2017年 第34卷 第6期
为揭示温州鳌江流域重金属污染情况,分别采集该河流的表层底泥与河岸土壤,合计31组,共62个样品。样品经处理后使用光谱仪X-MET 7000测量重金属质量分数,使用土壤背景值、差异性分析、相关性分析和潜在生态评价法分析其中的重金属铬、铜、锌、镍和铅质量分数空间分布及潜在生态风险。结果表明:①从整体上看,除铅外,河岸土壤与表层底泥中的其他4种重金属质量分数均显著高于温州市土壤重金属背景值(P< 0.05),呈现富集现象;底泥与土壤中铬、铜、锌和铅的质量分数差异不显著(P>0.05),海口涌潮河水回流是主要原因,而底泥中镍质量分数显著高于岸边土壤(P< 0.05)。②相关性分析表明,表层底泥与河岸土壤中铬、铜、锌之间均存在极显著正相关(P< 0.01),表层底泥中铜和镍存在显著相关(P< 0.05),污染主要来源于制革印染和电镀业;铅和其他元素无显著性相关(P>0.05)。③元素质量分数空间分布分析表明,在生活垃圾堆放、工业废水排放等人为干扰严重河段底泥和土壤的重金属富集程度较高;流域的5种重金属的单因子潜在生态风险与流域整体的综合潜在生态危害分别低于40与150,均属轻微污染。应加强流域周边的产业管理。
以浙江省五金工业之都——永康市主城区为研究区域,系统采集181个表层土壤样品,对样品中钛、铬、锰、钴、镍、铜、锌、砷和铅共9种重金属元素质量分数进行测定及分析,计算单因子污染指数及潜在生态风险指数,评价永康市土壤重金属的污染状况和潜在生态风险,并利用多元统计和地统计方法分析各重金属元素的空间分布特征。结果表明:①研究区9种土壤重金属元素中,钛、铬、锰、镍、铜、锌、钴和铅等8种元素的均值超过了金衢盆地土壤背景值,砷元素均值略低于金衢盆地背景值,各重金属元素均存在一定程度上的富集。②单因子污染指数显示,表层土壤中重金属污染程度依次为铬>镍>钴>钛>锰>铜>锌>铅>砷,铬元素存在轻度污染,其余各元素均为潜在污染。③铬、镍、铜、钴、砷元素的积累主要受到工业生产影响,锌和铅元素的积累主要受到交通运输活动的影响,钛、锰来源于工业冶金及制造活动,同时钛元素也在一定程度上来源于成土母质。④永康市综合潜在生态风险指数(IR)均值为49.05,处于轻度潜在生态风险,局部地区处于中度潜在生态风险,其中铜、砷和钴元素分别存在局部地区高度、中度潜在生态风险。
为调查浙江省高虹镇稻米重金属污染状况及其对人体健康的影响,从高虹镇采集了51个本地稻米样品和37个市售外地稻米样品进行分析。采用污染指数法、相关性分析及聚类分析法评价了高虹镇本地和市售稻米中的重金属污染状况和分布特征。依据对当地居民进行的问卷调查结果,采用危险商法和高危指数法评价了稻米中的重金属对当地居民可能造成的风险。结果表明:高虹镇稻米铬、砷和铅的污染比较严重,分别为0.03~13.45 mg·kg-1,0.01~1.64 mg·kg-1和0.04~7.84 mg·kg-1,超标比率分别为70.59%,31.37%和27.45%。本地稻米和市售稻米的综合污染指数分别为3.01和1.95,整体上分别处于重度污染和轻度污染的水平。本地稻米和市售稻米的高危指数值分别为3.50和2.18,食用高虹镇本地产稻米对人体潜在的健康风险更大。
为研究干旱胁迫和复水下不同薄壳山核桃Carya illinoinensis品种水分状态和光合特性变化规律,以‘波尼’‘Pawnee’‘马罕’‘Mahan’‘斯图尔特’‘Stuart’‘莫汉克’‘Mohawk’‘金华’‘Jinhua’‘绍兴’‘Shaoxing’‘钟山25号’‘Zhongshan 25’为材料,测定光合参数、叶绿素质量分数、水分利用效率(EWU)等指标。结果表明:干旱胁迫抑制了不同薄壳山核桃品种株高、地径生长及生物量积累,一定程度上提高根冠比。随着干旱胁迫程度的加深,所有植株的净光合速率(Pn),气孔导度(Gs),蒸腾速率(Tr),叶片相对含水量(CRW)和叶绿素质量分数逐渐降低;水分利用效率逐渐升高,且在第17天时达到最高值。复水3 d后,不同品种薄壳山核桃各项指标均有不同程度的恢复,‘波尼’和‘马罕’恢复速率最快,其净光合速率分别恢复了76.1%和69.4%;复水8 d后,所有植株的各项指标基本恢复至或接近对照水平。不同薄壳山核桃品种耐旱性表现为‘马罕’ > ‘波尼’ > ‘绍兴’ > ‘钟山25号’ > ‘金华’ > ‘斯图尔特’ > ‘莫汉克’。
为了研究干旱胁迫对沙棘Hippophae rhamnoides生长的影响,通过模拟土壤自然干旱和复水过程,研究不同程度土壤干旱下中国沙棘H.rhamnoidessubsp.sinensis品种‘丰宁’‘Fengning’和蒙古沙棘H.rhamnoidessubsp.mongolia品种‘向阳’‘Xiangyang’2个品种叶片水势和光合特性。结果表明:蒙古沙棘‘向阳’在控水第22天(19.40%)左右出现叶片干缩,而中国沙棘‘丰宁’在第33天(11.66%)左右出现,说明‘丰宁’的抗旱性要高于‘向阳’。随着土壤体积含水量的降低,2个沙棘品种的叶片水势下降,增加了对水分的吸收能力,并且‘丰宁’下降幅度要大于‘向阳’。与光合生理相关的最大净光合速率、蒸腾速率、气孔导度、光饱和点、表观量子效率均随着干旱程度加深而下降,而叶绿素相对含量和光补偿点出现上升,水分利用效率先上升后下降,‘丰宁’试验组的暗呼吸速率出现先下降后恢复趋势,而‘向阳’试验组先不变后上升。复水后各生理指标出现不同程度的恢复。因此,在人工林的培育过程中出现极度干旱,沙棘叶片干缩,要及时灌溉,以免对沙棘生长造成不可恢复的伤害。‘丰宁’比‘向阳’更适合作为选育良种的亲本。
为建立果树花期树种识别的有效模型,利用ASD FieldSpec 3全波段便携式光谱分析仪采集了4种果树花期花的光谱数据。利用剔除异常光谱、5点移动平滑等技术对4种果树花期花的光谱反射率进行预处理,使用连续投影算法(SPA)进行有效波长选取并获得7个波长下的反射光谱,同时增加了590 nm和720 nm处2个波形差异大的光谱,与归一化植被指数(INDV)和比值植被指数(IRV)共11个特征波段作为分类建模数据,建立了偏最小二乘判别分析(PLS-DA),正交偏最小二乘判别分析(O-PL-DA)和基于误差反向传播算法的多层前向神经网络(BP)算法3种识别模型。结果表明:对测试样本的识别率由高到低依次为BP(93.90%)> O-PLS-DA(81.82%)> PLS-DA(76.36%)。综合研究认为:在优选波段的基础上,对果树花期树种判别应优选BP神经网络模型。
为探讨毛竹Phyllostachys edulis笋竹快速生长期可溶性糖质量分数变化与PeTPS1和PeSnRK1基因的表达情况,明确它们与毛竹快速生长的关系,采用实时荧光定量聚合酶链式反应(qRT-PCR)分析技术对笋竹快速生长期不同时间(黄昏后0,4和8 h)和不同部位(笋竹上部、中部、下部和竹篼)PeTPS1和PeSnRK1基因表达量进行分析,并采用试剂盒法测定糖质量分数。结果表明:笋竹茎秆上部可溶性糖质量分数变化不显著;黄昏后8 h中部葡萄糖、果糖、蔗糖质量分数与黄昏时相比分别下降了2.2倍、1.4倍和1.6倍;营养储存器官竹蔸中黄昏后8 h葡萄糖、果糖、蔗糖、海藻糖质量分数与黄昏时相比分别下降了1.6倍、1.3倍、1.4倍和1.3倍。笋竹中部黄昏后8 hPeTPS1基因的表达量为下部的4.8倍;黄昏后8 h竹蔸中PeSnRK1基因表达量均显著高于其他部位,为黄昏时的1.7倍。随黄昏时间变化毛竹快速生长过程中不同部位碳水化合物质量分数及其相关调控基因不断变化,可溶性糖不断消耗以供应笋竹快速生长部位的生长,同时PeTPS1基因被上调合成海藻糖以保证充足的碳源,而PeSnRK1基因则呈现出与PeTPS1基因表达相反的变化趋势。推测T6P/SnRK1信号共同调节黑暗中笋竹快速生长,在毛竹快速生长这一关键生理过程中具有重要作用。研究成果为进一步明确毛竹速生生长机制以及指导其他树木的速生和育种具有重要意义。
CCHC型锌指结构蛋白OsZFP参与调控水稻Oryza sativa侧根的生长发育,但其相关互作蛋白及调控机制未知。以水稻‘日本晴’‘Nipponbare’为试验材料,克隆了OsZFP基因,利用EcoRⅠ和SalⅠ酶切位点构建酵母双杂交钓饵表达载体pGBKT7+OsZFP,验证该表达载体对酵母菌株Y2H无毒性及报告基因自激活现象;采用酵母双杂交技术,从已构建的水稻cDNA文库中筛选到1个阳性互作蛋白,经美国国家生物技术信息中心数据库(NCBI)同源性比对,鉴定为含有T-complex polypeptide 1(TCP-1)结构域的分子伴侣蛋白第7个亚基(Os06g0687700),命名为chaperonin containing TCP-1 eta subunit(CCT-eta),进而通过酵母一对一回复验证该互作蛋白。基于CCT-eta亚基与OsZFP蛋白互作,推测分子伴侣蛋白亚基CCT-eta可能参与调控水稻侧根的生长发育。
为获得影响赤桉Eucalyptus camaldulensis家系抗风性能的主要因子,筛选能生产应用的优良抗风家系,在连续3 a调查114个赤桉家系高产抗风家系排序基础上,选取50个赤桉家系为材料,对其生长性状(树高、胸径、单株材积),材性性状(木材基本密度、纤维长度、纤维宽度、纤维长宽比),材性相关的无损指标(Pilodyn值、应力波值)以及台风风害指数进行了测定和分析。结果表明:除胸径(P=0.062),纤维长宽比(P=0.636)和树皮厚度(P=0.174)外,家系在各性状间差异均达到极显著水平(P< 0.01),单株、家系遗传力变化范围分别为0.046~0.885和0.077~0.777,纤维宽度、树高、木材基本密度、应力波值等性状具有高遗传力。各性状变异系数范围为5.11%~87.57%,遗传变异系数范围为1.78%~34.57%,环境变异系数范围为4.43%~80.74%,风害指数和单株材积变异较大,有利于优良抗风家系的评价选择。相关性分析结果表明:赤桉纤维长度与木材基本密度、Pilodyn值、应力波值呈及显著相关,纤维宽度与生长性状(树高、胸径、单株材积、树皮厚度)呈极显著相关。风害指数与木材纤维长度、纤维长宽比相关性不显著,与树高、单株材积达极显著相关,与应力波值、树皮厚度呈显著相关,与胸径、Pilodyn值、木材基本密度相关性不显著,树高、单株材积与风害指数的相关关系在遗传、环境及表型上均高于其他性状。通过综合选择筛选出5个优良抗风家系,分别为家系2007,2006,20027,2005,2008,其遗传增益范围为0.53~22.39。
植物激素是调控不定根形成的重要因素。通过测定胡桃Juglans复幼嫩枝扦插过程内源激素的质量分数变化,分析植物生长调节剂诱导对内源激素的影响,为探讨植物激素对不定根发生提供参考。以胡桃品种‘中宁盛’‘Zhongningsheng’复幼插穗为试验材料,利用高效液相色谱串联质谱法,测定外源吲哚丁酸(IBA)诱导处理下插穗基部内源激素变化,并统计生根情况。结果表明:外源IBA诱导处理对插穗生根影响显著。经IBA诱导的嫩枝插穗生根率高达98.1%,对照处理没有生根,死亡率达75.5%;发根过程经历了形成层增厚、分生组织细胞团产生、根原基初始细胞发生、根原基形成和根的发育等阶段,外部形态表现为增粗、开裂;与对照组相比,扦插后内源激素变化明显,吲哚乙酸(IAA)先升高,并于第5天达到峰值,之后降低;赤霉素(GA3)变化趋势与IAA一致;脱落酸(ABA)则是先降低后上升;玉米素(ZT)前期没有明显变化,根原基诱导后明显升高。外源生长素的诱导提高了嫩枝插穗IAA的水平,改变了内源激素质量分数,促进了不定根的形成。
以浙江楠Phoebe chekiangensis,浙江樟Cinnamomum chekiangense和南方红豆杉Taxus wallichianavar.mairei2年生容器苗为材料,研究轻基质配比对其生长、根系发育及氮、磷吸收的影响,共设置2种体积分数基质配比,分别为45%泥炭+40%谷壳+15%黄心土(S1)和35%泥炭+40%谷壳+25%黄心土(S2)。结果表明:浙江楠在S1基质下,其苗高和茎生物量分别达88.91 cm和23.35 g,明显优于S2基质,分别较其高6.61 cm和3.39 g。浙江樟和南方红豆杉高生长则均表现为S2基质显著优于S1基质,浙江樟地径、茎生物量和南方红豆杉单株生物量在S2基质下分别为9.08 mm,9.21 g和29.70 g,分别较S1基质下大11.5%,27.2%和22.7%。南方红豆杉根系发育受基质配比影响显著,S2基质下其根长、根表面积、根体积及根直径均比S1基质下大34.5%以上;浙江楠和浙江樟在2种基质间根系发育差异不显著。基质配比显著影响浙江樟和南方红豆杉氮和磷吸收,S2基质下,2个树种氮和磷分别为489.66,26.86 mg和559.13,42.81 mg,均显著高于S1基质;浙江楠氮和磷吸收在2种基质间差异不显著。结合生长和养分吸收状况,浙江楠较适宜于泥炭比例相对较高(体积分数为45%),黄心土比例较低(15%)的S1基质,浙江樟和南方红豆杉则在泥炭比例较低(35%),黄心土比例较高(25%)的S2基质下生长较好。可见,不同珍贵树种容器苗对基质配比要求不同,为提高容器苗质量应依据树种特性调整基质成分的比例。
为了掌握杉木Cunninghamia lanceolata天然林与人工林的树高、胸径生长规律,改进杉木的营林生产模式,利用湖南省杉木一类清查数据,选择了6种常用经验方程拟合杉木树高曲线和胸径生长曲线,从中选出最优模型。在此基础上,考虑林分起源的差异,采用引入哑变量的度量误差模型方法建立不同起源林分相容性树高曲线方程组,并分析比较林分各阶段的生长状况。结果表明:引入哑变量后所建立的树高曲线方程组效果更好,在含哑变量的树高曲线方程组中杉木林分平均胸径生长过程曲线、平均树高曲线的拟合决定系数分别为0.820 5,0.758 0,预估精度分别达到了98.30%和98.01%,且其他各项评价指标均优于不含哑变量的树高曲线方程组;通过对比分析各林分不同林龄段的生长状况知:杉木人工林和天然林的总体趋势一致,但在中幼龄阶段,人工林的树高和胸径生长率高于天然林,且人工林的树高与胸径均比天然林先达到最大值。利用引入哑变量的度量误差模型方法建立树高生长模型,不仅考虑度量误差提高了模型精度,还解决了模型间不相容的问题。
光肩星天牛Anoplophora glabripennis的寄主植物范围广泛,既危害衰弱寄主也危害健康寄主。为了寻找影响光肩星天牛产卵的植物源信息物质,并为研制绿色无公害的光肩星天牛引诱剂奠定基础,通过室内有选择和无选择产卵试验,测定了光肩星天牛对青皮垂柳Salix ohsidare,苦楝Melia azedarach和复叶槭Acer negundo等3种寄主植物的产卵偏好行为,并采用动态顶空吸附法结合气相色谱-质谱联用技术(GC-MS)分析了3种寄主植物树干挥发物成分。有选择产卵试验和无选择产卵试验结果都表明:光肩星天牛最喜欢在青皮垂柳上产卵,其次是苦楝,最后是复叶槭,其中,有选择产卵试验中,光肩星天牛在青皮垂柳上的产卵成功率达69.4%,在复叶槭上的产卵成功率为0。寄主植物挥发物成分分析结果显示:青皮垂柳和苦楝分别测到16种化合物,复叶槭检测到11种化合物,其中3-蒈烯和2-乙基己醛只在青皮垂柳中检测到。另外,壬醛、苯乙烯和苯乙酮在青皮垂柳中的质量浓度显著高于苦楝和复叶槭(P< 0.05)。在以上5种化合物中,有文献报道3-蒈烯和壬醛显示出对光肩星天牛吸引作用,因此推测,3-蒈烯和壬醛可能是对光肩星天牛具有产卵引诱作用的植物源成分。
生肌调节因子家族(myogenic regulatory factors,MRFs)在胚胎期和出壳早期的骨骼肌分化过程中发挥重要作用;PAX家族中的2个转录因子Pax3和Pax7,被认为在肌纤维的生长发育过程中,指导众多过程的形成。在鹅胚胎发育过程中这些基因的表达变化规律及在肌肉发育过程中的表达变化规律研究甚少。以浙东白鹅Anser cygnoides domestica‘Zhedong’为研究对象,提取RNA合成cDNA并采用实时荧光定量聚合酶链式反应(qRT-PCR)研究MRFs,Pax3和Pax7在鹅胚胎期(7,11,15,19,23,27 d胚龄)及出生早期(出雏后7日龄)的表达规律,并分析其表达与胸、腿肌发育的相关性。结果显示:MRFs,Pax3和Pax7基因均和鹅骨骼肌的发育相关,并且存在不同的表达规律。MRFs和Pax7基因在11~15 d胚龄期间出现表达高峰期,而Pax3基因在7 d胚龄即出现高表达,随后表达下降。通过分析表明:这些基因的表达规律均和它们在肌肉发育过程中的作用密切吻合。
菌株TJB-8是从杨树Populus根部土壤中分离获得的一株对杨树腐烂病菌Cytospora chysosperma具有明显抑菌效果的细菌。基于形态学特征、生理生化特性和16S rDNA序列分析鉴定了TJB-8的分类地位,并分别采用菌丝生长速率法和二分皿法分析了其抑菌活性物质,为菌株TJB-8的实际开发利用提供理论基础。研究结果显示:菌株TJB-8的无菌滤液有效抑制了杨树腐烂病菌菌丝生长,抑制率达到97.42%(72 h),并使生长的菌丝产生畸形膨大;TJB-8的无菌滤液还能明显抑制胶孢炭疽菌Colletotrichum gloeosporioides,细极链格孢菌Alternaria tenuissima,尖孢镰刀菌Fusarium oxysporum,禾谷镰刀菌F.graminearum和立枯丝核菌Rhizoctonia solani的生长;菌株TJB-8经鉴定为蜡样芽孢杆菌Bacillus cereus,并发现其能产生β-1,3-葡聚糖酶和蛋白酶;此外,其产生的蛋白类物质、脂肽类物质及挥发性气体均表现出较强的抑菌活性,对杨树腐烂病菌的抑制率分别达到100%(72 h),100%(72 h)和76.08%(48 h)。蜡样芽孢杆菌TJB-8是一株抑菌活性强、抑菌谱广且能产生多种抑菌活性物质的拮抗细菌,作为一种生物杀菌剂具有较高的工业开发和田间应用的前景。
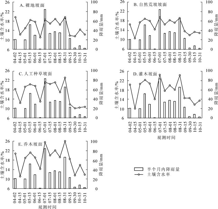
基于山西省平顺县白马小流域标准坡面径流小区的观测试验,以裸地作为对照,运用统计学分析方法,对不同降水量和降雨强度下典型植物措施坡面的产流产沙量进行对比,同时分析各坡面的土壤含水率变化情况,研究太行山土石山区典型植物措施坡面的产流产沙规律和降雨对坡面土壤含水率的影响。结果表明:①大雨和暴雨是造成各坡面水土流失的主要降雨类型;在中雨强和高雨强条件下,各坡面径流小区的产流量占总产流量的71.94%~73.60%,产沙量占总产沙量的80.78%~90.35%。②在各降雨类型条件下,各坡面的产流产沙量为:裸地>自然荒坡>人工草地>灌木林地>乔木林地,灌木林地和乔木林地的产流产沙最少,能够有效防治该地区的水土流失。③各坡面径流小区的土壤含水量变化趋势基本一致,其变化趋势与降雨分布有很好的一致性,土壤含水率变化受降雨影响明显。
植物群落特征和林分空间结构组成及评价是森林公园景观的关键,对森林公园景观优化与提升具有重要意义。以福建金丝湾省级森林公园为对象,基于40个调查样方,从群落特征和林分空间结构2个层面选择24个景观影响因子,运用美景度评价法(SBE)得出各个样方景观得分值,进而构建美景度和各个影响因子类目之间的景观评价与预测的多元回归线性模型,并分析群落特征和林分空间结构对森林公园景观美学质量的贡献作用。结果表明:森林公园景观中,主要影响美景度的景观因子有凋落物、林下层统一度、乔木丰富度、郁闭度、胸径变异系数、竞争指数、枝下高和角尺度,其贡献率分别为20.809%,20.424%,14.547%,14.162%,10.790%,8.189%,6.455%和4.624%;群落特征和林分空间结构2个层面的贡献率分别为87.187%和12.813%。植物群落特征和林分空间结构相互作用在森林公园美景度评价中占据着重要地位。
为探析湖泊流域景观格局及生态风险时空演变规律,改善流域生态环境以及降低流域生态风险,以普者黑湖流域为研究对象,并以6期(1990年,1995年,2000年,2005年,2010年和2015年)遥感影像为基础,基于景观干扰度指数和景观损失度指数构建景观生态风险指数,借助ArcGIS地统计学中的分析方法,对普者黑湖流域景观格局及生态风险时空演变进行分析。结果表明:①1990-2015年普者黑流域景观结构发生了较大变化,农地和林地的干扰度较高,建筑用地、园地和湿地的干扰度次之,未利用地的干扰度较小,干扰度指数仅为0.208 7~0.218 0,其中农地干扰度波动较小,其变化范围为0.375 8~0.379 6,建筑用地的干扰度指数波动较大,变化率为-14.10%。②20 a来,普者黑流域不同土地利用景观损失度变化显著,其中农地和未利用地损失度较大,依次达到0.542 2和0.551 4,湿地、建筑用地和林地次之,园地损失度最小,损失度指数仅为0.119 7。③1990-2015年研究区生态风险空间分布差异较大,1990-2005年较低生态风险所占比例最大,而2005-2015年期间生态风险主要表现为中生态风险等级,生态风险在缓慢增加;流域生态风险时空分布与土地利用强度及人类活动关系密切,加强流域土地综合治理和人类活动调控,促进流域社会、经济与生态保护协同作用,实现区域可持续发展。
环境景观对医疗效果具有支持作用。营建有助于患者康复的医院户外环境,首先需要科学化、定量化地构建医院户外环境综合评价体系。选择江苏省南京市5所三甲综合医院作为研究对象,运用层次分析法和模糊评价法构建了医院户外环境综合评价体系。结果显示:功能性指标最为重要,权重值为0.557 1,其中环境安全性权重值最高,达0.456 6;适宜性指标中声环境、风环境和光环境等"软"要素的权重值最高,分别为0.365 0,0.255 3和0.182 9;观赏性指标中,绿视率的指标重要值最高,为0.532 7,远高于其他指标。根据上述户外环境综合评价体系,得到样本医院环境品质的等级隶属度,显示出南京地区综合医院住院部户外环境总体品质层次不高。研究表明,采用定量化、综合评价体系进行户外环境评价更为科学、客观,对医院户外环境建设更具指导意义。
林区旅游的可持续发展是在城乡互动的基础上推进的,有利于解决中国林区生态环境、剩余劳动力和职工收入等问题,对区域经济的发展具有很大的影响。在实地调研、专家问卷、数据整合的基础上,建立了较为完整的林区旅游可持续发展指标体系。结合层次分析法确立各项要素的权重,通过多目标线性加权函数法对发展阶段进行综合评价。以黑龙江省伊春市9个林场作为评价对象,在验证指标体系的实用性和系统性同时,提高该指标评价体系的应用价值,为进一步完善东北林区旅游乃至生态环境发展提供参考。
由于城市环境的特殊性,城市绿化的参与者同时也是绿化树种选择的决策者,城市绿地树种结构的初始分布完全由人为选择控制。现阶段受人为因素干扰,城市绿地表现出的诸如树种优势度集中、结构单一、生态效益低下等问题越来越突出,使得从参与者角度探明城市绿地树种选择的主观影响因素变得十分重要。通过建立城市绿地树种选择影响因素评价指标体系,让政府主管部门、规划设计者、绿化施工企业、苗木供应者及市民公众5类绿化参与者对树种选择影响因素进行评价,再运用SPSS 23.0软件对5类绿化参与者的评价结果进行相关性分析,并从参与者角度对合肥市常见园林绿化树种进行综合评价。结果表明:①不同参与者对城市绿地树种选择影响因素重要性的判断不同;②政府主管部门与规划设计者对城市绿地树种选择影响因素的权重评价数据在0.01水平上呈显著相关,与绿化施工企业在0.05水平上呈显著相关;③根据绿化参与者的权重数据对合肥市常见园林绿化树种进行综合评价,筛选出不同参与者综合评价在3.0分以上的树种154种,其中Ⅰ类树种51种、Ⅱ类树种44种、Ⅲ类树种59种。
林业生产效率是关系林业经济发展的重要问题。对林业生产效率进行科学地测算与分析,真实反映林业生产效率的实际状况,以期为提高林业生产效率提供科学依据。以竹林生产为例,基于浙江省安吉县6个行政村110户农户调查数据,应用三阶段数据包络分析(DEA)模型对农户竹林生产效率进行测算与评价分析。结果表明:环境变量中,户主受教育年限、竹林收入比例、家庭从事竹林生产人数、家庭经营竹林地块数对竹林生产效率有显著的负向影响;户主年龄、参与竹林生产技术培训、林权证的获得对竹林生产效率有显著的正向影响。在剔除环境效应和随机误差影响后,样本户竹林生产平均技术效率由0.537下降为0.436,平均纯技术效率由0.602上升至0.803,而平均规模效率则由0.891下降至0.556;竹林生产规模报酬均处于递增阶段。基于上述分析,提出降低竹林地细碎化程度,引导农户合理配置竹林生产投入要素,进一步明晰竹林地产权,加大对农户竹林生产技术培训力度等建议。
根系分泌物不仅是植物与根际进行物质交换的载体,还参与植物修复污染土壤的各个环节。通过查阅1992-2016年国内外关于根系分泌物的研究成果,对根系分泌物分类的依据、常用收集鉴定方法的适用性,及其在土壤修复中的作用方面等进行了综述。通过植物根系分泌物的提取鉴定方法以及对污染土壤修复机理影响等方面的系统梳理,揭示了目前中国在植物根系分泌物研究的研究体系以及在今后的研究中所需要突破的方向。植物修复作为典型的绿色、环保的修复技术近年来应用广泛,但修复效率低、耗时长等一系列现实问题,一直是困扰该技术大面积应用的重要瓶颈,而加强根系分泌物在植物修复中作用的研究是解决这一问题的关键。通过对以往该领域的研究文献的分析,系统阐明了根系分泌物在土壤中的物理、化学、生物作用,为重金属污染土壤的植物修复工程的研究提供理论支撑和技术指导。
为研究不同程度干旱胁迫对黄瓜Cucumis sativus幼苗营养器官中组织和细胞结构的影响,以‘津优1号’‘Jinyou No.1’黄瓜幼苗为试材,分别在营养液中添加质量分数为5%和10%的聚乙二醇(PEG-6000),模拟干旱胁迫条件。结果表明:随着干旱胁迫程度的增加,黄瓜幼苗组织结构变化程度逐渐加剧。在质量分数为5%的PEG-6000处理下,幼苗组织出现根皮层薄壁细胞减少、茎木质部导管萎缩、叶片栅栏组织排列更紧密等特征;而在质量分数为10%的PEG-6000处理下,黄瓜幼苗组织和细胞已发生严重变形、萎缩、排列紊乱、表皮破裂。试验结果表明:黄瓜通过一定程度的组织结构变化适应轻度干旱胁迫,而在重度干旱胁迫下组织结构受到了严重破坏,最终导致器官、组织或细胞功能的丧失。
高节竹Phyllostachys prominens是优良的笋材兼用竹种,生态适应性强。采取覆土控鞭经营措施能显著提高高节竹笋外观品质、营养品质和食味品质及竹林经济效益。为摸清覆土控鞭栽培对高节竹生长的影响,为高节竹林高效可持续经营提供参考,测定了覆土控鞭栽培与对照高节竹林1~3年生立竹叶片的主要叶性因子和碳(C),氮(N),磷(P)质量分数,分析高节竹叶片形态和养分化学计量特征对覆土控鞭栽培的响应规律。结果表明:覆土控鞭栽培2 a后,高节竹1~3年生立竹叶片变细长,单叶面积和比叶面积略有增大,单叶质量和叶片厚度稍有下降,叶片形态指标覆土控鞭栽培和不覆土栽培竹林间差异均不显著(P>0.05)。覆土控鞭栽培的高节竹林1~3年生立竹叶片碳质量分数显著升高(P< 0.05),氮略有升高(P>0.05),磷稍有下降,C/N和N/P均有所升高(P>0.05),而C/P显著升高(P< 0.05)。覆土控鞭栽培对高节竹叶片形态并未产生明显的影响,对高节竹光合碳同化能力和氮、磷养分利用效率有促进作用,可见高节竹林采取科学的覆土控鞭高品质竹笋栽培措施能达到高效可持续经营的目标。




























