2018年 第35卷 第2期
2018, 35(2): 189-198.
doi:10.11833/j.issn.2095-0756.2018.02.001
摘要:
水源涵养功能是生态系统服务功能中重要的一项。了解区域水源涵养功能的现状和未来变化,对水源涵养保护与利用有重要意义。以浙江省丽水市莲都区为研究范围,利用InVEST模型对研究区1994,2001,2008和2015年的水源涵养功能进行了计算评估及重要性评价,利用CA-Markov模型对研究区2030年的土地覆被类型进行了预测,并进行水源涵养功能评估。结果表明:莲都区1994,2001,2008和2015年的平均水源涵养量分别为69.98,98.40,82.36和114.01 mm,水源涵养总量分别为1.11×108,1.56×108,1.23×108和1.83×108m3,水源涵养功能21 a间提高了62.92%。研究区南部地区和北部部分地区水源涵养功能较好,中部地区的水源涵养功能低于其他地区。影响研究区水源涵养功能最主要的两类因素是下垫面特征和气候因素,其中土壤饱和导水率为影响最大的因素,标准化系数达到了0.644。2030年模拟结果显示,莲都区水源涵养功能与2015年差异不大,平均水源涵养量和总量分别为112.90 mm和1.81×108m3。通过水源涵养功能评价模拟,发现研究区的西北地区水源涵养潜力较大。
水源涵养功能是生态系统服务功能中重要的一项。了解区域水源涵养功能的现状和未来变化,对水源涵养保护与利用有重要意义。以浙江省丽水市莲都区为研究范围,利用InVEST模型对研究区1994,2001,2008和2015年的水源涵养功能进行了计算评估及重要性评价,利用CA-Markov模型对研究区2030年的土地覆被类型进行了预测,并进行水源涵养功能评估。结果表明:莲都区1994,2001,2008和2015年的平均水源涵养量分别为69.98,98.40,82.36和114.01 mm,水源涵养总量分别为1.11×108,1.56×108,1.23×108和1.83×108m3,水源涵养功能21 a间提高了62.92%。研究区南部地区和北部部分地区水源涵养功能较好,中部地区的水源涵养功能低于其他地区。影响研究区水源涵养功能最主要的两类因素是下垫面特征和气候因素,其中土壤饱和导水率为影响最大的因素,标准化系数达到了0.644。2030年模拟结果显示,莲都区水源涵养功能与2015年差异不大,平均水源涵养量和总量分别为112.90 mm和1.81×108m3。通过水源涵养功能评价模拟,发现研究区的西北地区水源涵养潜力较大。
2018, 35(2): 199-208.
doi:10.11833/j.issn.2095-0756.2018.02.002
摘要:
毛竹Phyllostachys edulis具有速生和异龄纯林结构特征,导致毛竹林内竞争十分激烈。现有研究较少关注毛竹林内个体竞争依赖距离尺度的空间异质性及其动态。以浙江天目山国家级自然保护区内毛竹为研究对象,利用2009-2015年固定样地连续调查数据,采用Hegyi竞争指数、半方差函数、Moran'sI指数、经验贝叶斯克里金插值等分析方法,研究毛竹竞争空间格局特征及其动态变化。结果表明:①毛竹各年竞争指数空间分布均呈现全局一般正向自相关(P< 0.001),竞争强度相近的竹子相邻分布。②毛竹竞争指数由结构性因素产生强烈空间变异。③受微地形影响,毛竹竞争指数空间格局变异存在各向异性,而极端气候干扰会降低竞争的空间异质性,竞争指数空间格局变异趋于各向同性。④毛竹竞争变程大年长而小年短,平均变程4.306 m,可作为毛竹竞争单元半径及调控毛竹个体竞争关系的距离尺度。⑤毛竹从小年到大年时竞争加剧,从大年到小年时竞争缓和。
毛竹Phyllostachys edulis具有速生和异龄纯林结构特征,导致毛竹林内竞争十分激烈。现有研究较少关注毛竹林内个体竞争依赖距离尺度的空间异质性及其动态。以浙江天目山国家级自然保护区内毛竹为研究对象,利用2009-2015年固定样地连续调查数据,采用Hegyi竞争指数、半方差函数、Moran'sI指数、经验贝叶斯克里金插值等分析方法,研究毛竹竞争空间格局特征及其动态变化。结果表明:①毛竹各年竞争指数空间分布均呈现全局一般正向自相关(P< 0.001),竞争强度相近的竹子相邻分布。②毛竹竞争指数由结构性因素产生强烈空间变异。③受微地形影响,毛竹竞争指数空间格局变异存在各向异性,而极端气候干扰会降低竞争的空间异质性,竞争指数空间格局变异趋于各向同性。④毛竹竞争变程大年长而小年短,平均变程4.306 m,可作为毛竹竞争单元半径及调控毛竹个体竞争关系的距离尺度。⑤毛竹从小年到大年时竞争加剧,从大年到小年时竞争缓和。
2018, 35(2): 209-218.
doi:10.11833/j.issn.2095-0756.2018.02.003
摘要:
林下植被和土壤演变过程与人工林生长发育和群落结构互为因果,共同影响人工林的群落稳定性和健康水平。以鲁中南山地黑松Pinus thunbergii人工林为研究对象,采用空间序列代替时间序列的研究方法,在调查不同发育阶段林分的群落结构、林下植被、林地土壤理化性质和微生物群落特征基础上,分析了人工林生态系统随林龄变化的演替规律。研究结果表明:①土壤有效磷质量分数以6年生黑松林最高、30年生黑松林最低,有效钾质量分数以30年生最高、6年生最低,不同林龄阶段之间差异显著(P< 0.05);土壤全氮和有效氮质量分数均表现为30年生最高、50年生最低,其中50年生土壤全氮质量分数显著低于6年生和30年生,30年生土壤有效氮质量分数显著高于6年生和50年生(P< 0.05)。②土壤蔗糖酶、纤维素酶活性以30年生最高,50年生最低,不同林龄阶段之间差异显著(P< 0.05);土壤脲酶活性随林龄增加而降低,50年生显著高于30年生和6年生(P< 0.05)。③土壤微生物多样性为6年生> 50年生> 30年生,土壤微生物丰度随林龄升高呈先降后升的趋势,其中变形菌门Proteobacteria,放线菌门Actinobacteria和酸杆菌门Acidobacteria为绝对优势菌群。④林下草本植物和灌木多样性随林龄升高呈递减趋势。
林下植被和土壤演变过程与人工林生长发育和群落结构互为因果,共同影响人工林的群落稳定性和健康水平。以鲁中南山地黑松Pinus thunbergii人工林为研究对象,采用空间序列代替时间序列的研究方法,在调查不同发育阶段林分的群落结构、林下植被、林地土壤理化性质和微生物群落特征基础上,分析了人工林生态系统随林龄变化的演替规律。研究结果表明:①土壤有效磷质量分数以6年生黑松林最高、30年生黑松林最低,有效钾质量分数以30年生最高、6年生最低,不同林龄阶段之间差异显著(P< 0.05);土壤全氮和有效氮质量分数均表现为30年生最高、50年生最低,其中50年生土壤全氮质量分数显著低于6年生和30年生,30年生土壤有效氮质量分数显著高于6年生和50年生(P< 0.05)。②土壤蔗糖酶、纤维素酶活性以30年生最高,50年生最低,不同林龄阶段之间差异显著(P< 0.05);土壤脲酶活性随林龄增加而降低,50年生显著高于30年生和6年生(P< 0.05)。③土壤微生物多样性为6年生> 50年生> 30年生,土壤微生物丰度随林龄升高呈先降后升的趋势,其中变形菌门Proteobacteria,放线菌门Actinobacteria和酸杆菌门Acidobacteria为绝对优势菌群。④林下草本植物和灌木多样性随林龄升高呈递减趋势。
2018, 35(2): 219-226.
doi:10.11833/j.issn.2095-0756.2018.02.004
摘要:
北川羌族自治县是5·12大地震的重灾区,次生灾害种类多样,植被受损严重。为了解5·12大地震后不同次生灾害迹地植物群落自然恢复情况,在北川羌族自治县选取落石、崩塌、滑坡、泥石流、堰塞湖等5种次生灾害迹地和1种未受损林地,通过设180个大小样方来进行野外调查和数量分析,研究植物群落的物种组成、结构特征、物种多样性及物种相似性。结果表明:①次生灾害迹地植物群落结构简单,多以菊科Compositae,禾本科Gramineae草本植物为主,群落物种数量由多到少依次为落石自然恢复地(B4)>桤木Alnus cremastogyne-樟树Cinnamomum camphora混交林(ck)>堰塞湖自然恢复地(B5)>泥石流自然恢复地(B2)=滑坡自然恢复地(B3)>崩塌自然恢复地(B1)。②次生灾害迹地乔木层优势种是桤木,灌木层优势种是水麻Debregeasia orientalis;草本层优势种是五节芒Miscanthus floridulus,千里光Senecio scandens等禾本科和菊科植物。③物种相似性在次生灾害迹地与未受损林地差异较大,其中物种相似性系数大小依次为:B4(0.19)> B5(0.13)> B2(0.10)> B3(0.06)> B1(0.02);不同次生灾害迹地之间更为相似,且B2,B3,B4,B5样地之间物种相似性系数在0.28左右。
北川羌族自治县是5·12大地震的重灾区,次生灾害种类多样,植被受损严重。为了解5·12大地震后不同次生灾害迹地植物群落自然恢复情况,在北川羌族自治县选取落石、崩塌、滑坡、泥石流、堰塞湖等5种次生灾害迹地和1种未受损林地,通过设180个大小样方来进行野外调查和数量分析,研究植物群落的物种组成、结构特征、物种多样性及物种相似性。结果表明:①次生灾害迹地植物群落结构简单,多以菊科Compositae,禾本科Gramineae草本植物为主,群落物种数量由多到少依次为落石自然恢复地(B4)>桤木Alnus cremastogyne-樟树Cinnamomum camphora混交林(ck)>堰塞湖自然恢复地(B5)>泥石流自然恢复地(B2)=滑坡自然恢复地(B3)>崩塌自然恢复地(B1)。②次生灾害迹地乔木层优势种是桤木,灌木层优势种是水麻Debregeasia orientalis;草本层优势种是五节芒Miscanthus floridulus,千里光Senecio scandens等禾本科和菊科植物。③物种相似性在次生灾害迹地与未受损林地差异较大,其中物种相似性系数大小依次为:B4(0.19)> B5(0.13)> B2(0.10)> B3(0.06)> B1(0.02);不同次生灾害迹地之间更为相似,且B2,B3,B4,B5样地之间物种相似性系数在0.28左右。
2018, 35(2): 227-234.
doi:10.11833/j.issn.2095-0756.2018.02.005
摘要:
为了给晋西黄土区蔡家川流域刺槐Robinia pseudocacia人工林恢复状况评价以及植被配置提供理论依据,采用样地调查的方法,选取刺槐人工林为研究对象,对照当地油松Pinus tabulaeformis人工林和天然次生林,进行林下物种多样性研究。结果表明:①刺槐人工林林下物种共有37种,包括灌木8种,草本29种,灌木层以蔷薇科Rosaceae植物为主,草本层以菊科Compositae和禾本科Gramineae植物为主。②刺槐人工林林下α多样性小于天然次生林,与油松人工林之间的差异较小。③刺槐人工林林下草本层β多样性指数大于灌木层;刺槐林与天然林的β多样性大于刺槐林与油松林的。④刺槐人工林林下植被相似度不高,不同刺槐林样地之间物种种类存在较大的差异,尤其是草本层。晋西黄土区蔡家川流域刺槐人工林林下植被仍具有较大的生长繁殖空间,物种多样性还有待提高。
为了给晋西黄土区蔡家川流域刺槐Robinia pseudocacia人工林恢复状况评价以及植被配置提供理论依据,采用样地调查的方法,选取刺槐人工林为研究对象,对照当地油松Pinus tabulaeformis人工林和天然次生林,进行林下物种多样性研究。结果表明:①刺槐人工林林下物种共有37种,包括灌木8种,草本29种,灌木层以蔷薇科Rosaceae植物为主,草本层以菊科Compositae和禾本科Gramineae植物为主。②刺槐人工林林下α多样性小于天然次生林,与油松人工林之间的差异较小。③刺槐人工林林下草本层β多样性指数大于灌木层;刺槐林与天然林的β多样性大于刺槐林与油松林的。④刺槐人工林林下植被相似度不高,不同刺槐林样地之间物种种类存在较大的差异,尤其是草本层。晋西黄土区蔡家川流域刺槐人工林林下植被仍具有较大的生长繁殖空间,物种多样性还有待提高。
2018, 35(2): 235-242.
doi:10.11833/j.issn.2095-0756.2018.02.006
摘要:
为了解耕地在造林和撂荒这2种恢复方式下生态系统碳储量的差异和分配特征,并为估算森林碳汇提供基础数据支撑,在2016年7-8月,采用野外样地调查并结合室内测定对湖南会同恢复14 a的退耕还林地(即耕地造林)和农田撂荒地(即耕地撂荒)进行植被、凋落物以及土壤碳储量的调查。结果表明:①退耕还林地的生物量碳储量显著(P< 0.05)高于农田撂荒地。其中,退耕还林地的乔木层碳储量高于农田撂荒地,并且前者是后者的2.76倍,但灌木层和草本层正好相反。②耕地在2种恢复方式下土壤碳质量分数均随土壤深度的增加而依次减小。农田撂荒地土壤碳储量随土壤深度的增加也依次减小,但退耕还林地土壤碳储量的大小为20~40 cm > 0~10 cm > 40~60 cm > 10~20 cm > 60~80 cm。退耕还林地0~80 cm深土壤碳储量略高于农田撂荒地,但两者没有显著差异(P> 0.05)。③退耕还林地生态系统碳储量要高于农田撂荒地。2种恢复方式下各组分碳储量大小均为土壤层>乔木层>凋落物层>草本层>灌木层。研究显示,在试验时段内,耕地采用造林的方式其固碳能力要优于撂荒的方式。
为了解耕地在造林和撂荒这2种恢复方式下生态系统碳储量的差异和分配特征,并为估算森林碳汇提供基础数据支撑,在2016年7-8月,采用野外样地调查并结合室内测定对湖南会同恢复14 a的退耕还林地(即耕地造林)和农田撂荒地(即耕地撂荒)进行植被、凋落物以及土壤碳储量的调查。结果表明:①退耕还林地的生物量碳储量显著(P< 0.05)高于农田撂荒地。其中,退耕还林地的乔木层碳储量高于农田撂荒地,并且前者是后者的2.76倍,但灌木层和草本层正好相反。②耕地在2种恢复方式下土壤碳质量分数均随土壤深度的增加而依次减小。农田撂荒地土壤碳储量随土壤深度的增加也依次减小,但退耕还林地土壤碳储量的大小为20~40 cm > 0~10 cm > 40~60 cm > 10~20 cm > 60~80 cm。退耕还林地0~80 cm深土壤碳储量略高于农田撂荒地,但两者没有显著差异(P> 0.05)。③退耕还林地生态系统碳储量要高于农田撂荒地。2种恢复方式下各组分碳储量大小均为土壤层>乔木层>凋落物层>草本层>灌木层。研究显示,在试验时段内,耕地采用造林的方式其固碳能力要优于撂荒的方式。
2018, 35(2): 243-251.
doi:10.11833/j.issn.2095-0756.2018.02.007
摘要:
以浙江凤阳山国家级自然保护区典型常绿阔叶林、杉木Cunninghamia lanceolata林、针阔混交林、柳杉Cryptomeria fortunei林为研究对象,采用室内培养试验,研究10,20,30℃条件下4种森林土壤微生物量碳(MBC)和可溶性有机碳(DOC)的动态。结果表明:4种森林类型中,土壤总有机碳(SOC)和DOC质量分数以柳杉林为最高,MBC则以常绿阔叶林为最高,3种形态有机碳质量分数均以杉木林为最低。随着培养时间的延长,10℃下,不同森林土壤的MBC质量分数总体上呈前期下降快、后期下降慢,DOC质量分数呈先上升后下降;20℃下,不同森林土壤MBC和DOC质量分数均呈相对缓慢下降;30℃下,不同森林土壤MBC质量分数先上升后下降,DOC质量分数前期下降快、后期下降慢的趋势。同一森林土壤在不同温度条件下,土壤MBC质量分数大小顺序为30℃ > 20℃ > 10℃,土壤DOC质量分数则表现为10℃ > 20℃ > 30℃。培养56 d后,常绿阔叶林、针阔混交林土壤的MBC和DOC质量分数的下降幅度高于杉木林、柳杉林。柳杉林和常绿阔叶林SOC和DOC质量分数显著高于杉木林(P< 0.05),在较高温度条件下培养的土壤DOC质量分数较低,而MBC质量分数则较高。
以浙江凤阳山国家级自然保护区典型常绿阔叶林、杉木Cunninghamia lanceolata林、针阔混交林、柳杉Cryptomeria fortunei林为研究对象,采用室内培养试验,研究10,20,30℃条件下4种森林土壤微生物量碳(MBC)和可溶性有机碳(DOC)的动态。结果表明:4种森林类型中,土壤总有机碳(SOC)和DOC质量分数以柳杉林为最高,MBC则以常绿阔叶林为最高,3种形态有机碳质量分数均以杉木林为最低。随着培养时间的延长,10℃下,不同森林土壤的MBC质量分数总体上呈前期下降快、后期下降慢,DOC质量分数呈先上升后下降;20℃下,不同森林土壤MBC和DOC质量分数均呈相对缓慢下降;30℃下,不同森林土壤MBC质量分数先上升后下降,DOC质量分数前期下降快、后期下降慢的趋势。同一森林土壤在不同温度条件下,土壤MBC质量分数大小顺序为30℃ > 20℃ > 10℃,土壤DOC质量分数则表现为10℃ > 20℃ > 30℃。培养56 d后,常绿阔叶林、针阔混交林土壤的MBC和DOC质量分数的下降幅度高于杉木林、柳杉林。柳杉林和常绿阔叶林SOC和DOC质量分数显著高于杉木林(P< 0.05),在较高温度条件下培养的土壤DOC质量分数较低,而MBC质量分数则较高。
2018, 35(2): 252-260.
doi:10.11833/j.issn.2095-0756.2018.02.008
摘要:
设置3个菌渣(F)施用量(0,50%,100%)和3个化肥(C)施用量(0,50%,100%)共9个处理,采用长期定位试验方法(2010-2016年),研究长期菌渣化肥配施对稻田土壤活性有机碳组分和土壤基本肥力要素变化的影响以及两者的相关性。结果表明:相比单施化肥,菌渣化肥配施显著提高土壤碳库管理指数(CPMI),3种土壤活性有机碳(LOC1,LOC2,LOC3,指分别以33,167,333 mmol·L-1高锰酸钾氧化有机碳)及其有效度,增幅分别为45.09%,41.77%~53.55%和11.69%~33.55%(P< 0.05),其中C100F100的提高效果最好,CPMI值为204.95,3种土壤活性有机碳质量分数分别为1.73,3.41和4.37 g·kg-1,相应的有效度分别为14.53%,28.56%和43.03%;相比单施化肥,菌渣化肥配施处理还显著提高了土壤全氮、碱解氮和有效磷,增幅分别达21.11%,19.39%和31.83%。3种土壤活性有机碳都比土壤有机碳与土壤全氮、碱解氮、有效磷、速效钾的相关性强,LOC1和LOC2比LOC3在反映土壤肥力变化上更敏感(P< 0.01)。LOC1的变化最为敏感,可以用于反映土壤肥力的微小变化;土壤活性有机碳组分主要决定于菌渣的施用,而化肥则是主要养分提供者,菌渣与化肥交互作用的结果影响土壤肥力的变化状况,适宜的菌渣-化配合施用量有利于土壤培肥和保障水稻Oryza sativa产量,以C50F50处理为最佳。
设置3个菌渣(F)施用量(0,50%,100%)和3个化肥(C)施用量(0,50%,100%)共9个处理,采用长期定位试验方法(2010-2016年),研究长期菌渣化肥配施对稻田土壤活性有机碳组分和土壤基本肥力要素变化的影响以及两者的相关性。结果表明:相比单施化肥,菌渣化肥配施显著提高土壤碳库管理指数(CPMI),3种土壤活性有机碳(LOC1,LOC2,LOC3,指分别以33,167,333 mmol·L-1高锰酸钾氧化有机碳)及其有效度,增幅分别为45.09%,41.77%~53.55%和11.69%~33.55%(P< 0.05),其中C100F100的提高效果最好,CPMI值为204.95,3种土壤活性有机碳质量分数分别为1.73,3.41和4.37 g·kg-1,相应的有效度分别为14.53%,28.56%和43.03%;相比单施化肥,菌渣化肥配施处理还显著提高了土壤全氮、碱解氮和有效磷,增幅分别达21.11%,19.39%和31.83%。3种土壤活性有机碳都比土壤有机碳与土壤全氮、碱解氮、有效磷、速效钾的相关性强,LOC1和LOC2比LOC3在反映土壤肥力变化上更敏感(P< 0.01)。LOC1的变化最为敏感,可以用于反映土壤肥力的微小变化;土壤活性有机碳组分主要决定于菌渣的施用,而化肥则是主要养分提供者,菌渣与化肥交互作用的结果影响土壤肥力的变化状况,适宜的菌渣-化配合施用量有利于土壤培肥和保障水稻Oryza sativa产量,以C50F50处理为最佳。
2018, 35(2): 261-267.
doi:10.11833/j.issn.2095-0756.2018.02.009
摘要:
为促进绿化废弃物和牛粪的资源化利用,采用赤子爱胜蚯蚓Eisenia fetida对绿化废弃物和牛粪的混合物进行好氧-蚯蚓结合堆肥处理。在绿化废弃物好氧堆肥60 d后,按0(T1),2%(T2),4%(T3),6%(T4),8%(T5),10%(T6)的质量分数在绿化废弃物中添加牛粪,并加入蚯蚓,继续蚯蚓堆肥60 d,以无牛粪无蚯蚓的绿化废弃物堆肥作为对照(T0),最终将堆肥产品用作基质进行美丽竹芋Calathea veitchiana栽培试验。结果表明:蚯蚓堆肥处理(T1~T6)产品在营养元素含量和美丽竹芋生长量上显著高于对照(T0)。不同蚯蚓堆肥处理中,绿化废弃物与牛粪混合处理在蚯蚓存活率、蚯蚓生长和繁殖速度、纤维素和木质素降解率、堆肥产品营养元素含量及细菌、真菌和放线菌数量,以及美丽竹芋生长(株高、冠幅、叶片数、鲜质量)上均显著高于纯绿化废弃物处理(T1)。在绿化废弃物与牛粪混合处理(T2~T6)中,添加质量分数8%(T5)和10%(T6)牛粪的处理在蚯蚓生长量、繁殖率、产品质量指标和美丽竹芋生长指标上优于其他处理。可见,利用好氧堆肥-蚯蚓堆肥结合处理方式可以有效应用于绿化废弃物处理,其中以添加质量分数8%(T5)和10%(T6)牛粪的处理效果最佳。
为促进绿化废弃物和牛粪的资源化利用,采用赤子爱胜蚯蚓Eisenia fetida对绿化废弃物和牛粪的混合物进行好氧-蚯蚓结合堆肥处理。在绿化废弃物好氧堆肥60 d后,按0(T1),2%(T2),4%(T3),6%(T4),8%(T5),10%(T6)的质量分数在绿化废弃物中添加牛粪,并加入蚯蚓,继续蚯蚓堆肥60 d,以无牛粪无蚯蚓的绿化废弃物堆肥作为对照(T0),最终将堆肥产品用作基质进行美丽竹芋Calathea veitchiana栽培试验。结果表明:蚯蚓堆肥处理(T1~T6)产品在营养元素含量和美丽竹芋生长量上显著高于对照(T0)。不同蚯蚓堆肥处理中,绿化废弃物与牛粪混合处理在蚯蚓存活率、蚯蚓生长和繁殖速度、纤维素和木质素降解率、堆肥产品营养元素含量及细菌、真菌和放线菌数量,以及美丽竹芋生长(株高、冠幅、叶片数、鲜质量)上均显著高于纯绿化废弃物处理(T1)。在绿化废弃物与牛粪混合处理(T2~T6)中,添加质量分数8%(T5)和10%(T6)牛粪的处理在蚯蚓生长量、繁殖率、产品质量指标和美丽竹芋生长指标上优于其他处理。可见,利用好氧堆肥-蚯蚓堆肥结合处理方式可以有效应用于绿化废弃物处理,其中以添加质量分数8%(T5)和10%(T6)牛粪的处理效果最佳。
2018, 35(2): 268-276.
doi:10.11833/j.issn.2095-0756.2018.02.010
摘要:
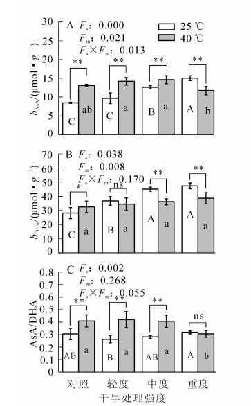
为了探讨毛竹Phyllostachys edulis对高温干旱及协同胁迫的响应,采用人工模拟干旱(对照、轻度、中度和重度干旱),高温(对照25℃和高温40℃)及协同胁迫处理毛竹3年生盆栽苗,分别测定叶片活性氧(ROS),丙二醛(MDA),抗坏血酸(AsA)和谷胱甘肽(GSH)质量摩尔浓度,同时测定抗氧化防御酶和抗坏血酸-谷胱甘肽(AsA-GSH)循环酶活性的变化。结果表明:干旱胁迫下,毛竹叶片超氧阴离子(O2·-)和过氧化氢(H2O2)质量摩尔浓度显著增加(P< 0.05),抗氧化酶活性及ρGSH/ρGSSG(GSSG为氧化型谷胱甘肽)比值均随干旱处理程度的增加而升高,其中超氧化物歧化酶(SOD),过氧化物酶(POD)活性和ρGSH/ρGSSG在中度干旱胁迫时较对照分别增加了1.7倍、1.7倍和0.6倍(P< 0.01)。高温胁迫下,MDA较对照增加1.4倍(P< 0.01);SOD,POD,过氧化氢酶(CAT)活性和ρAsA/ρDHA(DHA为二十二碳六烯酸)均极显著升高(P< 0.01)。协同胁迫下,ROS进一步增加,膜脂过氧化程度增强,同时CAT活性的稳定性最强,活性随协同胁迫程度的增加稳步增加,ρAsA/ρDHA降低,而ρGSH/ρGSSG值变化不大,GSH循环对抵抗协同胁迫比AsA循环表现出更强的耐性。在高温干旱及协同胁迫下,毛竹幼苗可以通过调节抗氧化酶系统和非酶系统AsA-GSH循环协同作用来清除氧化物质,提高抗旱胁迫能力。
为了探讨毛竹Phyllostachys edulis对高温干旱及协同胁迫的响应,采用人工模拟干旱(对照、轻度、中度和重度干旱),高温(对照25℃和高温40℃)及协同胁迫处理毛竹3年生盆栽苗,分别测定叶片活性氧(ROS),丙二醛(MDA),抗坏血酸(AsA)和谷胱甘肽(GSH)质量摩尔浓度,同时测定抗氧化防御酶和抗坏血酸-谷胱甘肽(AsA-GSH)循环酶活性的变化。结果表明:干旱胁迫下,毛竹叶片超氧阴离子(O2·-)和过氧化氢(H2O2)质量摩尔浓度显著增加(P< 0.05),抗氧化酶活性及ρGSH/ρGSSG(GSSG为氧化型谷胱甘肽)比值均随干旱处理程度的增加而升高,其中超氧化物歧化酶(SOD),过氧化物酶(POD)活性和ρGSH/ρGSSG在中度干旱胁迫时较对照分别增加了1.7倍、1.7倍和0.6倍(P< 0.01)。高温胁迫下,MDA较对照增加1.4倍(P< 0.01);SOD,POD,过氧化氢酶(CAT)活性和ρAsA/ρDHA(DHA为二十二碳六烯酸)均极显著升高(P< 0.01)。协同胁迫下,ROS进一步增加,膜脂过氧化程度增强,同时CAT活性的稳定性最强,活性随协同胁迫程度的增加稳步增加,ρAsA/ρDHA降低,而ρGSH/ρGSSG值变化不大,GSH循环对抵抗协同胁迫比AsA循环表现出更强的耐性。在高温干旱及协同胁迫下,毛竹幼苗可以通过调节抗氧化酶系统和非酶系统AsA-GSH循环协同作用来清除氧化物质,提高抗旱胁迫能力。
2018, 35(2): 277-283.
doi:10.11833/j.issn.2095-0756.2018.02.011
摘要:
毛竹Phyllostachys edulis新竹会在极短时间内完成其整个成竹生长,这个过程被称为快速生长期。为揭示毛竹新竹在快速生长期间从竹笋成长为幼竹这一过程中不同竹龄母竹对新竹的营养传输流向以及自然状态下毛竹气体交换参数的日变化特征,利用Li-6400XT光合仪,分别对3年生和5年生毛竹在快速生长期间叶片的气体交换参数进行测定。结果表明:①快速生长前期,3年生毛竹的光饱和点(LSP)高于5年生毛竹,而在中期和后期5年生毛竹的LSP高于3年生毛竹;②3年生毛竹的净光合速率(Pn)在不同生长时期之间差异不显著(P> 0.05),5年生毛竹的净光合速率在快速生长前期显著低于中期和后期(P< 0.05)。净光合速率与竹龄(P< 0.01,r=0.132)和生长时期(P< 0.01,r=0.164)的相关性极显著;③蒸腾速率(Tr)与净光合速率极显著相关(P< 0.01,r=0.688),与生长时期极显著相关(P< 0.01,r=0.201),而与竹龄的相关性则不显著(P> 0.05);④水分利用效率(EWUE)总体表现为上午高于下午(P< 0.01),快速生长中期显著高于前期和后期(P< 0.01),5年生毛竹高于3年生毛竹(P< 0.05)。研究表明:成竹通过竹鞭向新竹输送养分和水分的这个过程在快速生长中期最为剧烈。5年生毛竹是对新竹的营养传输的源头,也是新竹快速生长最主要的养分来源。
毛竹Phyllostachys edulis新竹会在极短时间内完成其整个成竹生长,这个过程被称为快速生长期。为揭示毛竹新竹在快速生长期间从竹笋成长为幼竹这一过程中不同竹龄母竹对新竹的营养传输流向以及自然状态下毛竹气体交换参数的日变化特征,利用Li-6400XT光合仪,分别对3年生和5年生毛竹在快速生长期间叶片的气体交换参数进行测定。结果表明:①快速生长前期,3年生毛竹的光饱和点(LSP)高于5年生毛竹,而在中期和后期5年生毛竹的LSP高于3年生毛竹;②3年生毛竹的净光合速率(Pn)在不同生长时期之间差异不显著(P> 0.05),5年生毛竹的净光合速率在快速生长前期显著低于中期和后期(P< 0.05)。净光合速率与竹龄(P< 0.01,r=0.132)和生长时期(P< 0.01,r=0.164)的相关性极显著;③蒸腾速率(Tr)与净光合速率极显著相关(P< 0.01,r=0.688),与生长时期极显著相关(P< 0.01,r=0.201),而与竹龄的相关性则不显著(P> 0.05);④水分利用效率(EWUE)总体表现为上午高于下午(P< 0.01),快速生长中期显著高于前期和后期(P< 0.01),5年生毛竹高于3年生毛竹(P< 0.05)。研究表明:成竹通过竹鞭向新竹输送养分和水分的这个过程在快速生长中期最为剧烈。5年生毛竹是对新竹的营养传输的源头,也是新竹快速生长最主要的养分来源。
2018, 35(2): 284-290.
doi:10.11833/j.issn.2095-0756.2018.02.012
摘要:
为探究热锻炼对杜鹃花Rhododendron耐热性的影响及作用机制,对经30℃热锻炼的杜鹃花品种‘状元红’Rhododendron‘Zhuangyuan Hong’在不同热胁迫下(38℃,42℃)的叶片解剖结构、光合作用及生理生化特征变化进行分析。结果显示:在热胁迫下,经过热锻炼的叶片与未经热锻炼的叶片相比,解剖结构受损较轻,能保持较高的栅海比和结构紧密度(RCT);净光合速率(Pn)得到了提高,胞间二氧化碳摩尔分数(Ci)降低;过氧化氢(H2O2)及丙二醛(MDA)质量摩尔浓度均减少,渗透调节物质质量分数均减少;超氧化物歧化酶(SOD)活性降低,而过氧化物酶(POD)及过氧化氢酶(CAT)活性在38℃高温下均降低,在42℃高温下均增高。试验表明,热锻炼处理能较好地保持叶片结构的稳定,并能提高叶片光合速率,同时减轻细胞受损程度,一定程度上提高了杜鹃花品种‘状元红’植株的耐热性。
为探究热锻炼对杜鹃花Rhododendron耐热性的影响及作用机制,对经30℃热锻炼的杜鹃花品种‘状元红’Rhododendron‘Zhuangyuan Hong’在不同热胁迫下(38℃,42℃)的叶片解剖结构、光合作用及生理生化特征变化进行分析。结果显示:在热胁迫下,经过热锻炼的叶片与未经热锻炼的叶片相比,解剖结构受损较轻,能保持较高的栅海比和结构紧密度(RCT);净光合速率(Pn)得到了提高,胞间二氧化碳摩尔分数(Ci)降低;过氧化氢(H2O2)及丙二醛(MDA)质量摩尔浓度均减少,渗透调节物质质量分数均减少;超氧化物歧化酶(SOD)活性降低,而过氧化物酶(POD)及过氧化氢酶(CAT)活性在38℃高温下均降低,在42℃高温下均增高。试验表明,热锻炼处理能较好地保持叶片结构的稳定,并能提高叶片光合速率,同时减轻细胞受损程度,一定程度上提高了杜鹃花品种‘状元红’植株的耐热性。
2018, 35(2): 291-297.
doi:10.11833/j.issn.2095-0756.2018.02.013
摘要:
盐胁迫是果树生长发育所面临的主要危机之一。为探讨外源褪黑素对缓解美味猕猴桃Actinidia deliciosa盐胁迫的生理机制,对根灌褪黑素后的美味猕猴桃实生苗进行盐胁迫处理。通过测定对照(ck),氯化钠胁迫(S1),褪黑素预处理和氯化钠胁迫(S2)下的美味猕猴桃实生苗叶片保护酶(超氧化物歧化酶、过氧化物酶、过氧化氢酶)活性、抗坏血酸及渗透调节物质的变化,分析外源褪黑素提高植物耐盐性的生理机理。结果表明:与对照(ck)相比,氯化钠胁迫处理后,美味猕猴桃实生苗叶片中丙二醛、脯氨酸、保护酶活性先升高再下降,抗坏血酸和可溶性蛋白质先下降再升高,过氧化氢和可溶性糖显著上升;而根灌褪黑素可有效缓解美味猕猴桃实生苗膜脂过氧化程度,降低丙二醛和过氧化氢,最多时分别降低102.45%和44.35%。同时,可显著增加脯氨酸、可溶性糖、可溶性蛋白质和抗坏血酸,并提高保护酶活性。外源褪黑素可以通过提高抗氧化物酶活性和渗透调节物质含量有效减缓氯化钠盐胁迫的危害,提高美味猕猴桃的耐盐性。
盐胁迫是果树生长发育所面临的主要危机之一。为探讨外源褪黑素对缓解美味猕猴桃Actinidia deliciosa盐胁迫的生理机制,对根灌褪黑素后的美味猕猴桃实生苗进行盐胁迫处理。通过测定对照(ck),氯化钠胁迫(S1),褪黑素预处理和氯化钠胁迫(S2)下的美味猕猴桃实生苗叶片保护酶(超氧化物歧化酶、过氧化物酶、过氧化氢酶)活性、抗坏血酸及渗透调节物质的变化,分析外源褪黑素提高植物耐盐性的生理机理。结果表明:与对照(ck)相比,氯化钠胁迫处理后,美味猕猴桃实生苗叶片中丙二醛、脯氨酸、保护酶活性先升高再下降,抗坏血酸和可溶性蛋白质先下降再升高,过氧化氢和可溶性糖显著上升;而根灌褪黑素可有效缓解美味猕猴桃实生苗膜脂过氧化程度,降低丙二醛和过氧化氢,最多时分别降低102.45%和44.35%。同时,可显著增加脯氨酸、可溶性糖、可溶性蛋白质和抗坏血酸,并提高保护酶活性。外源褪黑素可以通过提高抗氧化物酶活性和渗透调节物质含量有效减缓氯化钠盐胁迫的危害,提高美味猕猴桃的耐盐性。
2018, 35(2): 298-305.
doi:10.11833/j.issn.2095-0756.2018.02.014
摘要:
拟南芥Arabidopsis thaliana中J3基因参与花期的调节,调控开花时间。为了探究竹类植物中J3基因的功能,根据植物中J同源基因的高度保守性,采用同源克隆技术从雷竹Phyllostachys vilascens中克隆出1个J3基因,命名为PvJ3。该基因的开放阅读框(ORF)区长为1 260 bp,编码419个氨基酸。通过同源比对和系统进化树分析,可知雷竹PvJ3蛋白和其他物种中J3同源蛋白的氨基酸序列同源性很高。通过实时定量聚合酶链式反应(qRT-PCR),发现PvJ3基因在同一竹鞭的笋、花芽、花,开花与不开花雷竹的茎秆、成叶、幼叶中都有表达,且开花雷竹茎秆中表达量最高,表明PvJ3基因在雷竹各组织部位都有表达。亚细胞定位分析结果显示,PvJ3蛋白定位在细胞质和细胞核。通过转化拟南芥对其功能进行了初步分析,表型统计结果显示,PvJ3转基因拟南芥与野生型相比,开花时间明显提早,而且出现多主茎现象,表明PvJ3可以促使植物提前开花并且参与植物茎秆的发育。
拟南芥Arabidopsis thaliana中J3基因参与花期的调节,调控开花时间。为了探究竹类植物中J3基因的功能,根据植物中J同源基因的高度保守性,采用同源克隆技术从雷竹Phyllostachys vilascens中克隆出1个J3基因,命名为PvJ3。该基因的开放阅读框(ORF)区长为1 260 bp,编码419个氨基酸。通过同源比对和系统进化树分析,可知雷竹PvJ3蛋白和其他物种中J3同源蛋白的氨基酸序列同源性很高。通过实时定量聚合酶链式反应(qRT-PCR),发现PvJ3基因在同一竹鞭的笋、花芽、花,开花与不开花雷竹的茎秆、成叶、幼叶中都有表达,且开花雷竹茎秆中表达量最高,表明PvJ3基因在雷竹各组织部位都有表达。亚细胞定位分析结果显示,PvJ3蛋白定位在细胞质和细胞核。通过转化拟南芥对其功能进行了初步分析,表型统计结果显示,PvJ3转基因拟南芥与野生型相比,开花时间明显提早,而且出现多主茎现象,表明PvJ3可以促使植物提前开花并且参与植物茎秆的发育。
2018, 35(2): 306-313.
doi:10.11833/j.issn.2095-0756.2018.02.015
摘要:
利用L16(45)正交实验设计,针对模板DNA,镁离子(Mg2+),dNTPs,TaqDNA酶和引物5个因素进行正交优化,建立适用于桂花Osmanthus fragrans表达序列标签-简单重复序列(EST-SSR)的最优扩增反应体系,将其用于桂花转录组EST-SSR多态性引物的筛选,最后利用筛选得到的多态性引物和聚类分析对14份四川省常见的栽培丹桂(SC01~SC14)样本进行品种鉴定。结果表明:桂花EST-SSR最优反应体系包含40 ng模板DNA,2.25 mmol·L-1Mg2+,0.3 μmol·L-1引物,0.3 mmol·L-1dNTPs,1.25×16.67 nkatTaqDNA聚合酶,10×PCR Buffer缓冲液2 μL,双蒸水补至20 μL;从150对EST-SSR引物中筛选得到了19对稳定性好、多态性高的SSR引物,多态性从高到低依次为五核苷酸(25.00%),六核苷酸(19.44%)和三核苷酸(16.67%)重复类型。利用筛选得到的3对高度多态性SSR引物(OF8623-1677,OF24299-844和OF28774-2088)对四川省成都市周边常见栽培的14份丹桂(Aurantiacus group)样本进行了有效鉴定。结果表明:14份样本中,有12份可判定为‘朱砂丹桂’‘Zhusha Dangui’,SC06为‘堰红桂’‘Yanhong Gui’,SC08与‘满条红’‘Mantiao Hong’和‘状元红’‘Zhuangyuan Hong’亲缘关系较近。本研究也为今后利用EST-SSR标记对桂花指纹图谱构建、遗传多样性分析、分子育种及品种鉴定与保护等工作奠定基础。
利用L16(45)正交实验设计,针对模板DNA,镁离子(Mg2+),dNTPs,TaqDNA酶和引物5个因素进行正交优化,建立适用于桂花Osmanthus fragrans表达序列标签-简单重复序列(EST-SSR)的最优扩增反应体系,将其用于桂花转录组EST-SSR多态性引物的筛选,最后利用筛选得到的多态性引物和聚类分析对14份四川省常见的栽培丹桂(SC01~SC14)样本进行品种鉴定。结果表明:桂花EST-SSR最优反应体系包含40 ng模板DNA,2.25 mmol·L-1Mg2+,0.3 μmol·L-1引物,0.3 mmol·L-1dNTPs,1.25×16.67 nkatTaqDNA聚合酶,10×PCR Buffer缓冲液2 μL,双蒸水补至20 μL;从150对EST-SSR引物中筛选得到了19对稳定性好、多态性高的SSR引物,多态性从高到低依次为五核苷酸(25.00%),六核苷酸(19.44%)和三核苷酸(16.67%)重复类型。利用筛选得到的3对高度多态性SSR引物(OF8623-1677,OF24299-844和OF28774-2088)对四川省成都市周边常见栽培的14份丹桂(Aurantiacus group)样本进行了有效鉴定。结果表明:14份样本中,有12份可判定为‘朱砂丹桂’‘Zhusha Dangui’,SC06为‘堰红桂’‘Yanhong Gui’,SC08与‘满条红’‘Mantiao Hong’和‘状元红’‘Zhuangyuan Hong’亲缘关系较近。本研究也为今后利用EST-SSR标记对桂花指纹图谱构建、遗传多样性分析、分子育种及品种鉴定与保护等工作奠定基础。
2018, 35(2): 314-323.
doi:10.11833/j.issn.2095-0756.2018.02.016
摘要:
训练样本的选取是影响监督分类精度的直接原因之一,数据空间分辨率越高,训练样本要求越准确,而人机交互训练样本选取推广力有限。利用机载高光谱(AISA)和激光雷达(LiDAR)主被动遥感数据,探讨基于高分辨率影像的训练样本自动提取技术以及适合树种识别的遥感变量。根据树木的结构和高度差异,开展树高分层掩膜试验,并计算光谱间夹角,在每个高度层中自动化优选树种的高纯度训练样本。计算植被指数、主成分分析等特征变量,基于支持向量机分类器对研究区进行树种精细分类。实验表明:通过对阔叶林、马尾松Pinus massoniana,毛竹Phyllostachys edulis,杉木Cunninghamia lanceolata,油茶Camellia oleifera的训练样本分层自动提取后再进行分类,激光雷达和不敏感色素指数变量能有效提高树种分类精度。其中高光谱+激光雷达+结构不敏感色素指数变量组合的分类精度最高,其总体精度和Kappa系数分别为89.12%和0.86,阔叶林、马尾松、毛竹、杉木、油茶的用户精度分别为75.00%,100.00%,86.36%,90.91%和96.55%。该方法对本研究区森林树种的识别是有效的。
训练样本的选取是影响监督分类精度的直接原因之一,数据空间分辨率越高,训练样本要求越准确,而人机交互训练样本选取推广力有限。利用机载高光谱(AISA)和激光雷达(LiDAR)主被动遥感数据,探讨基于高分辨率影像的训练样本自动提取技术以及适合树种识别的遥感变量。根据树木的结构和高度差异,开展树高分层掩膜试验,并计算光谱间夹角,在每个高度层中自动化优选树种的高纯度训练样本。计算植被指数、主成分分析等特征变量,基于支持向量机分类器对研究区进行树种精细分类。实验表明:通过对阔叶林、马尾松Pinus massoniana,毛竹Phyllostachys edulis,杉木Cunninghamia lanceolata,油茶Camellia oleifera的训练样本分层自动提取后再进行分类,激光雷达和不敏感色素指数变量能有效提高树种分类精度。其中高光谱+激光雷达+结构不敏感色素指数变量组合的分类精度最高,其总体精度和Kappa系数分别为89.12%和0.86,阔叶林、马尾松、毛竹、杉木、油茶的用户精度分别为75.00%,100.00%,86.36%,90.91%和96.55%。该方法对本研究区森林树种的识别是有效的。
2018, 35(2): 324-330.
doi:10.11833/j.issn.2095-0756.2018.02.017
摘要:
樟子松Pinus sylvestrisvar.mongolica引种至沙地,经过60多年的生长已经到了生命周期的末期。及时总结第1代沙地樟子松的生长过程,可以更好地为沙地樟子松的推广、更新、经营管理提供理论依据。选择引种地辽宁章古台不同立地条件下30 a以上樟子松人工林标准地(11块)的平均木作为解析木(11株),求解Richards模型的参数并检验模型的拟合性,运用建立的Richards模型求解沙地樟子松的各种特征值,从而揭示沙地樟子松的生长进程。结果表明:①樟子松的生长能够用Richards模型很好地模拟,残差符合正态分布,显著性均大于0.05。模型的参数值分别为树高:14.179,0.084,2.803;胸径:19.379,0.075,1.712;材积:0.296,0.062,5.926。②引种到章古台沙地的第1代樟子松,树高在第12.3年连年生长量达到最大值0.54 m·a-1,第21.4年平均生长量达到最大值0.39 m·a-1;胸径平均在6.6 a后开始生长,第14.0年连年生长量达到最大值0.77 cm·a-1,第26.0年时平均生长量达到最大值0.47 cm·a-1;材积生长在12.0 a之前生长缓慢,第29.0年其连年生长量达到最高值0.007 4 m3·a-1,平均生长量在第47.0年达到最大(即林木数量成熟年龄),最大平均生长量达0.004 5 m3·a-1。樟子松引种到章古台后,生长进程加快,生命周期缩短,成熟期提前。
樟子松Pinus sylvestrisvar.mongolica引种至沙地,经过60多年的生长已经到了生命周期的末期。及时总结第1代沙地樟子松的生长过程,可以更好地为沙地樟子松的推广、更新、经营管理提供理论依据。选择引种地辽宁章古台不同立地条件下30 a以上樟子松人工林标准地(11块)的平均木作为解析木(11株),求解Richards模型的参数并检验模型的拟合性,运用建立的Richards模型求解沙地樟子松的各种特征值,从而揭示沙地樟子松的生长进程。结果表明:①樟子松的生长能够用Richards模型很好地模拟,残差符合正态分布,显著性均大于0.05。模型的参数值分别为树高:14.179,0.084,2.803;胸径:19.379,0.075,1.712;材积:0.296,0.062,5.926。②引种到章古台沙地的第1代樟子松,树高在第12.3年连年生长量达到最大值0.54 m·a-1,第21.4年平均生长量达到最大值0.39 m·a-1;胸径平均在6.6 a后开始生长,第14.0年连年生长量达到最大值0.77 cm·a-1,第26.0年时平均生长量达到最大值0.47 cm·a-1;材积生长在12.0 a之前生长缓慢,第29.0年其连年生长量达到最高值0.007 4 m3·a-1,平均生长量在第47.0年达到最大(即林木数量成熟年龄),最大平均生长量达0.004 5 m3·a-1。樟子松引种到章古台后,生长进程加快,生命周期缩短,成熟期提前。
2018, 35(2): 331-339.
doi:10.11833/j.issn.2095-0756.2018.02.018
摘要:
为了解半干旱区宜林荒山合理利用方式,于2016年7月和8月对兴和县低山丘陵造林地进行立地类型划分与林草适宜性评价。通过对38个样地的油松Pinus tabulaeformis树高和草本植物地上部分生物量进行多元线性回归分析,结果表明:影响油松生长的主导因子包括土壤厚度和平均土壤含水率,影响草本生物量的主导因子包括表土含水率、表土全氮质量分数、表土全磷质量分数和土壤砾石含量。通过单因素方差分析,选取和验证了地貌、地形、坡向、土壤质地、土层厚度、砾石含量作为立地划分因子,最终将研究区荒山荒坡造林地划分出8种立地类型。林草适宜性评价结果表明:第1级的立地同时适宜油松和草本植物的生长;第2级的立地较适宜油松生长,但不适宜草本植物生长;第3级的立地较为适宜草本植物生长,油松生长状况略差;第4级的立地不适宜油松生长,但草本植物生长稍好。根据各立地类型情况提出相应的林草措施建议。
为了解半干旱区宜林荒山合理利用方式,于2016年7月和8月对兴和县低山丘陵造林地进行立地类型划分与林草适宜性评价。通过对38个样地的油松Pinus tabulaeformis树高和草本植物地上部分生物量进行多元线性回归分析,结果表明:影响油松生长的主导因子包括土壤厚度和平均土壤含水率,影响草本生物量的主导因子包括表土含水率、表土全氮质量分数、表土全磷质量分数和土壤砾石含量。通过单因素方差分析,选取和验证了地貌、地形、坡向、土壤质地、土层厚度、砾石含量作为立地划分因子,最终将研究区荒山荒坡造林地划分出8种立地类型。林草适宜性评价结果表明:第1级的立地同时适宜油松和草本植物的生长;第2级的立地较适宜油松生长,但不适宜草本植物生长;第3级的立地较为适宜草本植物生长,油松生长状况略差;第4级的立地不适宜油松生长,但草本植物生长稍好。根据各立地类型情况提出相应的林草措施建议。
2018, 35(2): 340-346.
doi:10.11833/j.issn.2095-0756.2018.02.019
摘要:
为扩大城市树木保护的范围,促使城市居民更理性地了解和欣赏树木,更好地关爱和保护树木,积极参与及推进城市森林建设,以安徽省合肥市主城区为研究范围,以历史见证和社会文化为定性指标,以树龄及活力、树木体量、树种、立地位置、美学价值等5个一级定量指标和树高、胸径、冠幅、色彩等12个二级定量指标构建城市森林显著树评定指标体系,以及综合量化评分的显著树认定方法,将城市森林显著树定义为城市中体量大、树型优美、位置重要、种类珍稀,视觉上醒目、突出,且备受公众关注、喜爱,或具有较高历史文化内涵和美学价值的树木。在此基础上运用该认定方法,认定合肥市主城区显著树共23种112株,隶属18科23属,是挂牌古树数量的5倍多,认定的显著树在树种分布、年龄结构、胸径、空间分布、常绿落叶比等方面存在一定的差异。此方法是对古树名木的有效补充,为维护城市生态平衡和生物多样性,扩大对城市中树木个体资源的宣传保护和研究提供了新的思路与建议。
为扩大城市树木保护的范围,促使城市居民更理性地了解和欣赏树木,更好地关爱和保护树木,积极参与及推进城市森林建设,以安徽省合肥市主城区为研究范围,以历史见证和社会文化为定性指标,以树龄及活力、树木体量、树种、立地位置、美学价值等5个一级定量指标和树高、胸径、冠幅、色彩等12个二级定量指标构建城市森林显著树评定指标体系,以及综合量化评分的显著树认定方法,将城市森林显著树定义为城市中体量大、树型优美、位置重要、种类珍稀,视觉上醒目、突出,且备受公众关注、喜爱,或具有较高历史文化内涵和美学价值的树木。在此基础上运用该认定方法,认定合肥市主城区显著树共23种112株,隶属18科23属,是挂牌古树数量的5倍多,认定的显著树在树种分布、年龄结构、胸径、空间分布、常绿落叶比等方面存在一定的差异。此方法是对古树名木的有效补充,为维护城市生态平衡和生物多样性,扩大对城市中树木个体资源的宣传保护和研究提供了新的思路与建议。
2018, 35(2): 347-354.
doi:10.11833/j.issn.2095-0756.2018.02.020
摘要:
为探寻食物组分差异对小型鸟类生理生化指标和消化道的影响,了解小型鸟类如何通过自我调节以应对不良环境条件变化的生存策略。将树麻雀Passer montanus按体质量随机分为对照组(饲喂小米Setaria italica),稗草籽组(饲喂稗草Echinochloa crusgalli籽),黄粉虫组(饲喂黄粉虫Tenebrio molitor),8只·组-1,进行驯化,4周后通过烘干恒质量法、索氏抽提法、硫酸-蒽酮法、石蜡切片法等方法,测定其基础代谢率(basal metabolic rate,BMR)、体质量、器官鲜质量和干质量、体脂质量分数、糖原质量分数和消化道长度,消化道绒毛高度、宽度、黏膜层厚度及肠壁截面积等指标的变化。结果表明:饲喂4周后,3组树麻雀基础代谢率与第1周相比分别增加0.14,0.35和0.11 mL·g-1·h-1,稗草籽组与对照组和黄粉虫组差异显著(P< 0.05),对照组与黄粉虫组差异不显著(P> 0.05);体质量组间差异均极显著(P< 0.01);黄粉虫组大肠、小肠、十二指肠、直肠、肌胃的鲜质量极显著高于稗草籽组和对照组(P< 0.01),黄粉虫组十二指肠、肌胃的干质量极显著高于稗草籽组和对照组(P< 0.01),对照组大肠、直肠的干质量极显著高于稗草籽组和黄粉虫组(P< 0.01);稗草籽组和黄粉虫组的消化能、消化率与对照组间的差异极显著(P< 0.01);3组树麻雀大肠、小肠、十二指肠长度组间差异均极显著(P< 0.01),稗草籽组、黄粉虫组大肠绒毛高度与对照组间的差异均极显著(P< 0.01),对照组、稗草籽组的小肠和十二指肠绒毛高度、黏膜层厚度与黄粉虫组间的差异均极显著(P< 0.01)。表明食物组分差异是影响树麻雀能量代谢和消化道形态改变的重要环境因子之一。
为探寻食物组分差异对小型鸟类生理生化指标和消化道的影响,了解小型鸟类如何通过自我调节以应对不良环境条件变化的生存策略。将树麻雀Passer montanus按体质量随机分为对照组(饲喂小米Setaria italica),稗草籽组(饲喂稗草Echinochloa crusgalli籽),黄粉虫组(饲喂黄粉虫Tenebrio molitor),8只·组-1,进行驯化,4周后通过烘干恒质量法、索氏抽提法、硫酸-蒽酮法、石蜡切片法等方法,测定其基础代谢率(basal metabolic rate,BMR)、体质量、器官鲜质量和干质量、体脂质量分数、糖原质量分数和消化道长度,消化道绒毛高度、宽度、黏膜层厚度及肠壁截面积等指标的变化。结果表明:饲喂4周后,3组树麻雀基础代谢率与第1周相比分别增加0.14,0.35和0.11 mL·g-1·h-1,稗草籽组与对照组和黄粉虫组差异显著(P< 0.05),对照组与黄粉虫组差异不显著(P> 0.05);体质量组间差异均极显著(P< 0.01);黄粉虫组大肠、小肠、十二指肠、直肠、肌胃的鲜质量极显著高于稗草籽组和对照组(P< 0.01),黄粉虫组十二指肠、肌胃的干质量极显著高于稗草籽组和对照组(P< 0.01),对照组大肠、直肠的干质量极显著高于稗草籽组和黄粉虫组(P< 0.01);稗草籽组和黄粉虫组的消化能、消化率与对照组间的差异极显著(P< 0.01);3组树麻雀大肠、小肠、十二指肠长度组间差异均极显著(P< 0.01),稗草籽组、黄粉虫组大肠绒毛高度与对照组间的差异均极显著(P< 0.01),对照组、稗草籽组的小肠和十二指肠绒毛高度、黏膜层厚度与黄粉虫组间的差异均极显著(P< 0.01)。表明食物组分差异是影响树麻雀能量代谢和消化道形态改变的重要环境因子之一。
2018, 35(2): 355-360.
doi:10.11833/j.issn.2095-0756.2018.02.021
摘要:
利用纳米二氧化钛和纳米氧化锌作为改性剂改性红色紫外光固化(UV)油墨和黄色UV油墨,并使用改性后的UV油墨印刷杨木薄木,采用激光粒度仪、紫外可见分光光度计和色彩分析仪表征了改性UV油墨的物理性能和老化前后印刷薄木的颜色变化。结果表明:改性后的UV油墨粒径变化较小;纳米二氧化钛和纳米氧化锌均能提高UV油墨在紫外区的吸光度,随着添加量的增加而增强;采用适量的纳米二氧化钛或纳米氧化锌改性UV油墨能够改善印刷薄木的耐光变色性能,但纳米氧化锌改性UV油墨印刷薄木的耐光变色性能优于纳米二氧化钛。纳米氧化锌在红色UV油墨中添加的较优质量分数为1.5%,印刷薄木的色差(ΔE*)为0.41,比未改性红色UV油墨印刷薄木降低了78.1%;纳米氧化锌在黄色UV油墨中添加的较优质量分数为0.5%,印刷薄木的ΔE*为3.12,比未改性黄色UV油墨印刷薄木降低了66.9%。
利用纳米二氧化钛和纳米氧化锌作为改性剂改性红色紫外光固化(UV)油墨和黄色UV油墨,并使用改性后的UV油墨印刷杨木薄木,采用激光粒度仪、紫外可见分光光度计和色彩分析仪表征了改性UV油墨的物理性能和老化前后印刷薄木的颜色变化。结果表明:改性后的UV油墨粒径变化较小;纳米二氧化钛和纳米氧化锌均能提高UV油墨在紫外区的吸光度,随着添加量的增加而增强;采用适量的纳米二氧化钛或纳米氧化锌改性UV油墨能够改善印刷薄木的耐光变色性能,但纳米氧化锌改性UV油墨印刷薄木的耐光变色性能优于纳米二氧化钛。纳米氧化锌在红色UV油墨中添加的较优质量分数为1.5%,印刷薄木的色差(ΔE*)为0.41,比未改性红色UV油墨印刷薄木降低了78.1%;纳米氧化锌在黄色UV油墨中添加的较优质量分数为0.5%,印刷薄木的ΔE*为3.12,比未改性黄色UV油墨印刷薄木降低了66.9%。
2018, 35(2): 361-366.
doi:10.11833/j.issn.2095-0756.2018.02.022
摘要:
针对专门喷施生物农药的器械较少的现状,设计制造了风送离心式雾化装置,并通过改变风送离心雾化转盘的结构参数(外径、齿数、斜角)以及操作参数(流量、转速、风速)进行雾滴粒径、生物农药活性以及小菜蛾Plutella xylostella防治药效试验。得出的主要结论有:转盘外径越大,雾滴粒径越小;斜角度数越大,雾化粒径越小;齿数越多,雾滴粒径越小。由此推荐了针对不同环境下的作物,风送转盘式生物农药离心雾化喷头的最佳结构参数组合,转盘外径、转盘斜角、转盘齿数对于生物农药活性的影响都不大,满足病虫害防治要求。综合各因素,提出了风送转盘式生物农药离心雾化喷头操作参数的优化设置为:流量为40 L·h-1,转速为6 000 r·min-1,风速为5 m·s-1;从药效上看,各种结构参数和操作参数组合小菜蛾的死亡率都在90%以上,满足使用要求。
针对专门喷施生物农药的器械较少的现状,设计制造了风送离心式雾化装置,并通过改变风送离心雾化转盘的结构参数(外径、齿数、斜角)以及操作参数(流量、转速、风速)进行雾滴粒径、生物农药活性以及小菜蛾Plutella xylostella防治药效试验。得出的主要结论有:转盘外径越大,雾滴粒径越小;斜角度数越大,雾化粒径越小;齿数越多,雾滴粒径越小。由此推荐了针对不同环境下的作物,风送转盘式生物农药离心雾化喷头的最佳结构参数组合,转盘外径、转盘斜角、转盘齿数对于生物农药活性的影响都不大,满足病虫害防治要求。综合各因素,提出了风送转盘式生物农药离心雾化喷头操作参数的优化设置为:流量为40 L·h-1,转速为6 000 r·min-1,风速为5 m·s-1;从药效上看,各种结构参数和操作参数组合小菜蛾的死亡率都在90%以上,满足使用要求。
2018, 35(2): 367-375.
doi:10.11833/j.issn.2095-0756.2018.02.023
摘要:
丹参Salvia miltiorrhiza是中国的一种传统中草药,对心脑血管疾病的预防和治疗效果显著。由于丹参药用原材料需求量大,其品质越来越受到重视。丹参酮为丹参主要药效成分之一,如何利用最新研究成果进行创新以提高丹参药材的品质是当下研究的热点。论文围绕丹参酮生物合成相关基因和转录调控因子的克隆与功能研究、诱导子促进丹参酮代谢合成的分子机制等方面最新研究展开综述;同时总结了以往研究中存在的问题,并结合自身研究对研究前景进行分析后指出:为了从分子水平上全面阐明丹参酮生物合成的分子调控机制,后续研究应首先围绕丹参酮代谢合成关键调控因子可变剪接的挖掘与分子机制解析;其次是非编码核糖核酸(RNA)在丹参酮代谢合成过程中的调控作用研究;最后是丹参酮合成生物学的探索性研究。
丹参Salvia miltiorrhiza是中国的一种传统中草药,对心脑血管疾病的预防和治疗效果显著。由于丹参药用原材料需求量大,其品质越来越受到重视。丹参酮为丹参主要药效成分之一,如何利用最新研究成果进行创新以提高丹参药材的品质是当下研究的热点。论文围绕丹参酮生物合成相关基因和转录调控因子的克隆与功能研究、诱导子促进丹参酮代谢合成的分子机制等方面最新研究展开综述;同时总结了以往研究中存在的问题,并结合自身研究对研究前景进行分析后指出:为了从分子水平上全面阐明丹参酮生物合成的分子调控机制,后续研究应首先围绕丹参酮代谢合成关键调控因子可变剪接的挖掘与分子机制解析;其次是非编码核糖核酸(RNA)在丹参酮代谢合成过程中的调控作用研究;最后是丹参酮合成生物学的探索性研究。
2018, 35(2): 376-379.
doi:10.11833/j.issn.2095-0756.2018.02.024
摘要:
反卷积波束形成作为一种基于波束形成的噪声源识别方法已被广泛的运用,尤其在林业机械噪声源识别中。相比于传统波束形成,该方法可有效减小主瓣宽度并消除旁瓣,提高空间分辨率。概述了近年来国内外反卷积波束形成的研究进展,从旁瓣抑制能力、定位精度、计算效率方面对多种代表性方法进行对比分析,归纳总结其特点,讨论其局限性,为今后该方法的后续改进提供新的研究思路,以期获得更全面的反卷积波束形成算法,具有更优的适用性。
反卷积波束形成作为一种基于波束形成的噪声源识别方法已被广泛的运用,尤其在林业机械噪声源识别中。相比于传统波束形成,该方法可有效减小主瓣宽度并消除旁瓣,提高空间分辨率。概述了近年来国内外反卷积波束形成的研究进展,从旁瓣抑制能力、定位精度、计算效率方面对多种代表性方法进行对比分析,归纳总结其特点,讨论其局限性,为今后该方法的后续改进提供新的研究思路,以期获得更全面的反卷积波束形成算法,具有更优的适用性。
2018, 35(2): 380-386.
doi:10.11833/j.issn.2095-0756.2018.02.025
摘要:
为选育适合不同土壤条件栽植的小叶蚊母树Distylium buxifolium无性系,分别以红壤、黄壤、石灰性土和滨海盐土及4个无性系(D1,D7,D13,D19)的1年生苗木为材料,采用温室盆栽方法,测定苗高、地径、冠幅和新梢数量,研究了不同土壤对无性系苗木生长的影响。结果表明:红壤上生长的小叶蚊母树苗高、地径和冠幅生长量显著高于其他3种土壤(P< 0.05),而在滨海盐土上生长的小叶蚊母树新梢数量最多(P< 0.05)。无性系D19的苗高生长量达到5.7 cm,显著高于D7(P< 0.05),无性系D7的地径和冠幅生长量分别为0.74 cm和9.88 cm,显著高于其他无性系(P< 0.05),而无性系D13的新梢数量达56.40个,显著多于其他无性系(P< 0.05)。小叶蚊母树在不同土壤上的适宜程度为红壤>黄壤>石灰性土>滨海盐土,不同无性系生长的优劣排序为D7 > D13 > D1 > D19。在黄壤上栽植小叶蚊母树可选择D1和D19,在红壤上可选择D7,D13和D19,在石灰性土上可选择D7和D13,在滨海盐土上可选择D1和D7。
为选育适合不同土壤条件栽植的小叶蚊母树Distylium buxifolium无性系,分别以红壤、黄壤、石灰性土和滨海盐土及4个无性系(D1,D7,D13,D19)的1年生苗木为材料,采用温室盆栽方法,测定苗高、地径、冠幅和新梢数量,研究了不同土壤对无性系苗木生长的影响。结果表明:红壤上生长的小叶蚊母树苗高、地径和冠幅生长量显著高于其他3种土壤(P< 0.05),而在滨海盐土上生长的小叶蚊母树新梢数量最多(P< 0.05)。无性系D19的苗高生长量达到5.7 cm,显著高于D7(P< 0.05),无性系D7的地径和冠幅生长量分别为0.74 cm和9.88 cm,显著高于其他无性系(P< 0.05),而无性系D13的新梢数量达56.40个,显著多于其他无性系(P< 0.05)。小叶蚊母树在不同土壤上的适宜程度为红壤>黄壤>石灰性土>滨海盐土,不同无性系生长的优劣排序为D7 > D13 > D1 > D19。在黄壤上栽植小叶蚊母树可选择D1和D19,在红壤上可选择D7,D13和D19,在石灰性土上可选择D7和D13,在滨海盐土上可选择D1和D7。


























