

    表 2不同降雨事件特征

    Table 2.Characteristics of different rainfall events

    降雨事件 降雨量/mm 持续时间/h 降雨强度/(mm·h−1) 降雨事件 降雨量/mm 持续时间/h 降雨强度/(mm·h−1)
    最小值 最大值 均值 最小值 最大值 均值
    A 14.4 9 0.4 4.0 1.6 F 10.8 8 0.2 4.2 1.5
    B 18.2 5 0.4 11.2 3.6 G 9.4 2 3.2 6.2 4.7
    C 3.7 6 0.1 1.0 0.6 H 5.8 5 0.2 3.6 1.2
    D 13.6 14 0.2 3.6 1.0 I 7.2 5 0.2 2.4 1.4
    E 4.6 4 0.2 3.8 1.2
    下载: 导出CSV

    表 3沙柳液流速率与土壤水势的通径分析

    Table 3.Path analysis of sap flow rate and soil water potential

    径级/mm 指标 直接通径系数 间接通径系数
    PSW10 PSW20 PSW40 PSW60 PSW80 总计
    6~8 PSW10 0.393 0.275 0.362 0.329 0.146 1.113
    PSW20 0.196 0.137 0.171 0.145 0.083 0.537
    PSW40 2.108 1.944 1.842 1.927 1.079 6.792
    PSW60 1.235 1.035 0.916 1.129 0.903 3.983
    PSW80 0.359 0.133 0.153 0.184 0.262 0.732
    8~10 PSW10 0.656 0.460 0.605 0.550 0.243 1.858
    PSW20 0.020 0.014 0.017 0.015 0.009 0.055
    PSW40 2.169 2.000 1.896 1.982 1.111 6.989
    PSW60 0.956 0.801 0.709 0.874 0.699 3.083
    PSW80 0.087 0.032 0.037 0.045 0.064 0.177
    10~12 PSW10 0.192 0.135 0.177 0.161 0.071 0.544
    PSW20 0.095 0.067 0.083 0.070 0.040 0.260
    PSW40 1.089 1.004 0.952 0.995 0.558 3.509
    PSW60 0.031 0.026 0.023 0.028 0.023 0.100
    PSW80 0.001 0.000 0.000 0.001 0.001 0.002
    >12 PSW10 0.221 0.155 0.204 0.185 0.082 0.626
    PSW20 0.036 0.025 0.031 0.027 0.015 0.099
    PSW40 0.505 0.466 0.441 0.462 0.259 1.627
    PSW60 0.540 0.453 0.401 0.494 0.395 1.742
    PSW80 0.702 0.260 0.298 0.359 0.513 1.431
      说明:-表示无此项。PSW10PSW20PSW40PSW60PSW80分别表示10、20、40、60和80 cm土层土壤水势。
    下载: 导出CSV

    表 4环境因子中的主成分特征值及贡献率

    Table 4.Principal component characteristic value and contribution rates in environmental factors

    阶段 主成分 特征值 贡献率/% 累计贡献率/% 阶段 主成分 特征值 贡献率/% 累计贡献率/%
    降雨前 1 42.1 42.1 42.1 降雨后 1 9.9 62.8 62.8
    2 28.9 28.9 71.0 2 2.6 23.3 86.2
    3 1.8 16.5 87.5
    下载: 导出CSV

    表 5液流速率与环境因子的逐步回归模型

    Table 5.Stepwise regression model of sap flow rate and environmental factors

    阶段 径级/mm 回归方程 R2 P
    降雨前 6~8 y=41.228−0.333HR−9.046DVP+0.511Ta 0.826 0.000
    8~10 y=26.032−0.110HR+0.009R 0.811 0.000
    10~12 y=84.661−0.697HR−19.646DVP+1.453Ta-1.194Ts20 0.894 0.000
    >12 y=58.655−0.264HR 0.789 0.000
    降雨后 6~8 y=11.216+0.339Ts20 0.523 0.000
    8~10 y=98.810+1.117PSW40+774.279PSW60 0.831 0.000
    10~12 y=14.026+0.343Ts10+0.004R 0.742 0.000
    >12 y=22.726+0.546Ta+0.100R 0.731 0.000
      说明:y. 沙柳液流;HR. 空气相对湿度;DVP. 饱和水汽压差;Ta. 气温;R. 太阳辐射强度;Ts10. 10 cm土层土壤温度;Ts20. 20 cm土层土壤温度;PSW40. 40 cm土层土壤水势;PSW60. 60 cm土层土壤水势。
    下载: 导出CSV
  • [1] 牛香, 陈波, 郭珂, 等. 中国森林生态系统质量状况[J]. 陆地生态系统与保护学报, 2022,2(5): 32−40.

    NIU Xiang, CHEN Bo, GUO Ke,et al. Quality of forest ecosystem in China [J].Terrestrial Ecosystem and Conservation, 2022,2(5): 32−40.
    [2] 韩青池, 孙凯, 裴志永, 等. 干旱半干旱区典型林分持水性能比较研究[J]. 水土保持研究, 2024,31(3): 239−246.

    HAN Qingchi, SUN Kai, PEI Zhiyong,et al. Comparative study on water holding performance of typical stands in arid and semi-arid areas [J].Research of Soil and Water Conservation, 2024,31(3): 239−246.
    [3] 张荣, 毕华兴, 焦振寰, 等. 生长季刺槐树干液流昼夜变化特征及其对气象因子的响应[J]. 浙江农林大学学报, 2022,39(6): 1238−1246.

    ZHANG Rong, BI Huaxing, JIAO Zhenhuan,et al. Diurnal and nocturnal changes in stem sap flow ofRobinia pseudoacaciaduring growing season and its response to meteorological factors [J].Journal of Zhejiang A&F University, 2022,39(6): 1238−1246.
    [4] DI Nan, YANG Shangjin, LIU Yang,et al. Soil-moisture-dependent nocturnal water use strategy and its responses to meteorological factors in a seasonal-arid poplar plantation [J/OL].Agricultural Water Management, 2022,274: 107984[2024-04-17]. DOI: 10.1016/j.agwat.2022.107984.
    [5] 王一心, 冯天骄, 肖辉杰, 等. 干旱胁迫和不同株高基径条件下的白刺液流速率特征差异[J]. 水土保持研究, 2023,30(5): 234−240, 249.

    WANG Yixin, FENG Tianjiao, XIAO Huijie,et al. Characteristics of sap flow rate ofNiraria tangutorumunder drought stress and diflerent plant height and basal diameter [J].Research of Soil and Water Conservation, 2023,30(5): 234−240, 249.
    [6] HONG Liu, GUO Jianbin, LIU Zebin,et al. Time-lag effect between sap flow and environmental factors ofLarix principis-rupprechtiiMayr [J/OL].Forests, 2019,10(11): 971[2024-04-17]. DOI: 10.3390/f10110971.
    [7] 王志超, 许宇星, 竹万宽, 等. 雷州半岛尾叶桉人工林夜间耗水特征及驱动因素[J]. 浙江农林大学学报, 2020,37(4): 646−653.

    WANG Zhichao, XU Yuxing, ZHU Wankuan,et al. Characteristics and driving factors of nocturnal water consumption ofEucalypt usurophyllaplantations in Leizhou Peninsula [J].Journal of Zhejiang A&F University, 2020,37(4): 646−653.
    [8] 宋博华, 高歌, 高珊, 等. 基于热技术的活立木液流测量方法综述[J]. 浙江农林大学学报, 2022,39(2): 456−464.

    SONG Bohua, GAO Ge, GAO Shan,et al. Overview of the methods for sap flow measurement of standing tree based on thermal technology [J].Journal of Zhejiang A&F University, 2022,39(2): 456−464.
    [9] 党宏忠, 却晓娥, 冯金超, 等. 土壤水分对黄土区苹果园土壤-植物-大气连续体(SPAC)中水势梯度的影响[J]. 应用生态学报, 2020,31(3): 829−836.

    DANG Hongzhong, QUE Xiao’e, FENG Jinchao,et al. Effect of soil moisture on water potential gradients in the soil-plant-atmosphere continuum (SPAC) of apple orchards in the Loess Plateau, northwest China [J].Chinese Journal of Applied Ecology, 2020,31(3): 829−836.
    [10] 余逍, 李开萍, 刘子琦, 等. 黄金梨土壤-植物-大气连续体界面水分特征[J]. 森林与环境学报, 2021,41(2): 113−123.

    YU Xiao, LI Kaiping, LIU Ziqi,et al. Water characteristics of the soil-plant-atmosphere continuum ofPyrus pyrifolia[J].Journal of Forest and Environment, 2021,41(2): 113−123.
    [11] 裴志永, 郝少荣, 乔敬伟, 等. 毛乌素沙地沙柳枝条茎流特征[J]. 生态环境学报, 2019,28(1): 48−56.

    PEI Zhiyong, HAO Shaorong, QIAO Jingwei,et al. Characteristics of stem flow ofSalix psammophila’s branch in Mu Us Sandland [J].Ecology and Environmental Sciences, 2019,28(1): 48−56.
    [12] 刘雅莉, 白建华, 熊伟, 等. 乌兰布和沙漠梭梭(Haloxylon ammodendron)夜间液流特征及其环境驱动机制[J]. 中国沙漠, 2022,42(5): 195−203.

    LIU Yali, BAI Jianhua, XIONG Wei,et al. The characteristics of branch nocturnal sap flow and its environmental driving mechanism ofHaloxylon ammodendronartificial shrub in the Ulan Buh Desert [J].Journal of Desert Research, 2022,42(5): 195−203.
    [13] HAYAT M, IQBAL S, ZHA Tianshan,et al. Biophysical control on nighttime sap flow inSalix psammophilain a semiarid shrubland ecosystem [J/OL].Agricultural and Forest Meteorology, 2021,300: 108329[2024-04-17]. DOI: 10.1016/j.agrformet.2021.108329.
    [14] 郝少荣, 裴志永, 段广东, 等. 不同时间尺度下环境因子与沙柳茎流关系的差异研究[J]. 干旱区资源与环境, 2020,34(3): 152−158.

    HAO Shaorong, PEI Zhiyong, DUAN Guangdong,et al. Relationships between environmental factors andSalix psammophila’s sap flow at different time scales [J].Journal of Arid Land Resources and Environment, 2020,34(3): 152−158.
    [15] 刘文娟, 裴志永, 陈宏伟, 等. 沙柳不同方位枝条液流变化及主要影响因子[J/OL]. 中国水土保持科学(中英文), 2024,22(5): 141−150.

    LIU Wenjuan, PEI Zhiyong, CHEN Hongwei,et al. Nocturnal sap flow variation characteristics and main influencing factors ofSalix psammophilabranches in different directions [J/OL].Science of Soil and Water Conservation, 2024,22(5): 141−150.
    [16] 徐先英, 孙保平, 丁国栋, 等. 干旱荒漠区典型固沙灌木液流动态变化及其对环境因子的响应[J]. 生态学报, 2008,28(3): 895−905.

    XU Xianying, SUN Baoping, DING Guodong,et al. Sap flow patterns of three main sand-fixing shrubs and their responses to environmental factors in desert areas [J].Acta Ecologica Sinica, 2008,28(3): 895−905.
    [17] 洪光宇, 王晓江, 刘果厚, 等. 毛乌素沙地沙柳液流特征及其对环境因子的响应[J]. 干旱区研究, 2021,38(3): 794−801.

    HONG Guangyu, WANG Xiaojiang, LIU Guohou,et al. Characteristics ofSalix psammophilasap flow and its response to environmental factors in Mu Us Sandy Land [J].Arid Zone Research, 2021,38(3): 794−801.
    [18] MEINZER F C, JAMES S A, GOLDSTEIN G. Dynamics of transpiration sap flow and use of stored water in tropical forest canopy trees [J].Tree Physiology, 2004,24(8): 901−909.
    [19] 杨睿智, 马景永, 梁椿烜, 等. 基于液流和叶片水势测定的沙柳水分利用特征分析[J]. 北京林业大学学报, 2019,41(11): 87−94.

    YANG Ruizhi, MA Jingyong, LIANG Chunxuan,et al. Analyses on water use characteristics ofSalix psammophilabased on sap flow and leaf water potential [J].Journal of Beijing Forestry University, 2019,41(11): 87−94.
    [20] 杨强. 降雨对毛乌素沙地油蒿和沙柳蒸腾特性的影响[D]. 北京: 北京林业大学, 2016.

    YANG Qiang.Effect of Rainfall on Transpiration of Artemisia ordosica and Salix psammophila in the Mu Us Desert[D]. Beijing: Beijing Forestry University, 2016.
    [21] 刘鑫, 张金池, 汪春林, 等. 长三角区麻栎树干液流的季节变化特征[J]. 中国水土保持科学, 2013,11(6): 66−73.

    LIU Xin, ZHANG Jinchi, WANG Chunlin,et al. Seasonal variation characteristics of sap flow ofQuercus acutissimain the Yangtze River Delta [J].Science of Soil and Water Conservation, 2013,11(6): 66−73.
    [22] 张益, 王渝淞, 武昱鑫, 等. 坝上地区人工林和草地生长季土壤水势动态[J]. 水土保持学报, 2023,37(3): 181−189.

    ZHANG Yi, WANG Yusong, WU Yuxin,et al. Dynamics of soil water potential in growing season of plantation and grassland in Bashang Area [J].Journal of Soil and Water Conservation, 2023,37(3): 181−189.
    [23] 张晨成. 黄土高原退耕还林的土壤水分效应研究[D]. 北京: 中国科学院大学, 2017.

    ZHANG Chencheng.Study on Soil Water Effects of Returning Farmland to Forest on the Loess Plateau of China[D]. Beijing: University of Chinese Academy of Sciences, 2017.
    [24] 何志斌, 赵文智. 半干旱地区流动沙地土壤湿度变异及其对降水的依赖[J]. 中国沙漠, 2002,22(4): 359−362.

    HE Zhibing, ZHAO Wenzhi. Variability of soil moisture of shifting sandy land and its dependence on precipitation in semi-arid region [J].Journal of Desert Research, 2002,22(4): 359−362.
    [25] 魏鸾葳, 陈左司南, 陈胜楠, 等. 降雨对河岸生态系统杨树树干液流及其环境控制的影响[J]. 水土保持学报, 2023,37(4): 284−293.

    WEI Luanwei, CHEN Zuosinan, CHEN Shengnan,et al. Effects of rainfall on sap flow and its environmental controls in a riparian poplar plantation ecosystem [J].Journal of Soil and Water Conservation, 2023,37(4): 284−293.
    [26] BOSVELD F C, BOUTEN W. Evaluating a model of evaporation and transpiration with observations in a partially wet Douglas-fir forest [J].Boundary-Layer Meteorology, 2003,108(3): 365−396.
    [27] 张锦春, 徐先英, 孙学兵, 等. 民勤荒漠梭梭茎干液流动态[J]. 草业科学, 2023,40(1): 169−178.

    ZHANG Jinchun, XU Xianying, SUN Xuebin,et al. Dynamic changes in the sap flow ofHaloxylon ammodendronin the Minqin desert region [J].Pratacultural Science, 2023,40(1): 169−178.
    [28] 詹瑾. 模拟降雨对核桃苗木蒸腾耗水、生理及生长特性研究[D]. 兰州: 甘肃农业大学, 2019.

    ZHAN Jin.Study on Transpiration Water Consumption, Physiology and Growth Characteristics of Walnut Seedlings under Simulated Rainfall[D]. Lanzhou: Gansu Agricultural University, 2019.
    [29] EBERBACH P L, BURROWS G E. The transpiration response by four topographically distributedEucalyptusspecies to rainfall occurring during drought in southeastern Australia [J].Physiologia Plantarum, 2006,127(3): 483−493.
    [30] 卢森堡, 陈云明, 唐亚坤, 等. 黄土丘陵区混交林中油松和沙棘树干液流对降雨脉冲的响应[J]. 应用生态学报, 2017,28(11): 3469−3478.

    LU Senbao, CHEN Yunming, TANG Yakun,et al. Sap flux density in response to rainfall pulses forPinus tabuliformisandHippophae rhamnoidesfrom mixed plantation in hilly Loess Plateau [J].Chinese Journal of Applied Ecology, 2017,28(11): 3469−3478.
  • [1] 黄靖涵, 毕华兴, 赵丹阳, 王宁, 刘泽晖, 张荣.晋西黄土区典型人工林土壤水分的垂直分布特征. 浙江农林大学学报, 2024, 41(2): 387-395.doi:10.11833/j.issn.2095-0756.20230228
    [2] 陈炎根, 胡艳静, 黄莎, 刘波, 吴继来, 王懿祥.不同间伐强度对杉木人工林土壤呼吸速率的短期影响. 浙江农林大学学报, 2023, 40(5): 1054-1062.doi:10.11833/j.issn.2095-0756.20220704
    [3] 竹万宽, 许宇星, 王志超, 杜阿朋.尾巨桉人工林土壤呼吸对林下植被管理措施的响应. 浙江农林大学学报, 2023, 40(1): 164-175.doi:10.11833/j.issn.2095-0756.20220138
    [4] 刘菊莲, 韦博良, 吴雁南, 郑英茂, 刘金亮, 倪健, 于明坚, 郑子洪.浙江九龙山常绿阔叶林不同物种的径级结构及空间关联. 浙江农林大学学报, 2023, 40(3): 598-607.doi:10.11833/j.issn.2095-0756.20220521
    [5] 杨仕明, 蔡乾坤, 刘文飞, 吴建平.杉木人工林土壤氮矿化对长期氮添加和季节的响应. 浙江农林大学学报, 2021, 38(5): 945-952.doi:10.11833/j.issn.2095-0756.20210403
    [6] 胡颖槟, 金锦, 童志鹏, 吴家森.山核桃人工林土壤肥力研究进展. 浙江农林大学学报, 2021, 38(5): 1066-1075.doi:10.11833/j.issn.2095-0756.20210501
    [7] 庾露, 黄艳霞, 刘警鉴, 段炼.降雨影响下的水稻长势极化特征提取. 浙江农林大学学报, 2020, 37(5): 992-998.doi:10.11833/j.issn.2095-0756.20190605
    [8] 赵庆, 胡柔璇, 许东先, 魏玉晗, 唐洪辉.佛山市公园风景游憩林的群落结构特征. 浙江农林大学学报, 2020, 37(3): 447-455.doi:10.11833/j.issn.2095-0756.20190396
    [9] 张海涛, 宫渊波, 付万权, 陈耀嘉, 徐云岩, 崔亚潇.马尾松低效人工林不同改造模式下降雨及产流特征. 浙江农林大学学报, 2018, 35(1): 29-34.doi:10.11833/j.issn.2095-0756.2018.01.004
    [10] 肖玖金, 林宏贵, 周鑫, 尤花, 李云, 张健.不同坡位柳杉人工林夏季土壤动物群落特征. 浙江农林大学学报, 2016, 33(2): 257-264.doi:10.11833/j.issn.2095-0756.2016.02.010
    [11] 巢林, 洪滔, 李键, 陈灿, 洪伟, 吴承祯.不同林龄、径级杉木人工林种内竞争规律. 浙江农林大学学报, 2015, 32(3): 353-360.doi:10.11833/j.issn.2095-0756.2015.03.004
    [12] 袁佳丽, 温国胜1, 张明如, 张汝民, 蔡先锋, 曾莹莹, 李洪吉, 温星, 朱弘.毛竹快速生长期的水势变化特征. 浙江农林大学学报, 2015, 32(5): 722-728.doi:10.11833/j.issn.2095-0756.2015.05.010
    [13] 吴胡强, 邵永昌, 庄义琳, 张金池, 韩诚, 刘鑫, 庄家尧.南京城郊麻栎林坡面土壤体积含水率与侧向流对降雨响应. 浙江农林大学学报, 2014, 31(5): 683-689.doi:10.11833/j.issn.2095-0756.2014.05.004
    [14] 张佳音, 丁国栋, 余新晓, 史宇, 贾丽娜.北京山区人工侧柏林的径级结构与空间分布格局. 浙江农林大学学报, 2010, 27(1): 30-35.doi:10.11833/j.issn.2095-0756.2010.01.005
    [15] 曾燕如, 黎章矩.油茶花期气候对花后坐果的影响. 浙江农林大学学报, 2010, 27(3): 323-328.doi:10.11833/j.issn.2095-0756.2010.03.001
    [16] 杨静, 王华田, 宋承东, 张培法, 王迎, 谭秀梅, 董玉峰.土壤水分连续变化过程对盆栽红叶石楠苗期蒸腾特性的影响. 浙江农林大学学报, 2008, 25(5): 670-674.
    [17] 袁颖红, 樊后保, 王强, 裘秀群, 陈秋凤, 李燕燕, 黄玉梓, 廖迎春.模拟氮沉降对杉木人工林土壤有效养分的影响. 浙江农林大学学报, 2007, 24(4): 437-444.
    [18] 王景燕, 龚伟, 胡庭兴, 宫渊波, 冉华.川南天然常绿阔叶林人工更新后的土壤水源涵养功能. 浙江农林大学学报, 2007, 24(5): 569-574.
    [19] 温国胜, 张国盛, 张明如, 王林和, 吉川贤.干旱胁迫条件下臭柏的气孔蒸腾与角质层蒸腾. 浙江农林大学学报, 2003, 20(3): 268-272.
    [20] 谢哲根, 刘安兴, 陈学堂, 陈安统, 许祖福.相对树高曲线研究. 浙江农林大学学报, 1998, 15(1): 69-75.
  • 加载中
  • 链接本文:

    https://zlxb.zafu.edu.cn/article/doi/10.11833/j.issn.2095-0756.20240359

    https://zlxb.zafu.edu.cn/article/zjnldxxb/2025/1/163

图(7)/ 表(5)
计量
  • 文章访问数:747
  • HTML全文浏览量:256
  • PDF下载量:17
  • 被引次数:0
出版历程
  • 收稿日期:2024-05-17
  • 修回日期:2024-09-18
  • 录用日期:2024-09-20
  • 网络出版日期:2024-11-05
  • 刊出日期:2025-02-20

沙柳人工林液流速率对土壤供水状况的响应及其影响因素

doi:10.11833/j.issn.2095-0756.20240359
    基金项目:国家自然科学基金资助项目(52069018);内蒙古自治区科技计划项目(2020GG0078);内蒙古自治区自然科学基金资助项目(2021BS03019);内蒙古自治区科技重大专项(2020ZD0009)
    作者简介:

    孙凯(ORCID: 0009-0008-2311-0874),讲师,博士研究生,从事灌木林资源开发与水土保持研究。E-mail:sunkai@imau.edu.cn

    通信作者:裴志永(ORCID: 0009-0005-1654-9182),教授,博士生导师,从事森林资源开发与环境研究。E-mail:peizhiyong@imau.edu.cn
  • 中图分类号:S774

摘要: 目的研究沙柳 Salix psammophila不同径级枝条的液流速率动态变化规律,探究沙柳在生长季降雨影响下响应土壤水势和气象因子的用水控制策略,旨在为理解沙生灌木在季节性干旱下的耗水特征提供理论参考。 方法在库布齐沙漠沙柳国家种质资源库选择3株样树的12根枝条(包括6~8、8~10、10~12和>12 mm共4个径级),于2023年5—10月采用包裹式植物液流计连续监测沙柳液流变化,并同步监测土壤水势与降雨量、气温、空气相对湿度等气象因子,采用主成分分析法与逐步线性回归法分析降雨前后液流对主要气象因子和不同土层土壤水势的响应。 结果①生长季内,5—8月各径级沙柳液流速率日变化呈“单峰”或“双峰”型曲线,而9—10月易出现“U”字型曲线,且液流速率起变时间逐渐推迟。②径级较小沙柳液流速率与20和40 cm土层水势显著强正相关( P<0.05),且受40 cm土层水势的直接作用较大;径级较大沙柳与60和80 cm土层水势显著强正相关( P<0.05),受80 cm土层水势直接作用较大。③当降雨量大于10 mm时,各径级沙柳液流速率呈“多峰”型曲线,且日累计液流量下降。降雨前土壤温度、饱和水汽压差、空气相对湿度和气温对液流变化累计贡献率达71%,降雨后10与20 cm土层水势对液流变化累计贡献率达63%。 结论沙柳液流速率的瞬时变动和总体水平分别受气象因子和土壤供水的影响,表明季节性干旱下沙柳短期和长期液流特征对环境因子具有不同响应。图7表5参30

English Abstract

孙凯, 刘文娟, 裴志永, 等. 沙柳人工林液流速率对土壤供水状况的响应及其影响因素[J]. 浙江农林大学学报, 2025, 42(1): 163−174 doi: 10.11833/j.issn.2095-0756.20240359
引用本文: 孙凯, 刘文娟, 裴志永, 等. 沙柳人工林液流速率对土壤供水状况的响应及其影响因素[J]. 浙江农林大学学报, 2025,42(1): 163−174doi:10.11833/j.issn.2095-0756.20240359
SUN Kai, LIU Wenjuan, PEI Zhiyong, et al. Response of sap flow rate in Salix psammophila plantation to soil water supply and its influencing factors[J]. Journal of Zhejiang A&F University, 2025, 42(1): 163−174 doi: 10.11833/j.issn.2095-0756.20240359
Citation: SUN Kai, LIU Wenjuan, PEI Zhiyong,et al. Response of sap flow rate inSalix psammophilaplantation to soil water supply and its influencing factors[J].Journal of Zhejiang A&F University, 2025,42(1): 163−174doi:10.11833/j.issn.2095-0756.20240359
  • 中国荒漠化土地面积为262.2万 km2,占国土面积的27.4%。自20世纪70年代以来,中国相继启动了“三北”防护林工程体系建设、京津风沙源治理、水土流失综合治理等重点生态工程。中国已成为全球森林资源增长最快、生态治理成效最显著的国家[1]。库布齐沙漠人工林是“三北”防护林体系的重要组成部分。尽管可以通过建设人工林治理库布齐沙漠,但不适度的人工植被建设易导致林水矛盾激化,影响人工林的稳定发展[23]。基于此,研究干旱半干旱地区林地树种耗水规律尤为重要。沙柳Salix psammophila属于杨柳科Salicaceae落叶灌木,多分布于中国西北部干旱、半干旱地区,具有耐干旱、生长迅速、萌蘖能力强、抗风沙及耐盐碱等特点,成为“三北”防护林的首选树种之一。以往研究表明:由于植物在长期生长过程中依赖和适应外界环境变化,其蒸腾耗水特点的变化具有明显的环境水分依赖性[45]。因此,迫切需要了解环境水分传输对于沙柳蒸腾耗水的影响机制,以提高干旱半干旱地区植被建设中的林木质量并避免林木资源流失。

    99.8%以上的植物蒸腾耗水来自树干液流[6]。植物液流通常被作为定量描述植物体内水分状况的指标,表征植物体内水分传输变化特征,反映植物的水分利用策略[7],揭示植物对周围环境变化的适应能力。液流速率可以较为准确地描述单木蒸腾耗水过程[8]。大气、土壤作为主要环境因素驱动或制约着水分传输[9]。土壤水分是植物根系吸水的主要来源,通常用土壤含水量与土壤水势来描述土壤水分状况[10]。降雨量是衡量大气水分特征的重要指标之一,它直接影响着大气中的水蒸气含量和相对湿度[11]。曾针对毛乌素沙地、河套地区、乌兰布和沙漠等干旱半干旱地区开展了沙柳及其他灌木液流速率的研究,发现液流特征主要受气象因素、土壤水分因素和生物学结构因素的影响[1114],然而,已有研究鲜有报道干旱半干旱环境中沙柳不同基径等级枝条的液流速率对气象因子的响应规律,更少有研究揭示降雨驱动或制约沙柳蒸腾耗水及土壤水分传输的重要作用。因此,本研究选择库布齐沙漠典型沙柳人工林为研究对象,对沙柳液流速率、降雨情况、土壤水势及气象因子进行连续同步监测,研究沙柳不同基径等级枝条的液流速率动态变化规律,从而探究沙柳在生长季响应环境因子尤其是降雨和土壤水分变化过程中的蒸腾耗水控制策略,旨在为理解沙生灌木在季节性干旱下的耗水特征提供理论参考,并为干旱半干旱地区人工林的可持续发展提供依据。

    • 研究区位于内蒙古自治区鄂尔多斯市达拉特旗吉格斯太镇沙柳国家种质资源库(40°14′24″N,110°39′14″E),平均海拔为1 128 m。研究区属于温带大陆性季风气候,年平均气温为6.1~7.2 ℃,年平均降雨量为297.3 mm,年均日照时数约3 000 h。土壤类型主要为草甸风沙土,土壤质地以砂土和壤土为主。人工林树种主要为沙柳。

    • 2023年5月15日—10月15日,根据研究区沙柳基径(D)分布频率,将基径分为4个径级(基径6~8、8~10、10~12、>12 mm,下限排除法)。由于研究区坡度存在差异,为了保证被测对象具有代表性,在研究区右侧、中部与左侧各选取3株生长状况相似的3年生沙柳,选择不同径级沙柳枝条共12枝,即3组重复。采用基于茎热平衡法(SHB)的植物液流计(EMS 62,20通道),对生长季内沙柳枝条液流动态进行监测,传感器安装于距地表45 cm处沙柳枝条上。采用Mini32数据采集器进行数据采集,采集时间间隔为10 s,并存储为10 min的平均值。根据公式(1)计算平均液流速率Q(g·h−1)[15]

      $$ Q = \left( {\frac{{P_{\mathrm{w}}}}{{\Delta T \times C}} - \frac{Z}{C}} \right) \times {\text{3}}{\text{.6}} \times {\text{1}}{{\text{0}}^{\text{6}}} 。 $$ (1)

      式(1)中:Pw为热输入功率(W),ΔT为测量点的温度差(K),C为水的比热容(J·kg−1·K−1),Z为测量点的热损失系数(W·K−1)。

    • 采用HOBO U30小型气象站,连续监测太阳辐射(R,W·m−2)、气温(Ta,℃)、空气相对湿度(HR,%)、风速(Vw,m·s−1)、风向(WDIR)、降雨量(P,mm)等气象因子。参考综合反映气温与相对湿度的协同效应,选择饱和水汽压差(DVP,kPa)进行评价。公式见文献[15]。

    • 在研究区右侧、中部与左侧所选的沙柳样株附近各随机选取1块样地,依次标号为1号样地、2号样地和3号样地,在每个样地内分别随机设置3个土壤水势测量点(共9个)。采用TEROS 21土壤水势传感器与ZL6数据采集器连续监测各测量点土壤水势和土壤温度,监测深度为10、20、40、60及80 cm。隔10 min记录1次数据。气象因子、沙柳液流和土壤水势监测时间同步。

    • 运用Excel 2021整理统计沙柳液流速率、气象因子及土壤水势等数据, 采用SPSS 26.0 对数据进行单因素方差分析(ANOVA)以及显著性检验,显著性水平为0.05,并进行通径分析、主成分分析及逐步回归分析,利用Origin 2021对其他数据进行处理和制图。

    • 图1可见:研究期内,风向以西北风、东北偏东风及东风为主,静风占比约44%。风速呈逐渐下降趋势,7月前风速为2~5 m·s−1,7月后风速为2 m·s−1以下。TaHRDVP总体均呈先升高后降低的趋势。5—8月太阳辐射强度处于较高值且相差较小,9—10月下降较多。降雨主要集中于6—7月,日最大降雨量发生于6月底。

      图 1气象因子变化特征

      Figure 1.Variation characteristics of meteorological factors

    • 土壤水势随时间变化规律如图2所示,1、2和3块样地水势变化规律相似,总体呈降低趋势。各样地土壤水势均在5月最高,约为−1.0 kPa,之后土壤水势开始逐渐降低,并于7—8月出现小幅上升, 9—10月又继续降低。

      图 2土壤水势时空动态变化

      Figure 2.Spatiotemporal dynamic changes of soil water potential

    • 表1所示:研究期间,整个生长季各样地在10 cm土层土壤最为干旱,水势显著小于其他土层(P<0.05);除1号样地外,20 cm土壤次之,且40、60和80 cm土壤湿润程度显著高于其他土层(P<0.05)。此外,20 cm土层土壤水势更接近各土层水势均值。

      表 1土壤水势的统计描述及差异显著性检验

      Table 1.Statistical description and significant difference test of soil water potential

      样地号 土层/cm 土壤水势/kPa 样地号 土层/cm 土壤水势/kPa
      最大值 最小值 均值 标准差 最大值 最小值 均值 标准差
      1号 10 −0.442 −6.021 −2.525 e 1.592 2号 60 −0.098 −0.200 −0.107 a 0.028
      20 −0.280 −1.590 −0.574 b 0.299 80 −0.200 −0.500 −0.216 a 0.051
      40 −0.300 −5.320 −1.309 d 1.401 3号 10 −0.284 −345.408 −53.757 c 91.449
      60 −0.098 −0.200 −0.104 a 0.021 20 −0.098 −38.295 −7.239 b 10.839
      80 −0.100 −0.490 −0.177 a 0.070 40 −0.100 −5.200 −1.133 a 1.638
      2号 10 −0.496 −10.319 −5.407 d 2.888 60 −0.100 −0.400 −0.195 a 0.095
      20 −0.200 −5.677 −2.271 c 1.855 80 −0.098 −0.100 −0.098 a 0.001
      40 −0.100 −1.168 −0.297 a 0.310
        说明:均值后不同小写字母表示差异显著(P<0.05)。
    • 沙柳各径级液流速率呈现出明显的季节变化(图3)。在试验期间,沙柳液流速率从大到小依次为6、7、5、8、9、10月,其中径级10~12与>12 mm的枝条此规律较为明显。在5、7和8月,径级6~8 mm沙柳液流速率总体上均呈“单峰”型曲线,6月液流速率呈“双峰”型曲线,中午存在轻微“午休”现象,而径级6~8 mm沙柳液流速率在9和10月呈现先下降后上升的趋势。从沙柳液流速率日变化来看,除9和10月外,一般在每日11:00—15:00达到峰值。液流起变时间随着月份推移逐渐推迟,止变时间各月几乎一致。径级8~10、10~12和>12 mm沙柳液流速率在5—9月呈“单峰”型曲线,10月呈“U”字型曲线。径级8~10与10~12 mm液流速率在5—7月、9—10月的起变和止变时间基本一致,8月液流起变时间推迟2 h,止变时间提前1 h;径级>12 mm液流起变时间随月份推移逐渐推迟,6和7月相较于其他月份止变时间推迟1 h左右。

      图 3不同径级沙柳平均液流速率变化

      Figure 3.Change of average sap flow velocity of different diameter ranks ofS. psammophila

    • 选取发生在 6—8月的9次具有代表性的降雨事件(表2),分析不同降雨量、降雨时长和降雨强度下沙柳液流对降雨事件的响应。

      表 2不同降雨事件特征

      Table 2.Characteristics of different rainfall events

      降雨事件 降雨量/mm 持续时间/h 降雨强度/(mm·h−1) 降雨事件 降雨量/mm 持续时间/h 降雨强度/(mm·h−1)
      最小值 最大值 均值 最小值 最大值 均值
      A 14.4 9 0.4 4.0 1.6 F 10.8 8 0.2 4.2 1.5
      B 18.2 5 0.4 11.2 3.6 G 9.4 2 3.2 6.2 4.7
      C 3.7 6 0.1 1.0 0.6 H 5.8 5 0.2 3.6 1.2
      D 13.6 14 0.2 3.6 1.0 I 7.2 5 0.2 2.4 1.4
      E 4.6 4 0.2 3.8 1.2

      降雨事件A~I发生时,各径级沙柳枝条液流速率日动态特征如图4。A事件总降雨量为14.4 mm,各径级液流速率呈“双峰”型曲线,6:00为起变时间,8:00达到第1峰值,11:00达到第2峰值。B事件径级6~8与8~10 mm沙柳液流速率呈“双峰”型曲线,径级10~12与>12 mm沙柳液流速率呈“多峰”型曲线。C事件液流速率呈“单峰”型曲线。D事件、E事件与G事件各径级沙柳液流速率均呈“双峰”型曲线。F事件13:00和19:00分别为液流起变时间和止变时间。H事件各径级沙柳液流速率呈“单峰”型曲线。I事件降雨开始于16:00,各径级液流速率呈“双峰”型曲线。

      图 4不同降雨事件下沙柳液流速率变化

      Figure 4.Changes of sap flow velocity under different rainfall events

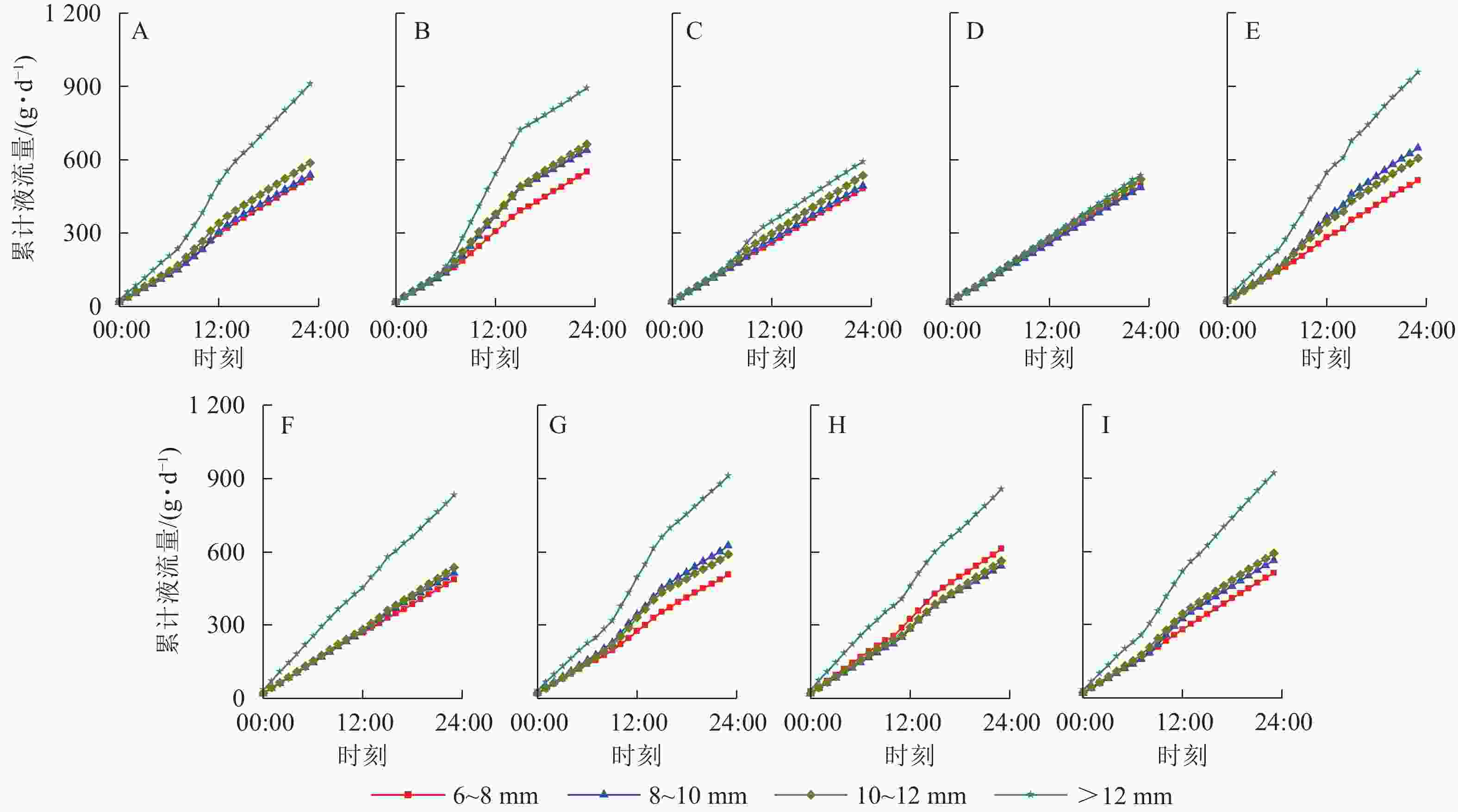
      降雨事件A~I发生时,各径级沙柳枝条当日累计液流量如图5。各降雨事件的沙柳日累计液流量均随枝条径级增大而增加,且径级>12 mm日累计液流量大都显著高于其他径级。降雨量为10 mm以上的降雨事件A、B、D和F的各径级日累计液流量总和平均值为2 428.3 g·d−1,降雨量为10 mm以下的降雨事件C、E、G、H和I的各径级日累计液流量总和平均值为2 526.2 g·d−1

      图 5不同降雨事件下当日累计液流量变化

      Figure 5.Changes of daily cumulative sap flow under different rainfall events

    • 不同径级沙柳液流速率与各土层土壤水势大都在0.05水平上存在显著正相关(图6)。其中,径级6~8、8~10和10~12 mm沙柳枝条液流速率均与20 cm土层土壤水势(PSW20)和40 cm土层土壤水势(PSW40)呈显著正相关(P<0.05);此外径级10~12 mm还与10 cm土层土壤水势(PSW10)和60 cm土层土壤水势(PSW60)呈显著正相关(P<0.05),而径级>12 mm仅与80 cm土层土壤水势(PSW80)呈显著正相关(P<0.05)。综上,径级较小的沙柳枝条液流速率与PSW20PSW40相关性更高,而径级较大的枝条液流速率则与PSW60PSW80相关性更高。

      图 6沙柳液流速率与土壤水势的相关性

      Figure 6.Correlation between plant sap flow rate and soil water potential

      通过沙柳枝条各径级液流速率与土壤水势的通径分析(表3)可知:土壤水势对径级6~8和8~10 mm沙柳液流速率的直接作用从大到小依次为PSW40PSW60PSW10PSW80PSW20。对径级10~12 mm沙柳液流速率的直接作用从大到小依次为PSW40PSW10PSW20PSW60PSW 80;对径级>12 mm沙柳液流速率的直接作用从大到小依次为PSW80PSW60PSW40PSW10PSW20。说明PSW40对径级6~8、8~10和10~12 mm沙柳液流速率的直接作用最大,PSW80对径级>12 mm沙柳液流速率的直接作用最大。PSW20的间接通径系数之和远大于直接通径系数,所以PSW20主要是通过PSW40PSW60的共同作用影响沙柳液流。

      表 3沙柳液流速率与土壤水势的通径分析

      Table 3.Path analysis of sap flow rate and soil water potential

      径级/mm 指标 直接通径系数 间接通径系数
      PSW10 PSW20 PSW40 PSW60 PSW80 总计
      6~8 PSW10 0.393 0.275 0.362 0.329 0.146 1.113
      PSW20 0.196 0.137 0.171 0.145 0.083 0.537
      PSW40 2.108 1.944 1.842 1.927 1.079 6.792
      PSW60 1.235 1.035 0.916 1.129 0.903 3.983
      PSW80 0.359 0.133 0.153 0.184 0.262 0.732
      8~10 PSW10 0.656 0.460 0.605 0.550 0.243 1.858
      PSW20 0.020 0.014 0.017 0.015 0.009 0.055
      PSW40 2.169 2.000 1.896 1.982 1.111 6.989
      PSW60 0.956 0.801 0.709 0.874 0.699 3.083
      PSW80 0.087 0.032 0.037 0.045 0.064 0.177
      10~12 PSW10 0.192 0.135 0.177 0.161 0.071 0.544
      PSW20 0.095 0.067 0.083 0.070 0.040 0.260
      PSW40 1.089 1.004 0.952 0.995 0.558 3.509
      PSW60 0.031 0.026 0.023 0.028 0.023 0.100
      PSW80 0.001 0.000 0.000 0.001 0.001 0.002
      >12 PSW10 0.221 0.155 0.204 0.185 0.082 0.626
      PSW20 0.036 0.025 0.031 0.027 0.015 0.099
      PSW40 0.505 0.466 0.441 0.462 0.259 1.627
      PSW60 0.540 0.453 0.401 0.494 0.395 1.742
      PSW80 0.702 0.260 0.298 0.359 0.513 1.431
        说明:-表示无此项。PSW10PSW20PSW40PSW60PSW80分别表示10、20、40、60和80 cm土层土壤水势。
    • 本研究测定了降雨前后风速、气温、相对湿度、饱和水汽压差和不同土层土壤水势、土壤温度等11个指标。降雨前针对影响沙柳液流速率的环境因子采用主成分分析法共提取了3个主成分,累计方差贡献率为87.5%,分别解释了方差的42.1%、28.9%、16.5%(表4)。第一主成分主要包括20 cm土层土壤温度(Ts20)和40 cm土层土壤温度(Ts40)等因子,归为土壤蒸发需求因子。第二主成分包括饱和水汽压差、空气相对湿度和气温等因子,归为大气蒸发需求因子。第三主成分包括10 cm土层土壤水势(PSW10)与20 cm土层土壤水势(PSW20),可以归为土壤水分供给因子(图7)。

      表 4环境因子中的主成分特征值及贡献率

      Table 4.Principal component characteristic value and contribution rates in environmental factors

      阶段 主成分 特征值 贡献率/% 累计贡献率/% 阶段 主成分 特征值 贡献率/% 累计贡献率/%
      降雨前 1 42.1 42.1 42.1 降雨后 1 9.9 62.8 62.8
      2 28.9 28.9 71.0 2 2.6 23.3 86.2
      3 1.8 16.5 87.5

      图 7降雨前后环境因子载荷分析图

      Figure 7.Load analysis diagram of environmental factors before and after rainfall

      降雨后,共提取了2个主成分,累积方差贡献率达86.2%,分别解释方差的62.8%、23.4%(表4)。其中第一主成分主要包含10 cm土层土壤水势(PSW10)和20 cm土层土壤水势(PSW20)等因子,归为土壤水分供给因子;第二主成分主要包含饱和水汽压差和空气相对湿度等因子,可归为大气蒸发需求因子(图7)。

      由各径级沙柳液流速率与环境因子的逐步回归模型(表5)可知:降雨前沙柳液流速率与各环境因子决定系数平均为0.83,降雨后为0.71。降雨前各径级第一进入因子均为空气相对湿度,即各径级液流变化主控因子为空气相对湿度。降雨后第一进入因子为土壤因子,且径级>12 mm沙柳液流速率在降雨前与降雨后所受制约的因子数均较少。

      表 5液流速率与环境因子的逐步回归模型

      Table 5.Stepwise regression model of sap flow rate and environmental factors

      阶段 径级/mm 回归方程 R2 P
      降雨前 6~8 y=41.228−0.333HR−9.046DVP+0.511Ta 0.826 0.000
      8~10 y=26.032−0.110HR+0.009R 0.811 0.000
      10~12 y=84.661−0.697HR−19.646DVP+1.453Ta-1.194Ts20 0.894 0.000
      >12 y=58.655−0.264HR 0.789 0.000
      降雨后 6~8 y=11.216+0.339Ts20 0.523 0.000
      8~10 y=98.810+1.117PSW40+774.279PSW60 0.831 0.000
      10~12 y=14.026+0.343Ts10+0.004R 0.742 0.000
      >12 y=22.726+0.546Ta+0.100R 0.731 0.000
        说明:y. 沙柳液流;HR. 空气相对湿度;DVP. 饱和水汽压差;Ta. 气温;R. 太阳辐射强度;Ts10. 10 cm土层土壤温度;Ts20. 20 cm土层土壤温度;PSW40. 40 cm土层土壤水势;PSW60. 60 cm土层土壤水势。
    • 本研究中,5—8月,各径级沙柳枝条全天液流速率均呈“单峰”或“双峰”型曲线。在干旱、半干旱区,夏季中午太阳辐射强、温度高,植物会通过关闭气孔的方式,来减少体内水分过分流失,从而降低液流,出现“午休”现象[16]。各径级沙柳枝条液流速率在9和10月出现“U”型曲线或日间液流速率低于夜间的情形,与洪光宇等[17]的研究结果不一致。这可能由于本研究区干旱加剧,并且日间低温下光合作用减弱,树木在遭遇水分等因子胁迫时,可以通过控制气孔开闭、降低叶片蒸腾、调节叶片细胞渗透势等途径来抵御干旱,其中对气孔开闭的控制最为重要,表明沙柳在一定程度上通过调控气孔开度进而控制叶片传导度来调控蒸腾[1819]

      本研究发现:沙柳液流速率呈现出明显的季节性规律,月尺度液流速率从大到小一般为6、7、5、8、9、10月,这与郝少荣等[14]对毛乌素沙地沙柳的研究结果不完全相同。总体来说,液流速率变化都受季节降水的影响,在生长初期的旱季(5月)液流速率较小,在雨季沙柳生长旺盛,液流速率也随之增大,且在降雨事件后液流速率一般有较大波动。有学者对比了干旱季和雨季沙柳液流速率变化规律,发现春季和夏季出现的干旱对液流都有抑制作用,夏季后期降雨增多使得液流量保持较高[20]。以上结果可能是由于当环境水分较低时,沙柳通过关闭气孔等方式降低液流速率,减少自身需水量,提高水分利用率,从而适应环境的干旱胁迫[18]。其中,更高径级(>12 mm) 的沙柳液流速率较同生境8~10、10~12和6~8 mm的沙柳液流速率更高,且变化幅度更大,说明径级更高的枝条具有更好的环境适应性。本研究中各径级液流速率起变时间在7月之后随着月份的推移逐渐推迟,而液流结束时间各月几乎一致。一方面,可能由于液流清晨起变相较于下午止变更容易受到温度和光照强度等因素影响;另一方面,植物在生长季初期相较于后期代谢旺盛,对水分需求量更大,从而使得后期液流速率的起变时间推迟[21]

    • 本研究中,10~40 cm土层土壤水势较小且变化剧烈,60与80 cm土层土壤水势较大且较稳定,基本达到饱和。这与张益等[22]研究发现樟子松Pinus sylvestrisvar.mongholica林下土壤水势变化规律相似。半干旱区蒸发量远大于降雨量。由于沙地土壤特性的综合作用,浅层土壤的含水量更易受气温、蒸发量和降雨等多种因素影响[23],所以10 cm土层土壤水势变化较剧烈。土壤水势变化对降雨的时空变化具有极强的依赖性[24]。由于降雨是干旱区、半干旱区土壤水分主要的补给形式之一,因此沙柳林土壤水势具有明显的时间变异性。研究期内降雨事件C和I的当日液流速率变化均呈“单峰”型曲线,可能是由于在降雨量较少的情况下,环境中的湿度相对晴天较高,植物不需要采取关闭气孔的措施来减少水分蒸发,因此不会出现类似晴天的“午休”现象。对于降雨量大于10 mm的雨天,各径级沙柳液流速率变化均呈“多峰”型曲线。各径级沙柳日累计液流量总和平均值出现下降,可能归因于降雨使植物叶片上的水分增加,增加了冠层潮湿程度,从而使蒸腾作用的强度降低[25],并且降雨还会增加土壤中的水分含量。当土壤水分充足时,植物根系更易吸收水分,减少了植物对水分的需求,导致雨后短时间内植物液流量降低[26]

      本研究中径级较小的沙柳液流速率与20和40 cm土层土壤水势相关性更高,受40 cm土层土壤水势的直接影响程度较大;而径级较大的沙柳液流速率与60和80 cm土层土壤水势相关性更高,受80 cm土层土壤水势的直接影响程度较大。这可能是由于水分吸收能力和需水量不同导致。径级较大的沙柳枝条生长所需水分更多[27],土层较深处的土壤水势较高,所以在浅层土壤水分受限时,可以获取深层土壤中的水分资源,因此,它们对较深的土壤水势变化更为敏感。

    • 依据研究期内沙柳不同径级枝条液流速率均与不同土层土壤水势呈显著相关,从而考虑降雨前后土壤水势等环境因子对液流特征的影响。本研究中降雨强度大于6 mm·h−1时,液流速率会立即被抑制,其原因可能是当土壤含水量在短时间内增加至过高,据此升高的根系水势释放相应信息素,影响树木细胞的正常生理功能,损害水分运输能力,进而导致液流降低[28]。理论上,降雨通过改变气象因子和补充土壤水分影响沙柳气孔开度和根系吸水,进而促进或抑制沙柳蒸腾耗水,降雨后水蒸气的阻隔致使光照强度和气温降低,从而限制了沙柳光合速率,降低了液流速率[29]。此外,降雨前土壤蒸发需求因子与大气蒸发需求因子累计贡献率为71.0%,土壤水分供给因子贡献率仅为16.5%;降雨后土壤水分供给因子累计贡献率高达62.8%。说明降雨前液流速率主要受气象因子控制,降雨后10与20 cm土层土壤水势是影响液流速率的最重要因子。这与卢森堡等[30]研究沙棘Hippophae rhamnoides对降雨的响应结果相似。该研究认为,长期干旱降低了土壤与根系之间的水势差,从而抑制根系对土壤水分的吸收;较小降雨补充浅层土壤水分,并增加根系与土壤之间的水势差,致使沙棘液流速率主要受10与20 cm处的土壤水势影响。

    • 在生长季,不同径级沙柳枝条液流速率特征具有规律性。5—8月,各径级沙柳枝条液流速率日变化均呈“单峰”或“双峰”型曲线,但9—10月易因低温及干旱出现日间液流速率低于夜间的情形,因此夜间液流的重要性不可忽视。降雨事件前后液流速率一般有较大波动,各径级沙柳枝条液流速率变化均呈“多峰”型曲线,雨后短时间内累计液流量降低。降雨前沙柳液流速率主要影响因素为土壤蒸发需求因子与大气蒸发需求因子,降雨后为土壤水分供给因子。总之,沙柳液流速率的瞬时变动和总体水平分别受气象因子和土壤供水的影响。这表明季节性干旱下沙柳不同时间尺度液流特征受不同环境因子的影响。

参考文献 (30)

目录

    /

      返回文章
      返回
        Baidu
        map