2017年 第34卷 第5期
2017, 34(5): 765-774.
doi:10.11833/j.issn.2095-0756.2017.05.001
摘要:
高光谱数据波段多、波段之间相关性强,导致信息冗余严重,增加了数据处理的工作量,有效准确地在众多波段中选择具有代表性的波段尤为重要。首先用Wilks' Lambda(WL),随机森林(random forest,RF)与自适应波段选择(adaptive band selection,ABS)这3种方法对高光谱数据进行降维处理。然后提出了基于曲线误差指数的评价方法,用此指数的趋势来确定每种降维方法所要选择的合适波段数量,同时用指数的大小评价不同降维方法的优劣,并用分类方法对评价结果加以验证。结果显示:Wilks' Lambda最终选择的波段数为10个,α6-α平稳值(选择6个波段时的曲线误差值与曲线误差平稳值之间的差值)为0.05;随机森林最终选择的波段数为13个,α6-α平稳值为0.06;自适应波段选择方法最终选择的波段数为20个,α6-α平稳为0.14。Wilks' Lambda的总体分类精度为80.56%,Kappa系数为0.77;随机森林的总体分类精度为79.11%,Kappa系数为0.76;自适应波段选择方法的总体分类精度为49.94%,Kappa系数为0.41。得出以下结论:① 基于曲线误差指数的方法得出Wilks' Lambda有最小的α6-α平稳值,是最佳的波段降维方法;分类结果显示:Wilks' Lambda有最大的总体分类精度与Kappa系数,是最佳的波段降维方法。② 基于曲线误差指数的评价方法与基于分类结果的误差一致,说明此方法具有可行性。
高光谱数据波段多、波段之间相关性强,导致信息冗余严重,增加了数据处理的工作量,有效准确地在众多波段中选择具有代表性的波段尤为重要。首先用Wilks' Lambda(WL),随机森林(random forest,RF)与自适应波段选择(adaptive band selection,ABS)这3种方法对高光谱数据进行降维处理。然后提出了基于曲线误差指数的评价方法,用此指数的趋势来确定每种降维方法所要选择的合适波段数量,同时用指数的大小评价不同降维方法的优劣,并用分类方法对评价结果加以验证。结果显示:Wilks' Lambda最终选择的波段数为10个,α6-α平稳值(选择6个波段时的曲线误差值与曲线误差平稳值之间的差值)为0.05;随机森林最终选择的波段数为13个,α6-α平稳值为0.06;自适应波段选择方法最终选择的波段数为20个,α6-α平稳为0.14。Wilks' Lambda的总体分类精度为80.56%,Kappa系数为0.77;随机森林的总体分类精度为79.11%,Kappa系数为0.76;自适应波段选择方法的总体分类精度为49.94%,Kappa系数为0.41。得出以下结论:① 基于曲线误差指数的方法得出Wilks' Lambda有最小的α6-α平稳值,是最佳的波段降维方法;分类结果显示:Wilks' Lambda有最大的总体分类精度与Kappa系数,是最佳的波段降维方法。② 基于曲线误差指数的评价方法与基于分类结果的误差一致,说明此方法具有可行性。
2017, 34(5): 775-781.
doi:10.11833/j.issn.2095-0756.2017.05.002
摘要:
利用生物量转换因子连续函数估算森林生物量已成为普遍使用的方法,使用不同的拟合方法提升生物量转换因子连续函数的计算精度成为当前的研究热点之一。以安徽省和福建省2个区域的杉木Cunninghamia lanceolata人工林为研究对象,选择不同年龄序列的典型杉木人工林,分别在2个区域设置0.06 hm2的样地53块,得出每个样地杉木林分生物量、林分蓄积量和生物量转换因子(fBEF)均存在显著差异(P< 0.01)。使用最小二乘法、非线性混合模型法和贝叶斯分层法分别拟合生物量转换因子连续函数,决定系数(R2)分别为0.643,0.802和0.804;平均偏差(dMD)分别为0.376,0.233和0.228。通过F检验比较3种方法的拟合效果,最小二乘法的拟合效果与非线性混合模型法和贝叶斯分层法之间有显著差异;非线性混合模型法的拟合效果和贝叶斯分层法之间无显著差异。估算林分生物量时,使用非线性混合模型和贝叶斯分层方法可以显著提升林分生物量的估算精度。
利用生物量转换因子连续函数估算森林生物量已成为普遍使用的方法,使用不同的拟合方法提升生物量转换因子连续函数的计算精度成为当前的研究热点之一。以安徽省和福建省2个区域的杉木Cunninghamia lanceolata人工林为研究对象,选择不同年龄序列的典型杉木人工林,分别在2个区域设置0.06 hm2的样地53块,得出每个样地杉木林分生物量、林分蓄积量和生物量转换因子(fBEF)均存在显著差异(P< 0.01)。使用最小二乘法、非线性混合模型法和贝叶斯分层法分别拟合生物量转换因子连续函数,决定系数(R2)分别为0.643,0.802和0.804;平均偏差(dMD)分别为0.376,0.233和0.228。通过F检验比较3种方法的拟合效果,最小二乘法的拟合效果与非线性混合模型法和贝叶斯分层法之间有显著差异;非线性混合模型法的拟合效果和贝叶斯分层法之间无显著差异。估算林分生物量时,使用非线性混合模型和贝叶斯分层方法可以显著提升林分生物量的估算精度。
2017, 34(5): 782-790.
doi:10.11833/j.issn.2095-0756.2017.05.003
摘要:
基于福建省将乐县国有林场15块标准地的30株杉木Cunninghamia lanceolata标准木的解析数据,首先对5个生长方程运用非线性最小二乘法进行拟合,选出拟合效果最好的模型作为基础模型,利用解析木数据构建非线性混合效应树高生长模型。以单株树木作为随机效应,通过变换混合效应参数个数,利用R软件选择赤池信息准则(AIC),贝叶斯信息准则(BIC)最小,对数似然函数(Loglik)值最大的混合效应模型作为最优模型,基于混合效应模型研究经验线性无偏最优预测法(EBLUP)预测树高生长过程的特点。结果表明:Weibull方程中,β1,β2和β3等3个参数都作为混合效应参数的模型模拟精度最高。观测次数相同时,延长观测间隔能够降低预测误差,提高预测精度;观测间隔相同时,增加观测次数,预测精度会提高。
基于福建省将乐县国有林场15块标准地的30株杉木Cunninghamia lanceolata标准木的解析数据,首先对5个生长方程运用非线性最小二乘法进行拟合,选出拟合效果最好的模型作为基础模型,利用解析木数据构建非线性混合效应树高生长模型。以单株树木作为随机效应,通过变换混合效应参数个数,利用R软件选择赤池信息准则(AIC),贝叶斯信息准则(BIC)最小,对数似然函数(Loglik)值最大的混合效应模型作为最优模型,基于混合效应模型研究经验线性无偏最优预测法(EBLUP)预测树高生长过程的特点。结果表明:Weibull方程中,β1,β2和β3等3个参数都作为混合效应参数的模型模拟精度最高。观测次数相同时,延长观测间隔能够降低预测误差,提高预测精度;观测间隔相同时,增加观测次数,预测精度会提高。
2017, 34(5): 791-797.
doi:10.11833/j.issn.2095-0756.2017.05.004
摘要:
针对林业业务图像的特点,提出了一种基于稠密尺度不变特征转换(Dense SIFT)特征的词袋(BoW)模型,并联合直方图正交核的支持向量机(SVM)对图像自动分类。首先采用Dense SIFT提取林业业务图像特征,然后使用BoW模型描述各业务图像,最后利用SVM进行分类识别。实验结果表明:采用Dense SIFT特征比SIFT特征训练时间和识别时间更短,并有更高的识别率,更适应实时性较高的场合;SVM采用多项式核函数(Poly),径向基核函数(RBF),多层感知器核函数(Sigmoid)以及直方图交叉核对3类林业业务图像分类时,直方图正交核取得的平均识别率最高;综合Dense SIFT在局部特征上的优势,加上BoW模型和直方图交叉核SVM分类器,平均识别率达到了86.7%,有较好的识别效果。
针对林业业务图像的特点,提出了一种基于稠密尺度不变特征转换(Dense SIFT)特征的词袋(BoW)模型,并联合直方图正交核的支持向量机(SVM)对图像自动分类。首先采用Dense SIFT提取林业业务图像特征,然后使用BoW模型描述各业务图像,最后利用SVM进行分类识别。实验结果表明:采用Dense SIFT特征比SIFT特征训练时间和识别时间更短,并有更高的识别率,更适应实时性较高的场合;SVM采用多项式核函数(Poly),径向基核函数(RBF),多层感知器核函数(Sigmoid)以及直方图交叉核对3类林业业务图像分类时,直方图正交核取得的平均识别率最高;综合Dense SIFT在局部特征上的优势,加上BoW模型和直方图交叉核SVM分类器,平均识别率达到了86.7%,有较好的识别效果。
2017, 34(5): 798-807.
doi:10.11833/j.issn.2095-0756.2017.05.005
摘要:
为揭示放牧扰动对冷蒿Artemisia frigida根际土壤微生物量碳(MBC),微生物量氮(MBN)和基础呼吸等的影响,以内蒙古典型草原为对象,采用氯仿熏蒸浸提法和LI-7000 CO2/H2O分析仪,对轻度(LG)和重度(HG)放牧处理后的冷蒿根际土壤进行了MBC,MBN和基础呼吸及其相关性等研究。结果表明:随着放牧强度的增加,土壤MBC,MBN质量分数和基础呼吸速率均呈现先升高后降低的趋势,而且根际土壤值均高于非根际土壤,根际与非根际土壤中微生物量氮质量分数增加幅度高于微生物量碳;冷蒿根际土壤中MBC,MBN和基础呼吸速率与有机质、全氮、碱解氮、全钾呈显著(P< 0.05)或极显著(P< 0.01)正相关。这些土壤养分是影响MBC和MBN等的主要因素。表明放牧处理改变了冷蒿根际土壤中微生物量碳、氮质量分数及基础呼吸速率,轻度放牧能够促使冷蒿根际土壤微生物量和微生物基础呼吸速率显著增加,冷蒿根际能够缓解重度放牧对土壤微生物造成的影响。
为揭示放牧扰动对冷蒿Artemisia frigida根际土壤微生物量碳(MBC),微生物量氮(MBN)和基础呼吸等的影响,以内蒙古典型草原为对象,采用氯仿熏蒸浸提法和LI-7000 CO2/H2O分析仪,对轻度(LG)和重度(HG)放牧处理后的冷蒿根际土壤进行了MBC,MBN和基础呼吸及其相关性等研究。结果表明:随着放牧强度的增加,土壤MBC,MBN质量分数和基础呼吸速率均呈现先升高后降低的趋势,而且根际土壤值均高于非根际土壤,根际与非根际土壤中微生物量氮质量分数增加幅度高于微生物量碳;冷蒿根际土壤中MBC,MBN和基础呼吸速率与有机质、全氮、碱解氮、全钾呈显著(P< 0.05)或极显著(P< 0.01)正相关。这些土壤养分是影响MBC和MBN等的主要因素。表明放牧处理改变了冷蒿根际土壤中微生物量碳、氮质量分数及基础呼吸速率,轻度放牧能够促使冷蒿根际土壤微生物量和微生物基础呼吸速率显著增加,冷蒿根际能够缓解重度放牧对土壤微生物造成的影响。
2017, 34(5): 808-815.
doi:10.11833/j.issn.2095-0756.2017.05.006
摘要:
根据飞播马尾松Pinus massoniana林的林木密度,将林分分为Ⅰ组(900~1 500株·hm-2),Ⅱ组(1 500~2 100株·hm-2),Ⅲ组(2 100~2 700株·hm-2),Ⅳ组(2 700~3 300株·hm-2)等4个密度组,并分别各密度组设立标准地调查和样品测定,分析比较其凋落物和土壤的持水性能。结果表明:① 各密度组凋落物储存量都表现为半分解层大于未分解层,凋落物总储存量、最大持水量和有效拦蓄量均为密度组Ⅱ>密度组Ⅲ>密度组Ⅰ>密度组Ⅳ,最大值分别为4.26,11.55和9.79 t·hm-2,且密度组Ⅱ的最大持水量和有效拦蓄量均显著高于其余密度组(P< 0.05),凋落物总储存量各密度组间无显著差异(P>0.05)。② 土壤非毛管持水量、毛管持水量和最大持水量的范围分别是332.62~628.93,2 210.17~2 859.98和3 792.45~3 984.91 t·hm-2,均表现为密度组Ⅱ>密度组Ⅲ>密度组Ⅰ>密度组Ⅳ,但各密度组间无显著差异(P>0.05)。综合分析表明:飞播马尾松林密度为1 500~2 100株·hm-2时,凋落物和土壤的持水性能最好。
根据飞播马尾松Pinus massoniana林的林木密度,将林分分为Ⅰ组(900~1 500株·hm-2),Ⅱ组(1 500~2 100株·hm-2),Ⅲ组(2 100~2 700株·hm-2),Ⅳ组(2 700~3 300株·hm-2)等4个密度组,并分别各密度组设立标准地调查和样品测定,分析比较其凋落物和土壤的持水性能。结果表明:① 各密度组凋落物储存量都表现为半分解层大于未分解层,凋落物总储存量、最大持水量和有效拦蓄量均为密度组Ⅱ>密度组Ⅲ>密度组Ⅰ>密度组Ⅳ,最大值分别为4.26,11.55和9.79 t·hm-2,且密度组Ⅱ的最大持水量和有效拦蓄量均显著高于其余密度组(P< 0.05),凋落物总储存量各密度组间无显著差异(P>0.05)。② 土壤非毛管持水量、毛管持水量和最大持水量的范围分别是332.62~628.93,2 210.17~2 859.98和3 792.45~3 984.91 t·hm-2,均表现为密度组Ⅱ>密度组Ⅲ>密度组Ⅰ>密度组Ⅳ,但各密度组间无显著差异(P>0.05)。综合分析表明:飞播马尾松林密度为1 500~2 100株·hm-2时,凋落物和土壤的持水性能最好。
2017, 34(5): 816-824.
doi:10.11833/j.issn.2095-0756.2017.05.007
摘要:
纬度和季节是影响生物入侵的重要环境因子。以往对入侵植物空心莲子草Alternanthera philoxeroides的研究多集中于秋季入侵旺盛期,较少关注其春季的入侵表现(入侵态势、生物入侵-物种多样性关系等)。在中国22°~30° N范围内(广东、广西、湖南、湖北),共设置15个入侵样地与15个对照样地,探讨了春季陆生空心莲子草入侵群落沿纬度的变化特征及入侵对群落多样性(α物种多样性指数)、稳定性(Godron坐标值)的影响。结果表明:① 春季空心莲子草入侵态势随纬度上升而加剧;入侵群落的Simpson多样性指数、Shannon多样性指数和Pielou均匀度指数与纬度显著负相关(P< 0.05),而对照群落的这3个多样性指数与纬度显著正相关(P< 0.05),2种群落的Patrick丰富度指数与纬度均无显著相关性。② 在群落整体水平上,空心莲子草入侵造成本土群落的4个多样性指数显著下降,但小规模入侵(入侵盖度 < 25%)可以提高群落多样性;群落多样性指数随空心莲子草盖度的增加呈现出先上升后下降的单峰变化趋势;入侵样地和对照样地的Godron坐标值相接近,表明春季空心莲子草入侵并未对群落稳定性产生较大影响。③ 入侵区共记录植物45种,空心莲子草优势度最高;对照区共记录植物125种,优势种为结缕草Zoysia japonica,鹅观草Roegneria kamoji和葎草Humulus scandens;春季2种群落的植物在典型对应分析(CCA)排序图中沿纬度各自形成界限明显的3个分布区,入侵群落中物种分布的斑块化程度更高;空心莲子草靠近排序图的中心位置,表明它拥有较为宽广的纬度适应性。这些研究结果有助于预测外来入侵植物的群落动态,同时也有利于制定有效的入侵防治措施以保护本土生物多样性。
纬度和季节是影响生物入侵的重要环境因子。以往对入侵植物空心莲子草Alternanthera philoxeroides的研究多集中于秋季入侵旺盛期,较少关注其春季的入侵表现(入侵态势、生物入侵-物种多样性关系等)。在中国22°~30° N范围内(广东、广西、湖南、湖北),共设置15个入侵样地与15个对照样地,探讨了春季陆生空心莲子草入侵群落沿纬度的变化特征及入侵对群落多样性(α物种多样性指数)、稳定性(Godron坐标值)的影响。结果表明:① 春季空心莲子草入侵态势随纬度上升而加剧;入侵群落的Simpson多样性指数、Shannon多样性指数和Pielou均匀度指数与纬度显著负相关(P< 0.05),而对照群落的这3个多样性指数与纬度显著正相关(P< 0.05),2种群落的Patrick丰富度指数与纬度均无显著相关性。② 在群落整体水平上,空心莲子草入侵造成本土群落的4个多样性指数显著下降,但小规模入侵(入侵盖度 < 25%)可以提高群落多样性;群落多样性指数随空心莲子草盖度的增加呈现出先上升后下降的单峰变化趋势;入侵样地和对照样地的Godron坐标值相接近,表明春季空心莲子草入侵并未对群落稳定性产生较大影响。③ 入侵区共记录植物45种,空心莲子草优势度最高;对照区共记录植物125种,优势种为结缕草Zoysia japonica,鹅观草Roegneria kamoji和葎草Humulus scandens;春季2种群落的植物在典型对应分析(CCA)排序图中沿纬度各自形成界限明显的3个分布区,入侵群落中物种分布的斑块化程度更高;空心莲子草靠近排序图的中心位置,表明它拥有较为宽广的纬度适应性。这些研究结果有助于预测外来入侵植物的群落动态,同时也有利于制定有效的入侵防治措施以保护本土生物多样性。
2017, 34(5): 825-832.
doi:10.11833/j.issn.2095-0756.2017.05.008
摘要:
以北京松山国家级自然保护区胡桃楸Juglans mandshurica林为研究对象,采用典型抽样法研究林下植物物种组成与多样性。结果表明:胡桃楸林灌木层植物种类随林龄增加而逐渐增加,草本层植物种类则逐渐减少,存在明显的时空动态;幼龄林和中龄林草本层以披针叶薹草Carex lancifolia,大油芒Spodiopogon sibiricus,草乌Aconitum carmichaeli和龙芽草Agrimonia pilosa等为优势种,近熟林和成熟林则以蓝萼香茶菜Rabdosia japonica和白屈菜Chelidonium majus等为优势种;幼龄林和中龄林灌木层以小叶鼠李Rhamnus parvifolia和荆条Vitex negundovar.heterophylla等为优势种,近熟林和成熟林则以红花锦鸡儿Caragana rosea,小花溲疏Deutzia parviflora,毛叶丁香Syringa pubescens和暴马丁香Syringa reticulatavar.mandshurica等为优势种。不同林龄胡桃楸林下灌木层与草本层4个物种多样性指数存在显著差异(P< 0.05):灌木层物种多样性指数中,随着林龄的增加,Simpson指数从0.598 0增加到0.787 9,Shannon-Wiener指数从1.183 9增加到1.835 6,Pielou均匀度指数从0.682 0增加到0.839 0,Margalef丰富度指数从0.979 0增加到1.614 9,均呈现连续增加的趋势;草本层均匀度指数随着林龄的增加从0.884 6增加到0.987 2,表现为连续递增趋势,其余指数中,Simpson指数从0.843 6减少到0.759 4,Shannon-Wiener指数从2.120 9减少到1.673 9,丰富度指数从1.951 7减少到1.347 1,均随着林龄的增加呈持续递减的趋势。不同林龄胡桃楸林下灌木层和草本层物种丰富度均存在极显著差异(P< 0.001),由幼龄林到成熟林,灌木层物种丰富度从3.385 7逐渐增加到6.340 0,在成熟林阶段达到最高值;草本层的变化规律与灌木层呈现完全相反的趋势,随着林龄的增加,林下草本层植物的种类逐渐减少。用半变异函数模型模拟,均匀度指数和Simpson指数为球面模型,Shannon-Wiener指数和丰富度指数则更符合指数模型,研究区的物种多样性为中等的空间相关性,结构性因子所占比例为0.584~0.681,随机性因子所占比例为0.319~0.416。建议该区科学合理地规划景区建设及道路开发,并对当地居民的种子采集等活动进行管理。
以北京松山国家级自然保护区胡桃楸Juglans mandshurica林为研究对象,采用典型抽样法研究林下植物物种组成与多样性。结果表明:胡桃楸林灌木层植物种类随林龄增加而逐渐增加,草本层植物种类则逐渐减少,存在明显的时空动态;幼龄林和中龄林草本层以披针叶薹草Carex lancifolia,大油芒Spodiopogon sibiricus,草乌Aconitum carmichaeli和龙芽草Agrimonia pilosa等为优势种,近熟林和成熟林则以蓝萼香茶菜Rabdosia japonica和白屈菜Chelidonium majus等为优势种;幼龄林和中龄林灌木层以小叶鼠李Rhamnus parvifolia和荆条Vitex negundovar.heterophylla等为优势种,近熟林和成熟林则以红花锦鸡儿Caragana rosea,小花溲疏Deutzia parviflora,毛叶丁香Syringa pubescens和暴马丁香Syringa reticulatavar.mandshurica等为优势种。不同林龄胡桃楸林下灌木层与草本层4个物种多样性指数存在显著差异(P< 0.05):灌木层物种多样性指数中,随着林龄的增加,Simpson指数从0.598 0增加到0.787 9,Shannon-Wiener指数从1.183 9增加到1.835 6,Pielou均匀度指数从0.682 0增加到0.839 0,Margalef丰富度指数从0.979 0增加到1.614 9,均呈现连续增加的趋势;草本层均匀度指数随着林龄的增加从0.884 6增加到0.987 2,表现为连续递增趋势,其余指数中,Simpson指数从0.843 6减少到0.759 4,Shannon-Wiener指数从2.120 9减少到1.673 9,丰富度指数从1.951 7减少到1.347 1,均随着林龄的增加呈持续递减的趋势。不同林龄胡桃楸林下灌木层和草本层物种丰富度均存在极显著差异(P< 0.001),由幼龄林到成熟林,灌木层物种丰富度从3.385 7逐渐增加到6.340 0,在成熟林阶段达到最高值;草本层的变化规律与灌木层呈现完全相反的趋势,随着林龄的增加,林下草本层植物的种类逐渐减少。用半变异函数模型模拟,均匀度指数和Simpson指数为球面模型,Shannon-Wiener指数和丰富度指数则更符合指数模型,研究区的物种多样性为中等的空间相关性,结构性因子所占比例为0.584~0.681,随机性因子所占比例为0.319~0.416。建议该区科学合理地规划景区建设及道路开发,并对当地居民的种子采集等活动进行管理。
2017, 34(5): 833-840.
doi:10.11833/j.issn.2095-0756.2017.05.009
摘要:
揭示不同功能区的生态脆弱程度,对土地利用合理规划与功能的有效利用具有重要的借鉴意义。以福建省三明市金丝湾森林公园为对象,选取坡度、植被覆盖度和人为可能性干扰因子等建立生态脆弱性评价指标体系,采用综合评价法分析研究区生态脆弱性分布特征,结合耦合度模型确定功能利用与生态脆弱性的关系。结果表明:研究区主要划分为水源涵养区、水土保持区、水源涵养区和水土保持重叠区与景观游憩区等4个功能区,各区面积分别为631.01 hm2(37.10%),844.91 hm2(49.68%),219.90 hm2(12.93%)和4.91 hm2(0.29%);研究区生态脆弱性主要以Ⅱ级(0.2<IEV≤ 0.4)和Ⅲ级(0.4<IEV≤ 0.6)为主,整体呈中部偏低,四周偏高的分布特征;不同功能区脆弱性有明显差别,景观游憩功能区主要属于Ⅳ级生态脆弱区,水土保持、水源涵养与水土保持重叠功能区、水源涵养功能区以Ⅲ级生态脆弱区为主导;研究区的土地利用的各功能区与对应等级生态脆弱区基本属于高级耦合,两者关系密切。
揭示不同功能区的生态脆弱程度,对土地利用合理规划与功能的有效利用具有重要的借鉴意义。以福建省三明市金丝湾森林公园为对象,选取坡度、植被覆盖度和人为可能性干扰因子等建立生态脆弱性评价指标体系,采用综合评价法分析研究区生态脆弱性分布特征,结合耦合度模型确定功能利用与生态脆弱性的关系。结果表明:研究区主要划分为水源涵养区、水土保持区、水源涵养区和水土保持重叠区与景观游憩区等4个功能区,各区面积分别为631.01 hm2(37.10%),844.91 hm2(49.68%),219.90 hm2(12.93%)和4.91 hm2(0.29%);研究区生态脆弱性主要以Ⅱ级(0.2<IEV≤ 0.4)和Ⅲ级(0.4<IEV≤ 0.6)为主,整体呈中部偏低,四周偏高的分布特征;不同功能区脆弱性有明显差别,景观游憩功能区主要属于Ⅳ级生态脆弱区,水土保持、水源涵养与水土保持重叠功能区、水源涵养功能区以Ⅲ级生态脆弱区为主导;研究区的土地利用的各功能区与对应等级生态脆弱区基本属于高级耦合,两者关系密切。
2017, 34(5): 841-848.
doi:10.11833/j.issn.2095-0756.2017.05.010
摘要:
以广西凭祥14年生杉木Cunninghamia lanceolata人工林(保存密度为1 219株·hm-2)为对象,设置69%(处理Ⅰ),60%(处理Ⅱ),51%(处理Ⅲ),40%(处理Ⅳ)4个间伐强度处理和不间伐对照,定期观测间伐后9 a内胸径、树高、枝下高和冠幅等林分生长指标,并计算单株材积和林分蓄积,从而揭示林分生长对间伐的动态响应,筛选适宜的间伐强度,为杉木人工林近自然化改造提供技术支撑。结果表明:间伐强度显著影响杉木林分胸径、枝下高、单株材积和蓄积生长(P< 0.05),对树高和冠幅的影响不显著(P>0.05);胸径和单株材积以处理Ⅲ为最高,枝下高和蓄积则以对照为最高。胸径、冠幅和枝下高年均增量在间伐后第1~3年最大,处理间的差异随着时间的推移逐渐缩小。树高、单株材积和林分蓄积年均增量高峰则出现在间伐后第3~5年。根据上述试验结果,为了快速培育杉木大径材,建议在杉木近自然化改造中选择间伐强度约50%(处理Ⅲ)为宜。
以广西凭祥14年生杉木Cunninghamia lanceolata人工林(保存密度为1 219株·hm-2)为对象,设置69%(处理Ⅰ),60%(处理Ⅱ),51%(处理Ⅲ),40%(处理Ⅳ)4个间伐强度处理和不间伐对照,定期观测间伐后9 a内胸径、树高、枝下高和冠幅等林分生长指标,并计算单株材积和林分蓄积,从而揭示林分生长对间伐的动态响应,筛选适宜的间伐强度,为杉木人工林近自然化改造提供技术支撑。结果表明:间伐强度显著影响杉木林分胸径、枝下高、单株材积和蓄积生长(P< 0.05),对树高和冠幅的影响不显著(P>0.05);胸径和单株材积以处理Ⅲ为最高,枝下高和蓄积则以对照为最高。胸径、冠幅和枝下高年均增量在间伐后第1~3年最大,处理间的差异随着时间的推移逐渐缩小。树高、单株材积和林分蓄积年均增量高峰则出现在间伐后第3~5年。根据上述试验结果,为了快速培育杉木大径材,建议在杉木近自然化改造中选择间伐强度约50%(处理Ⅲ)为宜。
2017, 34(5): 849-855.
doi:10.11833/j.issn.2095-0756.2017.05.011
摘要:
以四川产硬头黄竹Bambusa rigida为研究对象,参考国家标准GB/T 15780-1995《竹材物理力学性质试验方法》与竹材径向加压抗弯性质测定方法,并结合单因素方差分析方法(ANOVA),对竹龄为0.5~4.5 a的竹材物理力学性质进行研究,为硬头黄竹择龄伐竹提供参考。结果表明:① 竹龄在0.5~4.5 a间,竹材生材含水率、干缩率逐渐减小,基本密度逐渐增大;② 竹龄为3.5 a时,竹材顺纹抗压强度、抗弯强度和抗弯弹性模量达到最大,顺纹抗剪强度达到稳定;③ 由竹秆基部至梢部,竹材生材含水率、干缩率呈下降趋势,基本密度、顺纹抗压强度、顺纹抗剪强度、抗弯强度与抗弯弹性模量呈增大趋势,而顺纹抗剪强度、抗弯强度与抗弯弹性模量在竹龄为4.5 a的竹秆梢部出现下降;④ 竹龄为3.5 a的竹材材性基本达到稳定,生材含水率、基本密度、干缩率、顺纹抗压强度、顺纹抗剪强度、抗弯强度、抗弯弹性模量分别为60.67%,0.72 g·cm-3,12.54%,82.41 MPa,11.99 MPa,237.13 MPa和8.32 GPa。推荐材质成熟的硬头黄竹伐竹年龄为3.5 a。
以四川产硬头黄竹Bambusa rigida为研究对象,参考国家标准GB/T 15780-1995《竹材物理力学性质试验方法》与竹材径向加压抗弯性质测定方法,并结合单因素方差分析方法(ANOVA),对竹龄为0.5~4.5 a的竹材物理力学性质进行研究,为硬头黄竹择龄伐竹提供参考。结果表明:① 竹龄在0.5~4.5 a间,竹材生材含水率、干缩率逐渐减小,基本密度逐渐增大;② 竹龄为3.5 a时,竹材顺纹抗压强度、抗弯强度和抗弯弹性模量达到最大,顺纹抗剪强度达到稳定;③ 由竹秆基部至梢部,竹材生材含水率、干缩率呈下降趋势,基本密度、顺纹抗压强度、顺纹抗剪强度、抗弯强度与抗弯弹性模量呈增大趋势,而顺纹抗剪强度、抗弯强度与抗弯弹性模量在竹龄为4.5 a的竹秆梢部出现下降;④ 竹龄为3.5 a的竹材材性基本达到稳定,生材含水率、基本密度、干缩率、顺纹抗压强度、顺纹抗剪强度、抗弯强度、抗弯弹性模量分别为60.67%,0.72 g·cm-3,12.54%,82.41 MPa,11.99 MPa,237.13 MPa和8.32 GPa。推荐材质成熟的硬头黄竹伐竹年龄为3.5 a。
2017, 34(5): 856-863.
doi:10.11833/j.issn.2095-0756.2017.05.012
摘要:
克隆获得马尾松Pinus massoniana PmGPX基因,进行生物信息学分析以及在不同抗虫材料表达模式分析。在前期马尾松转录组测序获得该基因片段基础上,用cDNA末端快速扩增(RACE)技术获得基因全长,实时荧光定量聚合酶链式反应(qRT-PCR)技术分析该基因在不同抗虫材料中的表达模式。克隆获得基因cDNA全长序列,命名为PmGPX。该基因包含741 bp开放阅读框,编码246个氨基酸。序列分析表明:该基因具有GPX家族典型的保守结构域,等电点PI 8.29,蛋白分子量27.08 kDa,与针叶植物北美云杉Picea sitchensis的同源性较高,为91%。与单子叶和双子叶植物同源性较差,大部分在64%~80%,而在GPX家族典型保守结构域的同源性较高,为82%~100%。qRT-PCR技术分析表明:PmGPX在所有组织中均有表达,在针叶中表达量最高,嫩叶的表达量是根的33.45倍,在根、花和球果中的表达量较低,不同材料日表达模式相似,总体上随时间出现“升—降—升”模式。该基因在抗虫材料中启动较早,且表达量高于对照。推测该基因参与了马尾松抗虫防御体系。
克隆获得马尾松Pinus massoniana PmGPX基因,进行生物信息学分析以及在不同抗虫材料表达模式分析。在前期马尾松转录组测序获得该基因片段基础上,用cDNA末端快速扩增(RACE)技术获得基因全长,实时荧光定量聚合酶链式反应(qRT-PCR)技术分析该基因在不同抗虫材料中的表达模式。克隆获得基因cDNA全长序列,命名为PmGPX。该基因包含741 bp开放阅读框,编码246个氨基酸。序列分析表明:该基因具有GPX家族典型的保守结构域,等电点PI 8.29,蛋白分子量27.08 kDa,与针叶植物北美云杉Picea sitchensis的同源性较高,为91%。与单子叶和双子叶植物同源性较差,大部分在64%~80%,而在GPX家族典型保守结构域的同源性较高,为82%~100%。qRT-PCR技术分析表明:PmGPX在所有组织中均有表达,在针叶中表达量最高,嫩叶的表达量是根的33.45倍,在根、花和球果中的表达量较低,不同材料日表达模式相似,总体上随时间出现“升—降—升”模式。该基因在抗虫材料中启动较早,且表达量高于对照。推测该基因参与了马尾松抗虫防御体系。
2017, 34(5): 864-870.
doi:10.11833/j.issn.2095-0756.2017.05.013
摘要:
蓝莓Vacciniumspp.果实含有丰富的花青素,但目前对蓝莓花青素合成相关基因的研究还较少。为分析蓝莓花青素合成相关基因,也为今后高花青素含量品种的育种工作提供一定的生物信息学基础,以红色突变兔眼蓝莓Vaccinium ashei为试验材料,采用同源克隆方法,克隆到查尔酮合成酶基因(CHS)的cDNA全长。生物信息学分析表明:该基因cDNA全长1 398 bp,有1个1 170 bp的完整开放阅读框(ORF),编码389个氨基酸。与杜鹃Rhododendron simsii,山茶Camellia japonica,红花油茶Camellia chekiangoleosa,中华猕猴桃Actinidia chinensis,高丛蓝莓Vaccinium corymbosum,苹果Malus domestica的CHS基因同源性分别为90%,83%,83%,83%,83%与82%。兔眼蓝莓CHS基因编码的蛋白不存在信号肽,无跨膜结构域,定位于细胞质中,肽链表现为疏水性,α-螺旋和随机卷曲是其蛋白质二级结构中量最大的结构元件,β-转角和β-折叠散布于整个蛋白质中,对编码的蛋白的结构域预测显示该蛋白含有类似查尔酮合成酶超家族(CHS-like超家族)结构域。由此推测:兔眼蓝莓CHS基因是高度保守的,表达的蛋白为疏水性蛋白,是一种结构和性质都相对稳定的蛋白。
蓝莓Vacciniumspp.果实含有丰富的花青素,但目前对蓝莓花青素合成相关基因的研究还较少。为分析蓝莓花青素合成相关基因,也为今后高花青素含量品种的育种工作提供一定的生物信息学基础,以红色突变兔眼蓝莓Vaccinium ashei为试验材料,采用同源克隆方法,克隆到查尔酮合成酶基因(CHS)的cDNA全长。生物信息学分析表明:该基因cDNA全长1 398 bp,有1个1 170 bp的完整开放阅读框(ORF),编码389个氨基酸。与杜鹃Rhododendron simsii,山茶Camellia japonica,红花油茶Camellia chekiangoleosa,中华猕猴桃Actinidia chinensis,高丛蓝莓Vaccinium corymbosum,苹果Malus domestica的CHS基因同源性分别为90%,83%,83%,83%,83%与82%。兔眼蓝莓CHS基因编码的蛋白不存在信号肽,无跨膜结构域,定位于细胞质中,肽链表现为疏水性,α-螺旋和随机卷曲是其蛋白质二级结构中量最大的结构元件,β-转角和β-折叠散布于整个蛋白质中,对编码的蛋白的结构域预测显示该蛋白含有类似查尔酮合成酶超家族(CHS-like超家族)结构域。由此推测:兔眼蓝莓CHS基因是高度保守的,表达的蛋白为疏水性蛋白,是一种结构和性质都相对稳定的蛋白。
2017, 34(5): 871-877.
doi:10.11833/j.issn.2095-0756.2017.05.014
摘要:
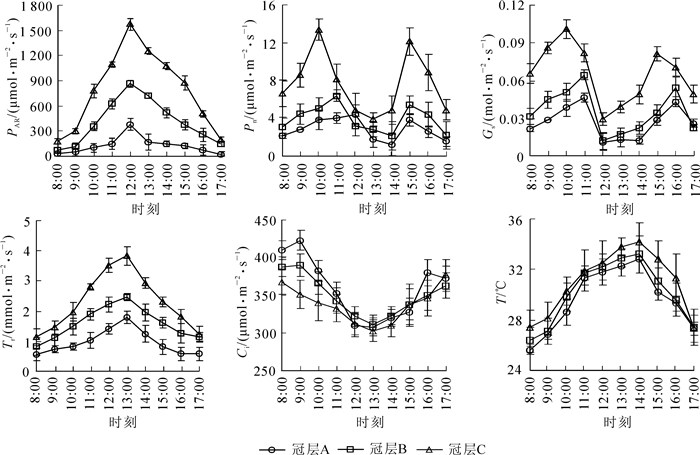
评价格木Erythrophleum fordii人工林不同冠层分枝的光合能力,为格木人工林修枝提供光合生理基础。以9年生格木-马尾松Pinus massoniana混交人工林为研究对象,观测格木人工林不同冠层叶片的光响应曲线、二氧化碳响应曲线及光合因子的日变化。结果表明:格木人工林不同冠层叶片的光合初始斜率(α)和最大净光合速率(Pmax)的大小顺序相同,依次为冠层C > 冠层B > 冠层A,而暗呼吸速率(Rd)大小顺序则相反,高冠层叶片的饱和光强(Isat)较大,而光补偿点(Ic)却较低,且3个冠层各参数差异均达到显著或极显著水平;3个冠层叶片的初始羟化效率(α),光合能力(Amax)的顺序相同,均为冠层C > 冠层B > 冠层A,而二氧化碳补偿点(Γ)顺序相反,光呼吸(Rp)变化与光合作用保持着平行关系;3个冠层的光合有效辐射(PAR),蒸腾速率(Tr)与叶片温度(T)的日变化为单峰型,净光合速率(Pn)与气孔导度(Gs)日变化曲线呈双峰型,但峰值出现的时间均不同,3个冠层胞间二氧化碳摩尔分数(Ci)的日变化一致,为“U”型曲线,均在13:00出现最低值;通径分析结果表明:光合有效辐射与气孔导度对3个冠层净光合速率的直接通径系数绝对值均较大,表明光合有效辐射及气孔导度是影响格木人工林3个冠层叶片的净光合速率的主要因子。格木高冠层叶片具有更高的光合速率和更强的潜在光合能力,对光合物质的积累能力较强,消耗光合产物较少。
评价格木Erythrophleum fordii人工林不同冠层分枝的光合能力,为格木人工林修枝提供光合生理基础。以9年生格木-马尾松Pinus massoniana混交人工林为研究对象,观测格木人工林不同冠层叶片的光响应曲线、二氧化碳响应曲线及光合因子的日变化。结果表明:格木人工林不同冠层叶片的光合初始斜率(α)和最大净光合速率(Pmax)的大小顺序相同,依次为冠层C > 冠层B > 冠层A,而暗呼吸速率(Rd)大小顺序则相反,高冠层叶片的饱和光强(Isat)较大,而光补偿点(Ic)却较低,且3个冠层各参数差异均达到显著或极显著水平;3个冠层叶片的初始羟化效率(α),光合能力(Amax)的顺序相同,均为冠层C > 冠层B > 冠层A,而二氧化碳补偿点(Γ)顺序相反,光呼吸(Rp)变化与光合作用保持着平行关系;3个冠层的光合有效辐射(PAR),蒸腾速率(Tr)与叶片温度(T)的日变化为单峰型,净光合速率(Pn)与气孔导度(Gs)日变化曲线呈双峰型,但峰值出现的时间均不同,3个冠层胞间二氧化碳摩尔分数(Ci)的日变化一致,为“U”型曲线,均在13:00出现最低值;通径分析结果表明:光合有效辐射与气孔导度对3个冠层净光合速率的直接通径系数绝对值均较大,表明光合有效辐射及气孔导度是影响格木人工林3个冠层叶片的净光合速率的主要因子。格木高冠层叶片具有更高的光合速率和更强的潜在光合能力,对光合物质的积累能力较强,消耗光合产物较少。
2017, 34(5): 878-886.
doi:10.11833/j.issn.2095-0756.2017.05.015
摘要:
为揭示河竹Phyllostachys rivalis对持续淹水的生理生态响应与适应机制,为河竹在水陆交错带的应用提供理论依据,以2年生河竹盆栽苗为试材,设置不同深度的淹水处理[水位高出栽培基质5 cm(处理Ⅰ),10 cm(处理Ⅱ)和正常供水(ck)],测定持续淹水30,90,180,270和360 d时河竹叶片叶绿素荧光参数,分析叶片光能的吸收和转化、能量的传递与分配、反应中心的活性、过剩能量的耗散对持续淹水胁迫的响应。结果表明:① 持续淹水胁迫下,河竹叶片能通过维持相对较高的表观光合电子传递速率(RET),光化学荧光猝灭(qP)和光化学反应能量(P),增强非光化学猝灭(qN)来调节自身能量代谢,以热耗散形式散失过多的光能,有效地避免或减轻光抑制和光氧化,河竹吸收光强主要以天线色素耗散(D)为主要光能分配途径,淹水后期PSⅡ反应中心的非光化学反应耗散(E)的恢复起着重要作用,持续淹水一定程度上会损害河竹叶片光系统Ⅱ(PSⅡ),但对于PSⅡ的功能反应中心影响较小。② 不同淹水处理叶绿素荧光参数存在差异,持续淹水30,90 d时,处理Ⅰ的初始荧光(Fo),最大荧光(Fm),最大光化学效率(Fv/Fm),qP和RET等与ck差异不显著(P> 0.05),而处理Ⅱ在淹水90 d时与ck差异显著(P< 0.05),至淹水270,360 d时,各处理间差异均达显著水平(P< 0.05),持续淹水胁迫对叶绿素荧光参数及能量耗散的影响存在明显的水位效应。
为揭示河竹Phyllostachys rivalis对持续淹水的生理生态响应与适应机制,为河竹在水陆交错带的应用提供理论依据,以2年生河竹盆栽苗为试材,设置不同深度的淹水处理[水位高出栽培基质5 cm(处理Ⅰ),10 cm(处理Ⅱ)和正常供水(ck)],测定持续淹水30,90,180,270和360 d时河竹叶片叶绿素荧光参数,分析叶片光能的吸收和转化、能量的传递与分配、反应中心的活性、过剩能量的耗散对持续淹水胁迫的响应。结果表明:① 持续淹水胁迫下,河竹叶片能通过维持相对较高的表观光合电子传递速率(RET),光化学荧光猝灭(qP)和光化学反应能量(P),增强非光化学猝灭(qN)来调节自身能量代谢,以热耗散形式散失过多的光能,有效地避免或减轻光抑制和光氧化,河竹吸收光强主要以天线色素耗散(D)为主要光能分配途径,淹水后期PSⅡ反应中心的非光化学反应耗散(E)的恢复起着重要作用,持续淹水一定程度上会损害河竹叶片光系统Ⅱ(PSⅡ),但对于PSⅡ的功能反应中心影响较小。② 不同淹水处理叶绿素荧光参数存在差异,持续淹水30,90 d时,处理Ⅰ的初始荧光(Fo),最大荧光(Fm),最大光化学效率(Fv/Fm),qP和RET等与ck差异不显著(P> 0.05),而处理Ⅱ在淹水90 d时与ck差异显著(P< 0.05),至淹水270,360 d时,各处理间差异均达显著水平(P< 0.05),持续淹水胁迫对叶绿素荧光参数及能量耗散的影响存在明显的水位效应。
2017, 34(5): 887-894.
doi:10.11833/j.issn.2095-0756.2017.05.016
摘要:
将国槐Sophora japonica槐角种胚细胞悬浮培养后,对细胞生产的黄酮类化合物进行抗氧化特性研究,测定黄酮粗提液对羟自由基(·OH),超氧自由基(O2-·)和亚硝酸盐的清除能力,测定黄酮粗提液对亚油酸过氧化和猪油自氧化的抑制能力,从而为研究黄酮化合物抗氧化活性的构效理论提供依据。结果表明:① 黄酮粗提液对羟自由基的清除能力随着黄酮质量浓度的增大而增强,质量浓度为354.00 mg·L-1时,清除率可达到96.58%,抗氧化效果明显优于相同质量浓度的维生素C(VC)溶液;② 黄酮粗提液对超氧自由基的清除能力随着黄酮质量浓度的增大而增强,清除率可达61.54%,但是抗氧化效果弱于相同质量浓度的VC溶液;③ 黄酮粗提液对亚硝酸盐的清除能力随着黄酮质量浓度的增大而增强,清除率可达79.91%,在一定质量浓度范围内,抗氧化效果优于相同质量浓度的VC溶液;④ 黄酮粗提物对亚油酸自氧化有抑制作用,但抗氧化效果没有相同质量的VC强;⑤ 黄酮粗提物对猪油自氧化有抑制作用,抗氧化效果优于相同质量的二丁基羟基甲苯。总体来看,国槐槐角种胚细胞悬浮培养生产的黄酮类化合物具有明显的抗氧化活性,且在一定的质量浓度范围内,黄酮提取物的质量浓度越大,其抗氧化性越好。
将国槐Sophora japonica槐角种胚细胞悬浮培养后,对细胞生产的黄酮类化合物进行抗氧化特性研究,测定黄酮粗提液对羟自由基(·OH),超氧自由基(O2-·)和亚硝酸盐的清除能力,测定黄酮粗提液对亚油酸过氧化和猪油自氧化的抑制能力,从而为研究黄酮化合物抗氧化活性的构效理论提供依据。结果表明:① 黄酮粗提液对羟自由基的清除能力随着黄酮质量浓度的增大而增强,质量浓度为354.00 mg·L-1时,清除率可达到96.58%,抗氧化效果明显优于相同质量浓度的维生素C(VC)溶液;② 黄酮粗提液对超氧自由基的清除能力随着黄酮质量浓度的增大而增强,清除率可达61.54%,但是抗氧化效果弱于相同质量浓度的VC溶液;③ 黄酮粗提液对亚硝酸盐的清除能力随着黄酮质量浓度的增大而增强,清除率可达79.91%,在一定质量浓度范围内,抗氧化效果优于相同质量浓度的VC溶液;④ 黄酮粗提物对亚油酸自氧化有抑制作用,但抗氧化效果没有相同质量的VC强;⑤ 黄酮粗提物对猪油自氧化有抑制作用,抗氧化效果优于相同质量的二丁基羟基甲苯。总体来看,国槐槐角种胚细胞悬浮培养生产的黄酮类化合物具有明显的抗氧化活性,且在一定的质量浓度范围内,黄酮提取物的质量浓度越大,其抗氧化性越好。
2017, 34(5): 895-906.
doi:10.11833/j.issn.2095-0756.2017.05.017
摘要:
为揭示去除林下凋落物和草本层(简称除凋和除草)对楠木Phoebe zhennan人工林土壤动物群落结构的影响,以四川盆周西缘山地60年生楠木人工林为研究对象,人工去除凋落物和草本层(RL)的方法,以未处理样地(ck)为对照,采用大型手捡和干、湿漏斗分离法,分别在样地处理后1个月(RL1)和3个月(RL3)时对0~5 cm,5~10 cm,10~15 cm土层的土壤动物群落结构进行调查。结果显示:实验共采集土壤动物1 753头,分属4门13纲32目99科,除凋除草降低了土壤动物密度和类群数。其中:① 与对照样地ck1相比,样地RL1类群数极显著降低(P< 0.01),多样性指数、均匀度指数和优势度指数下降不显著(P>0.05),丰富度指数(D)和密度类群指数(DG)极显著降低(P< 0.01)。② 与对照样地ck3相比,样地RL3土壤动物密度和类群数极显著低于对照(P< 0.01),土壤动物类群数极显著低于对照(P< 0.01),多样性指数、均匀度指数和优势度指数下降不显著(P>0.05),丰富度指数(D)和密度类群指数(DG)显著降低(P< 0.05)。林下除凋除草会导致土壤动物平均密度、类群数以及多样性指数的降低,进而影响整个森林生态系统功能的发挥。
为揭示去除林下凋落物和草本层(简称除凋和除草)对楠木Phoebe zhennan人工林土壤动物群落结构的影响,以四川盆周西缘山地60年生楠木人工林为研究对象,人工去除凋落物和草本层(RL)的方法,以未处理样地(ck)为对照,采用大型手捡和干、湿漏斗分离法,分别在样地处理后1个月(RL1)和3个月(RL3)时对0~5 cm,5~10 cm,10~15 cm土层的土壤动物群落结构进行调查。结果显示:实验共采集土壤动物1 753头,分属4门13纲32目99科,除凋除草降低了土壤动物密度和类群数。其中:① 与对照样地ck1相比,样地RL1类群数极显著降低(P< 0.01),多样性指数、均匀度指数和优势度指数下降不显著(P>0.05),丰富度指数(D)和密度类群指数(DG)极显著降低(P< 0.01)。② 与对照样地ck3相比,样地RL3土壤动物密度和类群数极显著低于对照(P< 0.01),土壤动物类群数极显著低于对照(P< 0.01),多样性指数、均匀度指数和优势度指数下降不显著(P>0.05),丰富度指数(D)和密度类群指数(DG)显著降低(P< 0.05)。林下除凋除草会导致土壤动物平均密度、类群数以及多样性指数的降低,进而影响整个森林生态系统功能的发挥。
2017, 34(5): 907-914.
doi:10.11833/j.issn.2095-0756.2017.05.018
摘要:
通过观察蚜科Aphididae专化菌暗孢耳霉Conidiobolus obscurus在3个温度和光周期处理(20~28 ℃,光照12~15 h)下对竹纵斑蚜Takecallis arundinariae,竹梢凸唇斑蚜Takecallis taiwanus,竹后粗腿蚜Metamacropodaphis bambusisucta和竹色蚜Melanaphis bambusae等4种竹蚜的种群动态的影响,来探究控蚜作用。暗孢耳霉对竹蚜种群在不同温光处理和竹蚜种类间都表现出抑制作用。模型分析结果显示:接菌组竹蚜种群动态趋势拟合Log-logistic模型,对照组拟合Logistic方程。健康组竹蚜种群动态呈现爆发特性,模型参数计算显示竹蚜种群密度最高值是起始虫口密度的18.4~139.2倍,显示其对竹林的潜在危害性。暗孢耳霉对竹蚜种群发育初期具有明显的抑制效应,寄主种群密度倍增天数比对照组多延长10.0倍以上,显示该生防菌对竹蚜种群发生具有调控作用,抑制竹蚜种群高峰的出现,达到控制竹林蚜害的效果。
通过观察蚜科Aphididae专化菌暗孢耳霉Conidiobolus obscurus在3个温度和光周期处理(20~28 ℃,光照12~15 h)下对竹纵斑蚜Takecallis arundinariae,竹梢凸唇斑蚜Takecallis taiwanus,竹后粗腿蚜Metamacropodaphis bambusisucta和竹色蚜Melanaphis bambusae等4种竹蚜的种群动态的影响,来探究控蚜作用。暗孢耳霉对竹蚜种群在不同温光处理和竹蚜种类间都表现出抑制作用。模型分析结果显示:接菌组竹蚜种群动态趋势拟合Log-logistic模型,对照组拟合Logistic方程。健康组竹蚜种群动态呈现爆发特性,模型参数计算显示竹蚜种群密度最高值是起始虫口密度的18.4~139.2倍,显示其对竹林的潜在危害性。暗孢耳霉对竹蚜种群发育初期具有明显的抑制效应,寄主种群密度倍增天数比对照组多延长10.0倍以上,显示该生防菌对竹蚜种群发生具有调控作用,抑制竹蚜种群高峰的出现,达到控制竹林蚜害的效果。
2017, 34(5): 915-920.
doi:10.11833/j.issn.2095-0756.2017.05.019
摘要:
为探究喷涂过程中喷头的状态和运行参数对涂层厚度性能的影响,自制了自动喷漆试验装置(喷漆枪型号:WA-101-082P),采用聚氨酯(PU)木器漆,通过调节喷头与工件之间的喷涂距离、喷头喷射方向与工件表面的角度及喷头相对工件的运行速度(3因素3水平正交试验)对36块尺寸大小为800 mm × 200 mm × 15 mm中密度纤维板(MDF)试件表面进行试验喷涂工艺处理,对漆膜厚度、漆膜表面粗糙度和性能进行了分析。得出以下结论:当空气压力为0.28 MPa时,在喷涂距离为250 mm,喷头角度为30°,运行速度为55 mm·s-1条件下,可得到漆膜厚度较薄、均匀性较好且具备较好性能的涂层。
为探究喷涂过程中喷头的状态和运行参数对涂层厚度性能的影响,自制了自动喷漆试验装置(喷漆枪型号:WA-101-082P),采用聚氨酯(PU)木器漆,通过调节喷头与工件之间的喷涂距离、喷头喷射方向与工件表面的角度及喷头相对工件的运行速度(3因素3水平正交试验)对36块尺寸大小为800 mm × 200 mm × 15 mm中密度纤维板(MDF)试件表面进行试验喷涂工艺处理,对漆膜厚度、漆膜表面粗糙度和性能进行了分析。得出以下结论:当空气压力为0.28 MPa时,在喷涂距离为250 mm,喷头角度为30°,运行速度为55 mm·s-1条件下,可得到漆膜厚度较薄、均匀性较好且具备较好性能的涂层。
2017, 34(5): 921-925.
doi:10.11833/j.issn.2095-0756.2017.05.020
摘要:
为克服竹材因吸湿而产生开裂、变形等缺陷,利用软印刷技术,以新鲜月季花Rosa chinensis为模板,聚二甲基硅氧烷为印章,在竹材表面仿生构筑类月季花瓣表面的超疏水微纳结构,经转印复型使竹材具有类月季花瓣高黏滞力的超疏水特性。利用扫描电子显微镜观测并对接触角进行测试。结果表明:制备的类月季花瓣竹材样品具有与月季花瓣类似的乳突状微米结构和凹槽状纳米结构的粗糙表面,它与水滴的接触角高达到153.5°,接近月季花瓣表面的接触角157.5°,显示出超疏水特性。同时,水滴可以牢固附着在竹块表面,并将其翻转90.0°和180.0°,水滴均不会滚落,表现了良好的黏附性。此外,试样提高了对涂料附着的能力。
为克服竹材因吸湿而产生开裂、变形等缺陷,利用软印刷技术,以新鲜月季花Rosa chinensis为模板,聚二甲基硅氧烷为印章,在竹材表面仿生构筑类月季花瓣表面的超疏水微纳结构,经转印复型使竹材具有类月季花瓣高黏滞力的超疏水特性。利用扫描电子显微镜观测并对接触角进行测试。结果表明:制备的类月季花瓣竹材样品具有与月季花瓣类似的乳突状微米结构和凹槽状纳米结构的粗糙表面,它与水滴的接触角高达到153.5°,接近月季花瓣表面的接触角157.5°,显示出超疏水特性。同时,水滴可以牢固附着在竹块表面,并将其翻转90.0°和180.0°,水滴均不会滚落,表现了良好的黏附性。此外,试样提高了对涂料附着的能力。
2017, 34(5): 926-933.
doi:10.11833/j.issn.2095-0756.2017.05.021
摘要:
研究应力波在立木内部纵截面上的传播规律及影响因素,建立传播速度模型。以浙江农林大学植物园内4个树种共计40株树木作为实验样本,采用ArborSonic 3D应力波成像系统测量应力波在不同角度纵截面上各点间的传播速度。结果表明:同一截面上任意2点间的传播速度随方向角的增大而增大;不同纵截面上任意2点间的传播速度与所在纵截面与径切面的夹角相关。对健康样本试验数据的拟合结果为v(θ,α)/v0≈kx2+1(0≤k≤ 1),k值取决于被测树木的物理力学参数;所有建立的回归模型决定系数R2均大于0.93,表明具有较高的拟合优度。不同树种应力波速度各不相同。纵截面上应力波传播规律与方向角θ和α相关,θ决定速度大小,α决定速度变化,即决定拟合方程二次项系数k的大小。健康树木纵截面上θ,α和v(θ,α)/v0满足如下关系:f(θ,α)=1+{[vl-(-0.2α2+1)vR]/vl}·θ2。对不同树种的检测结果均表明了该模型的有效性,在木材无损检测方向具有重要实际应用价值。
研究应力波在立木内部纵截面上的传播规律及影响因素,建立传播速度模型。以浙江农林大学植物园内4个树种共计40株树木作为实验样本,采用ArborSonic 3D应力波成像系统测量应力波在不同角度纵截面上各点间的传播速度。结果表明:同一截面上任意2点间的传播速度随方向角的增大而增大;不同纵截面上任意2点间的传播速度与所在纵截面与径切面的夹角相关。对健康样本试验数据的拟合结果为v(θ,α)/v0≈kx2+1(0≤k≤ 1),k值取决于被测树木的物理力学参数;所有建立的回归模型决定系数R2均大于0.93,表明具有较高的拟合优度。不同树种应力波速度各不相同。纵截面上应力波传播规律与方向角θ和α相关,θ决定速度大小,α决定速度变化,即决定拟合方程二次项系数k的大小。健康树木纵截面上θ,α和v(θ,α)/v0满足如下关系:f(θ,α)=1+{[vl-(-0.2α2+1)vR]/vl}·θ2。对不同树种的检测结果均表明了该模型的有效性,在木材无损检测方向具有重要实际应用价值。
2017, 34(5): 934-941.
doi:10.11833/j.issn.2095-0756.2017.05.022
摘要:
限制自养硝化反硝化(OLAND)工艺是短程硝化和厌氧氨氧化相耦合的生物脱氮工艺,与传统的生物脱氮相比,能耗低,反应时间短,污泥产量少,不需投加碳源,脱氮效率高,在较低温度下仍可正常运行,在技术研究和开发上具有良好的潜力和经济价值。基于OLAND工艺原理,从微观上分析了工艺中微生物的种类、分布及特性,从宏观上探讨了溶解氧质量浓度、底物质量浓度、pH值及温度等对OLAND脱氮过程的影响,并从提高厌氧氨氧化脱氮效率入手,讨论了添加物(竹炭、二氧化锰、铁离子等)、菌种流加技术等对工艺的强化作用。指出多因子协作及其作用机制、OLAND脱氮效率的强化措施及机制研究是今后OLAND工艺研究的重点。
限制自养硝化反硝化(OLAND)工艺是短程硝化和厌氧氨氧化相耦合的生物脱氮工艺,与传统的生物脱氮相比,能耗低,反应时间短,污泥产量少,不需投加碳源,脱氮效率高,在较低温度下仍可正常运行,在技术研究和开发上具有良好的潜力和经济价值。基于OLAND工艺原理,从微观上分析了工艺中微生物的种类、分布及特性,从宏观上探讨了溶解氧质量浓度、底物质量浓度、pH值及温度等对OLAND脱氮过程的影响,并从提高厌氧氨氧化脱氮效率入手,讨论了添加物(竹炭、二氧化锰、铁离子等)、菌种流加技术等对工艺的强化作用。指出多因子协作及其作用机制、OLAND脱氮效率的强化措施及机制研究是今后OLAND工艺研究的重点。
2017, 34(5): 942-948.
doi:10.11833/j.issn.2095-0756.2017.05.023
摘要:
采用随机扩增多态性(RAPD)和简单序列重复区间扩增多态性(ISSR)技术鉴别樟科Lauraceae16个树种。用改良十六烷基三甲基溴化铵-十二烷基硫酸钠(CTAB-SDS)法提取樟科16个树种192株(12株·种-1)木质部基因组DNA,用RAPD与ISSR技术对它们进行聚合酶链式反应(PCR)扩增。共筛选出8条RAPD引物与6条ISSR引物,8条RAPD引物共扩增出165条大小为100~2 000 bp的条带,其中多态性条带为153条,多态率为92.7%;6条ISSR引物共扩增出96条大小为100~2 000 bp的条带,其中多态性条带为86条,多态率为89.6%。通过1~2个引物扩增的多态性条带就可鉴别与区分参试的16个树种,为树种鉴定提供技术支持。
采用随机扩增多态性(RAPD)和简单序列重复区间扩增多态性(ISSR)技术鉴别樟科Lauraceae16个树种。用改良十六烷基三甲基溴化铵-十二烷基硫酸钠(CTAB-SDS)法提取樟科16个树种192株(12株·种-1)木质部基因组DNA,用RAPD与ISSR技术对它们进行聚合酶链式反应(PCR)扩增。共筛选出8条RAPD引物与6条ISSR引物,8条RAPD引物共扩增出165条大小为100~2 000 bp的条带,其中多态性条带为153条,多态率为92.7%;6条ISSR引物共扩增出96条大小为100~2 000 bp的条带,其中多态性条带为86条,多态率为89.6%。通过1~2个引物扩增的多态性条带就可鉴别与区分参试的16个树种,为树种鉴定提供技术支持。
2017, 34(5): 949-954.
doi:10.11833/j.issn.2095-0756.2017.05.024
摘要:
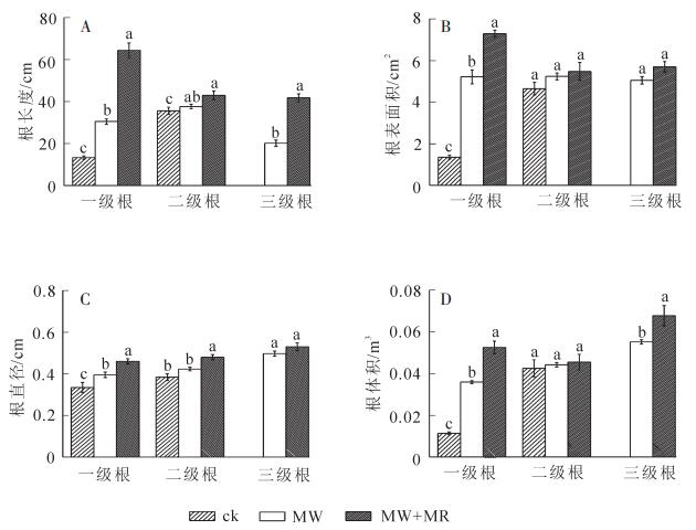
以绒毛白蜡‘鲁蜡5号’Fraxinus velutina‘Lula-5’无性系3年生母树的当年生半木质化枝条为试材,采用完全随机区组试验设计,研究了磁化水喷淋(MW)+磁化毯(MR),磁化水喷淋(MW)及非磁化水喷淋(ck)等3个处理对绒毛白蜡生根率、生物量积累、根系营养物质含量的影响。结果表明:① MW+MR处理有利于促进插条生根,插穗生根率和根系效果指数均极显著高于MW处理及ck(P< 0.01);新梢平均基径和平均长度均显著高于MW处理及ck(P< 0.05)。② 磁化处理对扦插苗细根形态有显著影响,其中MW+MR处理和MW处理的细根长度、直径、表面积和体积显著高于ck(P< 0.05)。③ MW+MR及MW处理氮、磷、钾、钙、镁、铁、锰、锌、铜、可溶性糖质量分数均高于ck,钠质量分数则低于ck,差异极显著(P< 0.01)。因此,磁化处理有利于提高绒毛白蜡嫩枝扦插生根率,根系生长发育、生物量积累和营养物质的积累得到进一步提高。
以绒毛白蜡‘鲁蜡5号’Fraxinus velutina‘Lula-5’无性系3年生母树的当年生半木质化枝条为试材,采用完全随机区组试验设计,研究了磁化水喷淋(MW)+磁化毯(MR),磁化水喷淋(MW)及非磁化水喷淋(ck)等3个处理对绒毛白蜡生根率、生物量积累、根系营养物质含量的影响。结果表明:① MW+MR处理有利于促进插条生根,插穗生根率和根系效果指数均极显著高于MW处理及ck(P< 0.01);新梢平均基径和平均长度均显著高于MW处理及ck(P< 0.05)。② 磁化处理对扦插苗细根形态有显著影响,其中MW+MR处理和MW处理的细根长度、直径、表面积和体积显著高于ck(P< 0.05)。③ MW+MR及MW处理氮、磷、钾、钙、镁、铁、锰、锌、铜、可溶性糖质量分数均高于ck,钠质量分数则低于ck,差异极显著(P< 0.01)。因此,磁化处理有利于提高绒毛白蜡嫩枝扦插生根率,根系生长发育、生物量积累和营养物质的积累得到进一步提高。
2017, 34(5): 955-962.
doi:10.11833/j.issn.2095-0756.2017.05.025
摘要:
以山木通Clematis finetiana1年生枝条为材料,针对植物生长调节物质种类和质量浓度、浸泡时间、扦插基质等4个因素,采用L9(34)正交试验设计扦插试验,研究山木通扦插繁殖技术及生根过程中相关氧化酶[氧化物酶(POD),吲哚乙酸氧化酶(IAAO),多酚氧化酶(PPO)]活性,可溶性糖、可溶性蛋白、淀粉质量分数的动态变化。结果表明:山木通属于皮部生根类型,不同外源植物生长调节物质及质量浓度、浸泡时间和扦插基质4个因素对山木通插穗生根的影响均达到极显著水平(P< 0.01),以河沙扦插基质,100 mg·L-1吲哚丁酸(IBA)浸泡2 h处理的山木通扦插的生根质量最佳,生根率达21.67%。生根过程中,可溶性糖质量分数在不定根诱导期和根系生长期下降,根系表达期和生长后期糖质量分数有所回升;淀粉质量分数持续下降;可溶性蛋白质量分数在扦插后逐渐下降,插穗大量生根期达到谷值,然后又逐渐上升。插穗内POD,PPO,IAAO活性的变化均呈现“上升—下降”的趋势,在不定根表达初期达到峰值。经IBA处理的插穗营养物质质量分数变化幅度较对照组显著,且酶活性到达峰值时间较对照组早10d,说明外源生长调节物质能够提高营养物质的利用率和氧化酶活性。
以山木通Clematis finetiana1年生枝条为材料,针对植物生长调节物质种类和质量浓度、浸泡时间、扦插基质等4个因素,采用L9(34)正交试验设计扦插试验,研究山木通扦插繁殖技术及生根过程中相关氧化酶[氧化物酶(POD),吲哚乙酸氧化酶(IAAO),多酚氧化酶(PPO)]活性,可溶性糖、可溶性蛋白、淀粉质量分数的动态变化。结果表明:山木通属于皮部生根类型,不同外源植物生长调节物质及质量浓度、浸泡时间和扦插基质4个因素对山木通插穗生根的影响均达到极显著水平(P< 0.01),以河沙扦插基质,100 mg·L-1吲哚丁酸(IBA)浸泡2 h处理的山木通扦插的生根质量最佳,生根率达21.67%。生根过程中,可溶性糖质量分数在不定根诱导期和根系生长期下降,根系表达期和生长后期糖质量分数有所回升;淀粉质量分数持续下降;可溶性蛋白质量分数在扦插后逐渐下降,插穗大量生根期达到谷值,然后又逐渐上升。插穗内POD,PPO,IAAO活性的变化均呈现“上升—下降”的趋势,在不定根表达初期达到峰值。经IBA处理的插穗营养物质质量分数变化幅度较对照组显著,且酶活性到达峰值时间较对照组早10d,说明外源生长调节物质能够提高营养物质的利用率和氧化酶活性。































