2018年 第35卷 第3期
2018, 35(3): 387-397.
doi: 10.11833/j.issn.2095-0756.2018.03.001
摘要:
通过培养试验,采用修正的Hedley磷形态分级方法,以不添加任何肥料处理为空白对照,以施加未经处理的猪炭、过磷酸钙和钙镁磷肥处理为对比,研究酸化猪炭对土壤中各形态磷质量分数及其相互转化的影响。结果表明:与对照相比,施用猪炭和酸化猪炭可使土壤电导率分别提高24%和14%,而对土壤pH值无显著影响。在施加量相同的情况下,酸化猪炭提高土壤活性磷和中稳活性磷占全磷百分比的效果优于猪炭处理;且与施磷量相同的过磷酸钙和钙镁磷肥处理无显著差异。与空白对照相比,施用酸化猪炭、猪炭和2种磷肥均可以显著(P < 0.05)提高活性磷的质量分数,且各处理之间对于活性磷质量分数的提高无显著差异;中稳活性磷占总磷的百分比提高36.2%~77.2%,其提高程度为:酸化猪炭>过磷酸钙>钙镁磷肥>猪炭;非活性磷占总磷的百分比显著(P < 0.05)下降,与活性磷和中稳活性磷所占比例均呈极显著(P < 0.01)负相关。施用酸化猪炭可以提高土壤中各形态磷的质量分数,同时把土壤中非活性磷的比例维持在较低水平。施用酸化猪炭对土壤中各形态磷质量分数及转化影响的效果与2种化学磷肥无显著差异。在农业生产中,经酸化处理的猪炭来替代过磷酸钙和钙镁磷肥具有潜在的可行性。
通过培养试验,采用修正的Hedley磷形态分级方法,以不添加任何肥料处理为空白对照,以施加未经处理的猪炭、过磷酸钙和钙镁磷肥处理为对比,研究酸化猪炭对土壤中各形态磷质量分数及其相互转化的影响。结果表明:与对照相比,施用猪炭和酸化猪炭可使土壤电导率分别提高24%和14%,而对土壤pH值无显著影响。在施加量相同的情况下,酸化猪炭提高土壤活性磷和中稳活性磷占全磷百分比的效果优于猪炭处理;且与施磷量相同的过磷酸钙和钙镁磷肥处理无显著差异。与空白对照相比,施用酸化猪炭、猪炭和2种磷肥均可以显著(P < 0.05)提高活性磷的质量分数,且各处理之间对于活性磷质量分数的提高无显著差异;中稳活性磷占总磷的百分比提高36.2%~77.2%,其提高程度为:酸化猪炭>过磷酸钙>钙镁磷肥>猪炭;非活性磷占总磷的百分比显著(P < 0.05)下降,与活性磷和中稳活性磷所占比例均呈极显著(P < 0.01)负相关。施用酸化猪炭可以提高土壤中各形态磷的质量分数,同时把土壤中非活性磷的比例维持在较低水平。施用酸化猪炭对土壤中各形态磷质量分数及转化影响的效果与2种化学磷肥无显著差异。在农业生产中,经酸化处理的猪炭来替代过磷酸钙和钙镁磷肥具有潜在的可行性。
2018, 35(3): 398-404.
doi: 10.11833/j.issn.2095-0756.2018.03.002
摘要:
以猪粪为原料,采用水热炭化法将猪粪转化为水热炭。考察了炭化温度(160,180,200,220和240 ℃),炭化时间(1,5,8 h)和原料含水率(70%,75%,80%)等条件对水热炭中主要营养成分及其回收率的影响。结果表明:猪粪水热炭中营养成分质量分数较高,其中有机碳质量分数为232.0~328.0 g·kg-1,总氮为25.2~31.8 g·kg-1,磷全量为21.5~30.6 g·kg-1,钾全量为3.4~12.5 g·kg-1。当炭化温度从160 ℃升到240 ℃,水热炭中氮和有机碳回收率均降低,其中氮从66.29%降到41.95%,有机碳从49.61%降到29.07%。钾质量分数降低最大,为7.5 g·kg-1;磷质量分数升高了7.7 g·kg-1,但磷回收率几乎不变。炭化时间和原料含水率对水热炭的主要营养成分质量分数的影响较小,影响趋势与炭化温度相似。因此,炭化温度是影响水热炭成分质量分数的主要因素。
以猪粪为原料,采用水热炭化法将猪粪转化为水热炭。考察了炭化温度(160,180,200,220和240 ℃),炭化时间(1,5,8 h)和原料含水率(70%,75%,80%)等条件对水热炭中主要营养成分及其回收率的影响。结果表明:猪粪水热炭中营养成分质量分数较高,其中有机碳质量分数为232.0~328.0 g·kg-1,总氮为25.2~31.8 g·kg-1,磷全量为21.5~30.6 g·kg-1,钾全量为3.4~12.5 g·kg-1。当炭化温度从160 ℃升到240 ℃,水热炭中氮和有机碳回收率均降低,其中氮从66.29%降到41.95%,有机碳从49.61%降到29.07%。钾质量分数降低最大,为7.5 g·kg-1;磷质量分数升高了7.7 g·kg-1,但磷回收率几乎不变。炭化时间和原料含水率对水热炭的主要营养成分质量分数的影响较小,影响趋势与炭化温度相似。因此,炭化温度是影响水热炭成分质量分数的主要因素。
2018, 35(3): 405-411.
doi: 10.11833/j.issn.2095-0756.2018.03.003
摘要:
以江西大岗山天然丝栗栲Castanopsis fargesii林下土壤为研究对象,分析土壤有机碳、活性碳和缓效碳质量分数的时空变化特征,为该区域丝栗栲林土壤生态系统固碳现状评价与林业持续管理策略的制定提供理论依据。通过重铬酸钾容量法及室内28 ℃恒温条件下矿化培养和双指数方程拟合方法分别获取不同时期土壤有机碳总量以及土壤活性碳和缓效碳质量分数。土壤有机碳、活性碳和缓效碳质量分数的时空变化采用单因素方差分析方法,数据间的多重比较采用最小显著差(LDS)法。结果表明:土壤有机碳总量以及土壤缓效碳和活性碳质量分数具有相同的剖面特点,0~20 cm表层富集现象明显;和其他时期相比,8月层间质量分数变化最强烈(P < 0.05)。0~100 cm深度范围内,土壤有机碳总量以及活性碳和缓效碳质量分数都表现出4-6月增加、8月最大,其后降低的时间变化特征。4-6月和8-10月0~20 cm土壤缓效碳—活性碳转化强烈,土壤缓效碳质量分数变化显著(P < 0.05),成为影响该阶段土壤有机碳总量显著变化的重要因素。土壤活性碳质量分数没有明显的时间差异变化;4-6月是0~20 cm土壤活性碳质量分数增速最快的阶段,增加速率达1.30 g·kg-1·月-1,但由于受到活性碳—缓效碳强转化和梅雨淋洗的影响,土壤活性碳质量分数没有出现明显增加。土壤有机碳总量和缓效碳质量分数的时空变化特征更为一致。
以江西大岗山天然丝栗栲Castanopsis fargesii林下土壤为研究对象,分析土壤有机碳、活性碳和缓效碳质量分数的时空变化特征,为该区域丝栗栲林土壤生态系统固碳现状评价与林业持续管理策略的制定提供理论依据。通过重铬酸钾容量法及室内28 ℃恒温条件下矿化培养和双指数方程拟合方法分别获取不同时期土壤有机碳总量以及土壤活性碳和缓效碳质量分数。土壤有机碳、活性碳和缓效碳质量分数的时空变化采用单因素方差分析方法,数据间的多重比较采用最小显著差(LDS)法。结果表明:土壤有机碳总量以及土壤缓效碳和活性碳质量分数具有相同的剖面特点,0~20 cm表层富集现象明显;和其他时期相比,8月层间质量分数变化最强烈(P < 0.05)。0~100 cm深度范围内,土壤有机碳总量以及活性碳和缓效碳质量分数都表现出4-6月增加、8月最大,其后降低的时间变化特征。4-6月和8-10月0~20 cm土壤缓效碳—活性碳转化强烈,土壤缓效碳质量分数变化显著(P < 0.05),成为影响该阶段土壤有机碳总量显著变化的重要因素。土壤活性碳质量分数没有明显的时间差异变化;4-6月是0~20 cm土壤活性碳质量分数增速最快的阶段,增加速率达1.30 g·kg-1·月-1,但由于受到活性碳—缓效碳强转化和梅雨淋洗的影响,土壤活性碳质量分数没有出现明显增加。土壤有机碳总量和缓效碳质量分数的时空变化特征更为一致。
2018, 35(3): 412-421.
doi: 10.11833/j.issn.2095-0756.2018.03.004
摘要:
为研究不同种桉树Eucalyptus人工林土壤呼吸速率时空变异特征及其影响要素,估算桉树人工林土壤碳排放通量,测定2016年3月-2017年2月时段内5个不同种桉树林及1个湿加松Pinus elliottii×caribaea林土壤呼吸速率,分析桉树人工林土壤呼吸速率时空变化及其与影响要素的相关关系。结果表明:6个林分土壤呼吸速率时间变化明显,均呈单峰曲线格局;土壤呼吸速率与表层土壤温度符合指数模型,与平均体积含水率符合二次多项式模型(P < 0.001),土壤呼吸速率时间变化受土壤温度和体积含水率共同驱动,温、湿度双因素模型可以解释土壤呼吸速率44.8%~83.9%的变异。土壤呼吸速率的空间变异主要受表层土壤容重、叶面积指数、总孔隙度和非毛管孔隙度的影响,相关性均为极显著(P < 0.01);土壤表面二氧化碳累积通量还受到土壤表层有机碳密度影响,相关性显著(P < 0.05)。尾叶桉E. urophylla林和托里桉E. torelliana林的土壤呼吸速率年均值及土壤表面碳排放年累积通量均显著大于其他林分(P < 0.05),两者之间差异不显著。
为研究不同种桉树Eucalyptus人工林土壤呼吸速率时空变异特征及其影响要素,估算桉树人工林土壤碳排放通量,测定2016年3月-2017年2月时段内5个不同种桉树林及1个湿加松Pinus elliottii×caribaea林土壤呼吸速率,分析桉树人工林土壤呼吸速率时空变化及其与影响要素的相关关系。结果表明:6个林分土壤呼吸速率时间变化明显,均呈单峰曲线格局;土壤呼吸速率与表层土壤温度符合指数模型,与平均体积含水率符合二次多项式模型(P < 0.001),土壤呼吸速率时间变化受土壤温度和体积含水率共同驱动,温、湿度双因素模型可以解释土壤呼吸速率44.8%~83.9%的变异。土壤呼吸速率的空间变异主要受表层土壤容重、叶面积指数、总孔隙度和非毛管孔隙度的影响,相关性均为极显著(P < 0.01);土壤表面二氧化碳累积通量还受到土壤表层有机碳密度影响,相关性显著(P < 0.05)。尾叶桉E. urophylla林和托里桉E. torelliana林的土壤呼吸速率年均值及土壤表面碳排放年累积通量均显著大于其他林分(P < 0.05),两者之间差异不显著。
2018, 35(3): 422-430.
doi: 10.11833/j.issn.2095-0756.2018.03.005
摘要:
植物-土壤反馈作用影响植物定植与生长,明确植物-土壤反馈关系对筛选及控制外来植物的引进提供重要的理论依据。通过设计不同的植物-土壤反馈体系,比较不同径级(< 2.00 mm,< 0.12 mm)及不同来源(同种树下及异种树下)土壤微生物处理对外来引进植物美国白蜡Fraxinus americana和复叶槭Acer negundo生物量积累及根系丛枝菌根真菌侵染率的影响。结果表明:①相比于对照处理,去除大型动物的处理(< 0.12 mm)有利于美国白蜡生物量的积累,而对复叶槭影响不大;保留大型动物及大型真菌的处理(< 2.00 mm)抑制美国白蜡生物量的积累,促进复叶槭生物量的积累。不同径级土壤微生物群对2个供试种菌根侵染率的影响均无显著差异。②美国白蜡同种树下土壤处理生物量较异种树下土壤处理低54.4%(P < 0.05),即表现为成年树种下土壤抑制其同种幼苗生长;而复叶槭成年树种下土壤处理生物量较异种树下土壤处理高102.2%(P < 0.05),即表现为成年树种下土壤促进其同种幼苗生长。不同来源土壤显著影响美国白蜡菌根侵染率,而对复叶槭菌根侵染无显著影响。③根据相关性分析结果,不同的土壤处理影响供试种菌根结构与其生物量之间的相关性,其中,泡囊结构是一个相对比较敏感的指标。2种植物在不同来源土壤中的反馈响应差异较大,美国白蜡树林下土壤抑制其幼苗生长的反馈模式有利于森林群落规避同种内部代际竞争,而复叶槭植物-土壤反馈模式则提示其具有较强的入侵潜能。
植物-土壤反馈作用影响植物定植与生长,明确植物-土壤反馈关系对筛选及控制外来植物的引进提供重要的理论依据。通过设计不同的植物-土壤反馈体系,比较不同径级(< 2.00 mm,< 0.12 mm)及不同来源(同种树下及异种树下)土壤微生物处理对外来引进植物美国白蜡Fraxinus americana和复叶槭Acer negundo生物量积累及根系丛枝菌根真菌侵染率的影响。结果表明:①相比于对照处理,去除大型动物的处理(< 0.12 mm)有利于美国白蜡生物量的积累,而对复叶槭影响不大;保留大型动物及大型真菌的处理(< 2.00 mm)抑制美国白蜡生物量的积累,促进复叶槭生物量的积累。不同径级土壤微生物群对2个供试种菌根侵染率的影响均无显著差异。②美国白蜡同种树下土壤处理生物量较异种树下土壤处理低54.4%(P < 0.05),即表现为成年树种下土壤抑制其同种幼苗生长;而复叶槭成年树种下土壤处理生物量较异种树下土壤处理高102.2%(P < 0.05),即表现为成年树种下土壤促进其同种幼苗生长。不同来源土壤显著影响美国白蜡菌根侵染率,而对复叶槭菌根侵染无显著影响。③根据相关性分析结果,不同的土壤处理影响供试种菌根结构与其生物量之间的相关性,其中,泡囊结构是一个相对比较敏感的指标。2种植物在不同来源土壤中的反馈响应差异较大,美国白蜡树林下土壤抑制其幼苗生长的反馈模式有利于森林群落规避同种内部代际竞争,而复叶槭植物-土壤反馈模式则提示其具有较强的入侵潜能。
2018, 35(3): 476-482.
doi: 10.11833/j.issn.2095-0756.2018.03.011
摘要:
为了减轻黄瓜Cucumis sativus采后储运过程中的冷害发生,以黄瓜'戴多星''Deltasta'为试验材料,研究了短波紫外线(UV-C)和热空气单独或结合处理对4 ℃储藏条件下黄瓜冷害以及膜透性,丙二醛(MDA),抗坏血酸,总酚,总抗氧化能力和抗氧化酶活性等的影响。结果表明:与对照、UV-C和热空气单独处理相比,5.0 kJ·m-2的UV-C照射结合37 ℃热处理能够诱导低温下黄瓜组织中抗氧化酶保持较高的活性,维持较高的总酚和抗坏血酸质量分数以及总抗氧化能力,从而延缓低温胁迫下活性氧积累造成的膜质过氧化,阻止了黄瓜相对电导率的增加和丙二醛的积累,从而显著降低低温下黄瓜的冷害发生程度。同时,UV-C结合热处理也较好地保持了黄瓜的硬度、可溶性固形物和叶绿素质量分数,在抑制黄瓜冷害的作用中存在协同效应。为减少黄瓜在低温储运过程中的冷害发生和保持品质提供数据支持。
为了减轻黄瓜Cucumis sativus采后储运过程中的冷害发生,以黄瓜'戴多星''Deltasta'为试验材料,研究了短波紫外线(UV-C)和热空气单独或结合处理对4 ℃储藏条件下黄瓜冷害以及膜透性,丙二醛(MDA),抗坏血酸,总酚,总抗氧化能力和抗氧化酶活性等的影响。结果表明:与对照、UV-C和热空气单独处理相比,5.0 kJ·m-2的UV-C照射结合37 ℃热处理能够诱导低温下黄瓜组织中抗氧化酶保持较高的活性,维持较高的总酚和抗坏血酸质量分数以及总抗氧化能力,从而延缓低温胁迫下活性氧积累造成的膜质过氧化,阻止了黄瓜相对电导率的增加和丙二醛的积累,从而显著降低低温下黄瓜的冷害发生程度。同时,UV-C结合热处理也较好地保持了黄瓜的硬度、可溶性固形物和叶绿素质量分数,在抑制黄瓜冷害的作用中存在协同效应。为减少黄瓜在低温储运过程中的冷害发生和保持品质提供数据支持。
2018, 35(3): 483-489.
doi: 10.11833/j.issn.2095-0756.2018.03.012
摘要:
松脂是松属Pinus植物分泌的一种次生代谢产物,具有较高的经济价值和生态价值,主要储藏在松属植物针叶、树干木质部和韧皮部的树脂道系统内。开展云南松Pinus yunnanensis产脂量与其解剖学特征之间的关系研究,有利于云南松高产脂优树的选育和高产林定向培育技术体系的建立。对云南松产脂量与针叶、树干解剖特征之间的相关关系进行了研究,并比较分析了高、低产脂量云南松针叶和树干解剖特征的差异。结果表明:高产脂量云南松针叶树脂道个数、针叶分泌细胞个数、树干韧皮部树脂道个数、木质部树脂道个数和木质部分泌细胞个数极显著高于低产脂量云南松。随着针叶树脂道个数、针叶分泌细胞个数、树干韧皮部树脂道个数、木质部树脂道个数和木质部分泌细胞个数的增加,云南松的产脂量也不断增加(P < 0.01)。主成分分析中木质部树脂道个数的载荷值最大,表明云南松树干木质部树脂道与其产脂量关系最为密切。树干木质部树脂道个数可作为选育高产脂云南松的一个重要指标。
松脂是松属Pinus植物分泌的一种次生代谢产物,具有较高的经济价值和生态价值,主要储藏在松属植物针叶、树干木质部和韧皮部的树脂道系统内。开展云南松Pinus yunnanensis产脂量与其解剖学特征之间的关系研究,有利于云南松高产脂优树的选育和高产林定向培育技术体系的建立。对云南松产脂量与针叶、树干解剖特征之间的相关关系进行了研究,并比较分析了高、低产脂量云南松针叶和树干解剖特征的差异。结果表明:高产脂量云南松针叶树脂道个数、针叶分泌细胞个数、树干韧皮部树脂道个数、木质部树脂道个数和木质部分泌细胞个数极显著高于低产脂量云南松。随着针叶树脂道个数、针叶分泌细胞个数、树干韧皮部树脂道个数、木质部树脂道个数和木质部分泌细胞个数的增加,云南松的产脂量也不断增加(P < 0.01)。主成分分析中木质部树脂道个数的载荷值最大,表明云南松树干木质部树脂道与其产脂量关系最为密切。树干木质部树脂道个数可作为选育高产脂云南松的一个重要指标。
2018, 35(3): 490-496.
doi: 10.11833/j.issn.2095-0756.2018.03.013
摘要:
以2个具有休眠特性差异的籼稻Oryza sativa subsp.sativa品种[4K58(Ⅱ-32B休眠), 4K59(Ⅱ-32B)]及其各自与不育系(Ⅱ-32A)的杂交F2代种子(C178, C179)为材料, 采用人工加速老化方法获得不同老化天数(0, 3, 6, 9 d)的种子。通过测定种子的电导率值、单核苷酸浸出液质量浓度、发芽指标和幼苗生长指标等, 探讨种子休眠特性与耐藏性的关系。结果表明:经老化后4K58种子的电导率值、单核苷酸浸出液质量浓度均显著高于4K59(P < 0.05), 其中单核苷酸浸出液质量浓度增幅最高, 相差近14.5倍; 而其发芽势、发芽指数等均显著低于4K59(P < 0.05), 平均发芽时间显著高于4K59(P < 0.05), 推测具有休眠特性的水稻种子更不耐储藏。研究还发现:老化后C178的核苷酸浸出液质量浓度、平均发芽时间显著高于C179(P < 0.05), 发芽率、发芽指数、幼苗苗高和苗质量均显著低于C179(P < 0.05)。推测这种储藏特性可遗传至下代。
以2个具有休眠特性差异的籼稻Oryza sativa subsp.sativa品种[4K58(Ⅱ-32B休眠), 4K59(Ⅱ-32B)]及其各自与不育系(Ⅱ-32A)的杂交F2代种子(C178, C179)为材料, 采用人工加速老化方法获得不同老化天数(0, 3, 6, 9 d)的种子。通过测定种子的电导率值、单核苷酸浸出液质量浓度、发芽指标和幼苗生长指标等, 探讨种子休眠特性与耐藏性的关系。结果表明:经老化后4K58种子的电导率值、单核苷酸浸出液质量浓度均显著高于4K59(P < 0.05), 其中单核苷酸浸出液质量浓度增幅最高, 相差近14.5倍; 而其发芽势、发芽指数等均显著低于4K59(P < 0.05), 平均发芽时间显著高于4K59(P < 0.05), 推测具有休眠特性的水稻种子更不耐储藏。研究还发现:老化后C178的核苷酸浸出液质量浓度、平均发芽时间显著高于C179(P < 0.05), 发芽率、发芽指数、幼苗苗高和苗质量均显著低于C179(P < 0.05)。推测这种储藏特性可遗传至下代。
2018, 35(3): 497-504.
doi: 10.11833/j.issn.2095-0756.2018.03.014
摘要:
为探索紫斑牡丹Paeonia rockii种子休眠原因,对其种皮透性、抑制物质强度(以豌豆Pisum sativum种子为材料)和种子不同部位外植体生长等进行了研究。结果表明:种皮透性对种子吸水率和呼吸速率有一定影响;用生根前的紫斑牡丹种子胚乳、胚、种皮浸提液处理的豌豆均有部分生根率,且生根率依次增大,但上胚轴萌发率均为0;用生根及发芽后的紫斑牡丹种子种皮、胚乳处理豌豆的生根率显著高于生根前的,且均有部分上胚轴萌发,但前两者生根率及上胚轴萌发率无显著差异;完整种子、种皮置于一旁的去皮种子、去皮种子、胚(裸胚或去子叶胚)的紫斑牡丹生根率依次提高,发芽率均为0;紫斑牡丹胚及去子叶胚均需要经过低温处理后上胚轴才可以萌发。由此说明:①造成紫斑牡丹种子下胚轴休眠的因素是种皮的透性、种皮及胚乳中的抑制物质。②紫斑牡丹种子上胚轴休眠的原因在胚内部,而与种子在生根后及发芽过程中种皮及胚乳中抑制物质强度的变化无关,去除种皮、胚乳及子叶无法解除其休眠,上胚轴休眠需要经过低温过程方可解除。
为探索紫斑牡丹Paeonia rockii种子休眠原因,对其种皮透性、抑制物质强度(以豌豆Pisum sativum种子为材料)和种子不同部位外植体生长等进行了研究。结果表明:种皮透性对种子吸水率和呼吸速率有一定影响;用生根前的紫斑牡丹种子胚乳、胚、种皮浸提液处理的豌豆均有部分生根率,且生根率依次增大,但上胚轴萌发率均为0;用生根及发芽后的紫斑牡丹种子种皮、胚乳处理豌豆的生根率显著高于生根前的,且均有部分上胚轴萌发,但前两者生根率及上胚轴萌发率无显著差异;完整种子、种皮置于一旁的去皮种子、去皮种子、胚(裸胚或去子叶胚)的紫斑牡丹生根率依次提高,发芽率均为0;紫斑牡丹胚及去子叶胚均需要经过低温处理后上胚轴才可以萌发。由此说明:①造成紫斑牡丹种子下胚轴休眠的因素是种皮的透性、种皮及胚乳中的抑制物质。②紫斑牡丹种子上胚轴休眠的原因在胚内部,而与种子在生根后及发芽过程中种皮及胚乳中抑制物质强度的变化无关,去除种皮、胚乳及子叶无法解除其休眠,上胚轴休眠需要经过低温过程方可解除。
2018, 35(3): 505-510.
doi: 10.11833/j.issn.2095-0756.2018.03.015
摘要:
以望春玉兰Magnolia biondii,长花玉兰Magnolia ‘Changhua’,丹馨玉兰Magnolia ‘Danxin’,黄山木兰Magnolia cylindrica等4种木兰属Magnolia植物为试验材料,运用不同质量浓度蔗糖、硼酸、分子量为4000的聚乙二醇(PEG-4000)对花粉进行单因子及正交试验处理,研究不同培养基、培养温度及培养时间对4种植物花粉萌发率的影响。结果表明:①蔗糖、硼酸、PEG-4000对4种木兰属植物花粉萌发均有显著影响(P < 0.05)。不同植物所需适宜的离体培养基组分质量浓度不同,望春玉兰为50 g·L-1蔗糖+50 mg·L-1硼酸+200 g·L-1PEG-4000;长花玉兰为100 g·L-1蔗糖+200 mg·L-1硼酸+200 g·L-1PEG-4000;丹馨玉兰为100 g·L-1蔗糖+100 mg·L-1硼酸+150 g·L-1PEG-4000;黄山木兰为50 g·L-1蔗糖+100 mg·L-1硼酸+250 g·L-1PEG-4000。②4种植物花粉萌发最佳培养温度均为25 ℃,温度过高会抑制花粉萌发。③随着处理时间的延长,4种植物花粉萌发率增加,但达到最大萌发率所需时间有所不同,其中望春玉兰和黄山木兰在培养9 h时萌发率最高,萌发率分别为71.19%和59.82%,而长花玉兰和丹馨玉兰在培养12 h时萌发率最高,萌发率分别为44.50%和23.43%。
以望春玉兰Magnolia biondii,长花玉兰Magnolia ‘Changhua’,丹馨玉兰Magnolia ‘Danxin’,黄山木兰Magnolia cylindrica等4种木兰属Magnolia植物为试验材料,运用不同质量浓度蔗糖、硼酸、分子量为4000的聚乙二醇(PEG-4000)对花粉进行单因子及正交试验处理,研究不同培养基、培养温度及培养时间对4种植物花粉萌发率的影响。结果表明:①蔗糖、硼酸、PEG-4000对4种木兰属植物花粉萌发均有显著影响(P < 0.05)。不同植物所需适宜的离体培养基组分质量浓度不同,望春玉兰为50 g·L-1蔗糖+50 mg·L-1硼酸+200 g·L-1PEG-4000;长花玉兰为100 g·L-1蔗糖+200 mg·L-1硼酸+200 g·L-1PEG-4000;丹馨玉兰为100 g·L-1蔗糖+100 mg·L-1硼酸+150 g·L-1PEG-4000;黄山木兰为50 g·L-1蔗糖+100 mg·L-1硼酸+250 g·L-1PEG-4000。②4种植物花粉萌发最佳培养温度均为25 ℃,温度过高会抑制花粉萌发。③随着处理时间的延长,4种植物花粉萌发率增加,但达到最大萌发率所需时间有所不同,其中望春玉兰和黄山木兰在培养9 h时萌发率最高,萌发率分别为71.19%和59.82%,而长花玉兰和丹馨玉兰在培养12 h时萌发率最高,萌发率分别为44.50%和23.43%。
2018, 35(3): 511-518.
doi: 10.11833/j.issn.2095-0756.2018.03.016
摘要:
升金湖湿地是中国重要的越冬鹤类Gruidae栖息地,通过对升金湖湿地鹤类种群和栖息地的变化研究,为鹤类及栖息地保护提出建设性建议。选取1986-2015年8期TM遥感影像,运用土地利用程度变化模型,计算1986-2015年土地利用综合指数,得到不同时期土地利用程度变化值。采用土地利用转化率法,计算升金湖湿地1986-2015年土地利用转移概率,分析越冬鹤类栖息地的转移情况。结果表明:各时期土地利用程度变化波动较大,土地利用程度综合指数为220~260,土地利用以林地、草滩地和水域为主,对栖息地影响有限;鹤类栖息地中草滩地保留率最高,达34.44%。芦苇Phragmites australis滩地保留率最低,仅为15.36%,芦苇滩地主要转移为草滩地和旱地,分别为23.22%和18.16%。泥滩地主要转移为水域和农田,分别为31.79%和27.75%;除2011-2015年,其他各时期栖息地面积变化与鹤类数量增减趋势基本一致。
升金湖湿地是中国重要的越冬鹤类Gruidae栖息地,通过对升金湖湿地鹤类种群和栖息地的变化研究,为鹤类及栖息地保护提出建设性建议。选取1986-2015年8期TM遥感影像,运用土地利用程度变化模型,计算1986-2015年土地利用综合指数,得到不同时期土地利用程度变化值。采用土地利用转化率法,计算升金湖湿地1986-2015年土地利用转移概率,分析越冬鹤类栖息地的转移情况。结果表明:各时期土地利用程度变化波动较大,土地利用程度综合指数为220~260,土地利用以林地、草滩地和水域为主,对栖息地影响有限;鹤类栖息地中草滩地保留率最高,达34.44%。芦苇Phragmites australis滩地保留率最低,仅为15.36%,芦苇滩地主要转移为草滩地和旱地,分别为23.22%和18.16%。泥滩地主要转移为水域和农田,分别为31.79%和27.75%;除2011-2015年,其他各时期栖息地面积变化与鹤类数量增减趋势基本一致。
2018, 35(3): 519-523.
doi: 10.11833/j.issn.2095-0756.2018.03.017
摘要:
为高值化利用人工林速生材辐射松Pinus radiata,采用高性能重组木制造技术,制备了不同密度的辐射松重组木,并探讨了密度对其孔隙率、耐水性以及力学强度的影响规律。结果表明:辐射松素材的孔隙率约为68.00%;重组木的孔隙率随密度增大呈线性下降,低至2.11%。随密度增大,重组木的耐水性和力学强度均呈升高趋势;当密度从0.80 g·cm-3增加到1.39 g·cm-3,吸水厚度膨胀率和吸水率分别下降了21.55%和76.88%,弹性模量和水平剪切强度分别提高了116.47%和86.29%。
为高值化利用人工林速生材辐射松Pinus radiata,采用高性能重组木制造技术,制备了不同密度的辐射松重组木,并探讨了密度对其孔隙率、耐水性以及力学强度的影响规律。结果表明:辐射松素材的孔隙率约为68.00%;重组木的孔隙率随密度增大呈线性下降,低至2.11%。随密度增大,重组木的耐水性和力学强度均呈升高趋势;当密度从0.80 g·cm-3增加到1.39 g·cm-3,吸水厚度膨胀率和吸水率分别下降了21.55%和76.88%,弹性模量和水平剪切强度分别提高了116.47%和86.29%。
2018, 35(3): 524-528.
doi: 10.11833/j.issn.2095-0756.2018.03.018
摘要:
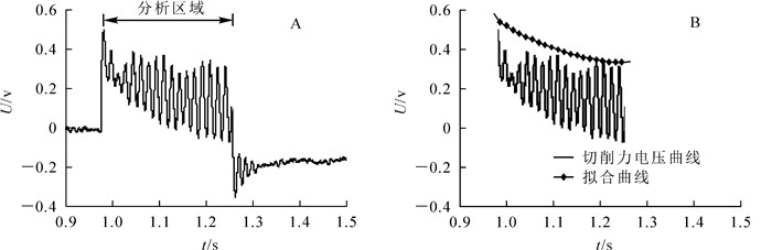
木材锯切为闭式切削,其中侧刃的作用不可忽视。为探寻锯切过程中侧刃对切削力的影响并将其量化,采用不同锯料角锯齿对樟子松Pinus sylvestris和水曲柳Fraxinus mandshurica做单齿切削力试验,利用响应面分析法中的四因素三水平的Box-Behnken Design(BBD)试验设计和建模方法,研究了锯料角、切削厚度、含水率和刀具前角等参数对切削力的影响,并建立切削力模型。结果发现:采用响应面法建立的木材切削力多元回归数学模型,可较为有效地反映切削力与各因素之间的关系(R2=0.92和R2=0.94);在闭式切削过程中,锯齿的锯料角对切削力有一定影响,且随着锯料角的增加,切削力缓慢降低;切削厚度对切削力影响显著,其次是刀具前角,木材含水率、锯料角对切削力的影响最小。
木材锯切为闭式切削,其中侧刃的作用不可忽视。为探寻锯切过程中侧刃对切削力的影响并将其量化,采用不同锯料角锯齿对樟子松Pinus sylvestris和水曲柳Fraxinus mandshurica做单齿切削力试验,利用响应面分析法中的四因素三水平的Box-Behnken Design(BBD)试验设计和建模方法,研究了锯料角、切削厚度、含水率和刀具前角等参数对切削力的影响,并建立切削力模型。结果发现:采用响应面法建立的木材切削力多元回归数学模型,可较为有效地反映切削力与各因素之间的关系(R2=0.92和R2=0.94);在闭式切削过程中,锯齿的锯料角对切削力有一定影响,且随着锯料角的增加,切削力缓慢降低;切削厚度对切削力影响显著,其次是刀具前角,木材含水率、锯料角对切削力的影响最小。
2018, 35(3): 529-536.
doi: 10.11833/j.issn.2095-0756.2018.03.019
摘要:
为研究不同距离气象数据对细小可燃物含水率预测模型精度的影响,对2010年春、秋季防火期大兴安岭地区塔河县盘古林场的樟子松Pinus sylvestris var. mongolica林、兴安落叶松Larix gmelinii林和白桦Betula platyphylla林等3种林分下细小可燃物含水率进行连续的观测,同时采集试验期内的气象数据构建细小可燃物含水率预测模型。结果表明:利用盘古气象站数据构建的气象因子中,日降水量(R)和前n d降水量之和(Ran),以及前n d平均相对湿度(Han)(n=1~2)显著正相关,春季和秋季分别与日最高气温(Tmax)和连旱天数(d)显著负相关;利用距离实验地较近的盘古气象站的气象数据所建模型精度优于距离较远的塔河模型,模型的平均绝对误差(EMA)和平均相对误差(EMR)分别降低了2.7%和22.6%(P < 0.01)。从细小可燃物的异质性和模型的精度来看,在建模气象数据的采集中,应重视气象因子时间和空间尺度的选取,以确保模型精度。
为研究不同距离气象数据对细小可燃物含水率预测模型精度的影响,对2010年春、秋季防火期大兴安岭地区塔河县盘古林场的樟子松Pinus sylvestris var. mongolica林、兴安落叶松Larix gmelinii林和白桦Betula platyphylla林等3种林分下细小可燃物含水率进行连续的观测,同时采集试验期内的气象数据构建细小可燃物含水率预测模型。结果表明:利用盘古气象站数据构建的气象因子中,日降水量(R)和前n d降水量之和(Ran),以及前n d平均相对湿度(Han)(n=1~2)显著正相关,春季和秋季分别与日最高气温(Tmax)和连旱天数(d)显著负相关;利用距离实验地较近的盘古气象站的气象数据所建模型精度优于距离较远的塔河模型,模型的平均绝对误差(EMA)和平均相对误差(EMR)分别降低了2.7%和22.6%(P < 0.01)。从细小可燃物的异质性和模型的精度来看,在建模气象数据的采集中,应重视气象因子时间和空间尺度的选取,以确保模型精度。
2018, 35(3): 537-542.
doi: 10.11833/j.issn.2095-0756.2018.03.020
摘要:
林下经济作为一种生态经济复合发展模式,对实现农户增产增收、促进林区经济发展具有重要意义。基于浙江省临安、开化、庆元和龙泉4个县(市、区)农户的抽样调查数据,在分析集体林区农户不愿发展林下经济的主观原因及农户发展林下经济的政策需求基础上,采用计量经济方法定量分析了影响农户林下经济经营意愿的客观因素。研究发现:不愿经营林下经济的农户认为主要原因在于缺乏劳动力、没有资源优势、交通不便、资金不足以及收益不理想等。多数农户最希望政府出台的林下经济发展扶持政策是资金补贴,其次是技术推广和道路基础设施建设。回归结果表明:户主特征、林地资源禀赋以及家庭特征中的老年劳动力占比、林业收入占比和是否参加森林保险是农户林下经济经营意愿的重要影响因素。
林下经济作为一种生态经济复合发展模式,对实现农户增产增收、促进林区经济发展具有重要意义。基于浙江省临安、开化、庆元和龙泉4个县(市、区)农户的抽样调查数据,在分析集体林区农户不愿发展林下经济的主观原因及农户发展林下经济的政策需求基础上,采用计量经济方法定量分析了影响农户林下经济经营意愿的客观因素。研究发现:不愿经营林下经济的农户认为主要原因在于缺乏劳动力、没有资源优势、交通不便、资金不足以及收益不理想等。多数农户最希望政府出台的林下经济发展扶持政策是资金补贴,其次是技术推广和道路基础设施建设。回归结果表明:户主特征、林地资源禀赋以及家庭特征中的老年劳动力占比、林业收入占比和是否参加森林保险是农户林下经济经营意愿的重要影响因素。
2018, 35(3): 543-551.
doi: 10.11833/j.issn.2095-0756.2018.03.021
摘要:
针对污水排放监管存在的取证难度大、实时性低等问题,为了提高污水监管部门的监管效率,提高企业应急反应能力,提出了适用于生态治理模式的生猪养殖业污水处理的智慧监管策略、监管模型以及Ecological数学分析方法。该方法基于生猪养殖业污水生态治理方式,通过对监管策略工作原理的分析,提出采用多种传感器监听与收集各节点的实时数据,并通过Ecological数学分析方法对接收到的数据进行定性与定量分析预测。以Ecological方法为基础,分析并实现了生态治理模式下生猪养殖业污水处理的智慧监管模型,提出了模型的数据监管流程和具体算法,从而可以对生态治理模式下生猪养殖业污水违规排放进行实时判断。将该策略应用于指导生猪养殖业污水监测预警平台的构建,有效解决了生猪养殖污水排放实时监管问题,提高了污水排放监管的效率和准确性。
针对污水排放监管存在的取证难度大、实时性低等问题,为了提高污水监管部门的监管效率,提高企业应急反应能力,提出了适用于生态治理模式的生猪养殖业污水处理的智慧监管策略、监管模型以及Ecological数学分析方法。该方法基于生猪养殖业污水生态治理方式,通过对监管策略工作原理的分析,提出采用多种传感器监听与收集各节点的实时数据,并通过Ecological数学分析方法对接收到的数据进行定性与定量分析预测。以Ecological方法为基础,分析并实现了生态治理模式下生猪养殖业污水处理的智慧监管模型,提出了模型的数据监管流程和具体算法,从而可以对生态治理模式下生猪养殖业污水违规排放进行实时判断。将该策略应用于指导生猪养殖业污水监测预警平台的构建,有效解决了生猪养殖污水排放实时监管问题,提高了污水排放监管的效率和准确性。
2018, 35(3): 431-439.
doi: 10.11833/j.issn.2095-0756.2018.03.006
摘要:
以毛竹Phyllostachys edulis幼苗和重金属污染土壤为研究对象,通过土柱淋洗试验,施加乙二胺四乙酸(EDTA,1.5和3.0 mmol·kg-1)和有机酸(15.0和30.0 mmol·kg-1),研究了毛竹叶片叶绿素荧光特性、毛竹各部位重金属质量分数、土壤液中重金属质量分数和EDTA质量浓度的变化。结果表明:施加EDTA和有机酸都抑制毛竹叶绿素荧光特性,且在30.0 mmol·kg-1的有机酸处理下,毛竹叶片叶绿素荧光特性受到的抑制效果最为显著。EDTA施加能够促进毛竹对锌、铜和镉的吸收,而有机酸处理对毛竹吸收重金属无促进作用,施加3.0 mmol·kg-1EDTA对表层土壤中铜、锌和镉的活化作用最强。20和40 cm土层土壤溶液中重金属质量分数随时间慢慢积累,分别在第4次收集后达到稳定和在最后一次收集液中达到最大;而添加有机酸后土壤溶液中重金属质量分数则在第2次土壤收集液中达到最大,随后逐渐降低。土壤溶液中EDTA主要集中在5 cm土层,且随时间增加显著降低,在5~9 d内EDTA质量浓度相对稳定,分别为110.9~122.9和257.8~263.3 mg·L-1。综上,EDTA可以有效地提高重金属生物有效性,强化植物修复重金属污染土壤,但使用时应综合考虑其环境风险。
以毛竹Phyllostachys edulis幼苗和重金属污染土壤为研究对象,通过土柱淋洗试验,施加乙二胺四乙酸(EDTA,1.5和3.0 mmol·kg-1)和有机酸(15.0和30.0 mmol·kg-1),研究了毛竹叶片叶绿素荧光特性、毛竹各部位重金属质量分数、土壤液中重金属质量分数和EDTA质量浓度的变化。结果表明:施加EDTA和有机酸都抑制毛竹叶绿素荧光特性,且在30.0 mmol·kg-1的有机酸处理下,毛竹叶片叶绿素荧光特性受到的抑制效果最为显著。EDTA施加能够促进毛竹对锌、铜和镉的吸收,而有机酸处理对毛竹吸收重金属无促进作用,施加3.0 mmol·kg-1EDTA对表层土壤中铜、锌和镉的活化作用最强。20和40 cm土层土壤溶液中重金属质量分数随时间慢慢积累,分别在第4次收集后达到稳定和在最后一次收集液中达到最大;而添加有机酸后土壤溶液中重金属质量分数则在第2次土壤收集液中达到最大,随后逐渐降低。土壤溶液中EDTA主要集中在5 cm土层,且随时间增加显著降低,在5~9 d内EDTA质量浓度相对稳定,分别为110.9~122.9和257.8~263.3 mg·L-1。综上,EDTA可以有效地提高重金属生物有效性,强化植物修复重金属污染土壤,但使用时应综合考虑其环境风险。
2018, 35(3): 440-452.
doi: 10.11833/j.issn.2095-0756.2018.03.007
摘要:
在非均匀混合场景下模拟区域能量,三维小气候模型比一维模型考虑因素更为全面,但三维模型较复杂,研究甚少。为探究三维模型在混合像元场景中的通量模拟能力,以ENVI-met模型为例,以黑河关滩森林和加拿大北方森林为实验区,比较森林通量模拟值和实测值的季节性和日变化差异,并模拟森林三维空间结构对通量分布的敏感性。结果表明:①模型在春季、夏季、秋季模拟拟合度(R2)分别为0.75,0.76,0.55。模拟显热通量、潜热通量日变化符合实测趋势,日平均实测值与模拟值之差均不超过10.0%。模型对显热通量、潜热通量和太阳短波辐射模拟精度分别为0.68,0.63,0.80。②模拟总体能量闭合率(EBR)达92.9%,模型对气象参数微小变动不敏感,较为稳定。③自然参数不变场景下,团状分布通量值大于均匀分布,变化幅度剧烈,且显热通量对空间异质性较潜热通量更为敏感。研究结果肯定了ENVI-met模型模拟通量具有较好精度,且能够反映出森林空间分布格局在通量分配上的影响,为研究区域气候变化提供了有效手段。
在非均匀混合场景下模拟区域能量,三维小气候模型比一维模型考虑因素更为全面,但三维模型较复杂,研究甚少。为探究三维模型在混合像元场景中的通量模拟能力,以ENVI-met模型为例,以黑河关滩森林和加拿大北方森林为实验区,比较森林通量模拟值和实测值的季节性和日变化差异,并模拟森林三维空间结构对通量分布的敏感性。结果表明:①模型在春季、夏季、秋季模拟拟合度(R2)分别为0.75,0.76,0.55。模拟显热通量、潜热通量日变化符合实测趋势,日平均实测值与模拟值之差均不超过10.0%。模型对显热通量、潜热通量和太阳短波辐射模拟精度分别为0.68,0.63,0.80。②模拟总体能量闭合率(EBR)达92.9%,模型对气象参数微小变动不敏感,较为稳定。③自然参数不变场景下,团状分布通量值大于均匀分布,变化幅度剧烈,且显热通量对空间异质性较潜热通量更为敏感。研究结果肯定了ENVI-met模型模拟通量具有较好精度,且能够反映出森林空间分布格局在通量分配上的影响,为研究区域气候变化提供了有效手段。
2018, 35(3): 453-458.
doi: 10.11833/j.issn.2095-0756.2018.03.008
摘要:
通过对不同立地杉木Cunninghamia lanceolata家系的生长差异研究,了解杉木家系生长性状与立地的互作效应,选出生长快、稳定性好和适应性强的杉木家系进行推广。用营造在浙江余杭长乐林场和开化县林场的3年生杉木家系(21个家系,1个对照)区试验林,开展了不同立地杉木家系生长性状的差异、互作效应和适应性研究。结果表明:杉木家系树高和胸径2个生长性状在不同立地以及同一立地不同区组间表现出极显著性差异;余杭点(马尾松Pinus massoniana林采伐迹地)3年生杉木家系的平均树高和平均胸径(树高为3.21 m,胸径为4.31 cm)比开化点(杉木林采伐迹地,树高为2.33 m,胸径为2.31 cm)分别高出37.77%和86.58%。树高性状在家系间差异极显著(P < 0.01),胸径性状在家系与地点间存在极显著的交互效应(P < 0.01)。通过树高和胸径2个生长性状的速生性、稳定性和适应性分析评价,选出在两地幼林期表现良好的杉木家系7个,它们可在两地及相似地区推广应用。
通过对不同立地杉木Cunninghamia lanceolata家系的生长差异研究,了解杉木家系生长性状与立地的互作效应,选出生长快、稳定性好和适应性强的杉木家系进行推广。用营造在浙江余杭长乐林场和开化县林场的3年生杉木家系(21个家系,1个对照)区试验林,开展了不同立地杉木家系生长性状的差异、互作效应和适应性研究。结果表明:杉木家系树高和胸径2个生长性状在不同立地以及同一立地不同区组间表现出极显著性差异;余杭点(马尾松Pinus massoniana林采伐迹地)3年生杉木家系的平均树高和平均胸径(树高为3.21 m,胸径为4.31 cm)比开化点(杉木林采伐迹地,树高为2.33 m,胸径为2.31 cm)分别高出37.77%和86.58%。树高性状在家系间差异极显著(P < 0.01),胸径性状在家系与地点间存在极显著的交互效应(P < 0.01)。通过树高和胸径2个生长性状的速生性、稳定性和适应性分析评价,选出在两地幼林期表现良好的杉木家系7个,它们可在两地及相似地区推广应用。
2018, 35(3): 459-466.
doi: 10.11833/j.issn.2095-0756.2018.03.009
摘要:
为探索米老排Mytilaria laosensis皆伐迹地种子天然更新幼林生长及密度效应,基于单因素随机区组试验设计,研究了米老排皆伐迹地不同密度种子天然更新幼林生长状况。结果表明:①在间苗作业后1.0~3.5 a,未间苗抚育林分(ck)与间苗抚育林分在平均胸径、平均树高和平均单株材积生长量(总生长量与连年生长量)上差异显著;但各林分优势木胸径、树高和单株材积的总生长量差异不显著。间苗处理提高林分平均生长水平和减小林分径阶分化程度的作用明显。②间苗抚育林分平均生长量曲线与连年生长量曲线的相交时间与密度呈负相关;未间苗抚育林分平均胸径连年生长量的峰值出现在第2年,间苗抚育林分出现在第2~4年。前5 a为种子更新林径向生长的旺盛期,间苗抚育保留合理密度对林分的径向生长极为重要。③未间苗抚育林分平均树高的连年生长量与平均生长量在第2~3年相交,而间苗处理平均树高的连年生长量与平均生长量在第5年仍未相交;林分优势木前5 a的高生长处于旺盛期。④未间苗抚育和间苗抚育的林分径阶分布类型不同,前者呈倒J型分布,后者近似正态分布,间苗处理改变林分径阶分布的类型、峰值和分化程度作用明显。⑤在间苗抚育后第3.5年,密度较低林分的平均生长量优于密度较高处理林分。⑥充分利用米老排种子成熟期、落种期和天然更新特性,通过科学的采伐期、采伐方式、迹地剩余物清理方式和迹地更新林的间苗抚育措施,可有效实现采伐迹地天然更新和促进其更新林的生长。
为探索米老排Mytilaria laosensis皆伐迹地种子天然更新幼林生长及密度效应,基于单因素随机区组试验设计,研究了米老排皆伐迹地不同密度种子天然更新幼林生长状况。结果表明:①在间苗作业后1.0~3.5 a,未间苗抚育林分(ck)与间苗抚育林分在平均胸径、平均树高和平均单株材积生长量(总生长量与连年生长量)上差异显著;但各林分优势木胸径、树高和单株材积的总生长量差异不显著。间苗处理提高林分平均生长水平和减小林分径阶分化程度的作用明显。②间苗抚育林分平均生长量曲线与连年生长量曲线的相交时间与密度呈负相关;未间苗抚育林分平均胸径连年生长量的峰值出现在第2年,间苗抚育林分出现在第2~4年。前5 a为种子更新林径向生长的旺盛期,间苗抚育保留合理密度对林分的径向生长极为重要。③未间苗抚育林分平均树高的连年生长量与平均生长量在第2~3年相交,而间苗处理平均树高的连年生长量与平均生长量在第5年仍未相交;林分优势木前5 a的高生长处于旺盛期。④未间苗抚育和间苗抚育的林分径阶分布类型不同,前者呈倒J型分布,后者近似正态分布,间苗处理改变林分径阶分布的类型、峰值和分化程度作用明显。⑤在间苗抚育后第3.5年,密度较低林分的平均生长量优于密度较高处理林分。⑥充分利用米老排种子成熟期、落种期和天然更新特性,通过科学的采伐期、采伐方式、迹地剩余物清理方式和迹地更新林的间苗抚育措施,可有效实现采伐迹地天然更新和促进其更新林的生长。
2018, 35(3): 467-475.
doi: 10.11833/j.issn.2095-0756.2018.03.010
摘要:
为探讨适宜三叶青Tetrastigma hemsleyanum生长的光强环境,并为其人工栽培和林下栽培提供基础,以2年生三叶青扦插苗为试验材料,对它们进行不同梯度的遮光处理,梯度设置为全光照(ck),遮光30%,50%,70%和90%,研究光强对三叶青不同生育时期(快速生长期与高温缓慢生长期)的光合特性的影响。采用体积分数为95%乙醇浸提法测定三叶青叶片中光合色素,利用LI-6400XT便携式光合系统测定仪测定叶片净光合速率(Pn),气孔导度(Gs),胞间二氧化碳摩尔分数(Ci)和蒸腾速率(Tr)等指标,计算光饱和点(LSP),光补偿点(LCP),量子效率(AQE),暗呼吸速率(Rd)和最大净光合速率(Pmax),并拟合光响应曲线。结果表明:随着遮光程度的增加,叶绿素a,叶绿素b,总叶绿素和类胡萝卜素总体上呈现上升趋势,但是在不同生育时期变化不大;多数光合指标亦随遮光程度增加而呈现增长趋势,多在遮光70%时达到最大值之后下降,且快速生长期(Pn为4.19 μmol·m-2·s-1,Gs为53.54 mol·m-2·s-1,Tr为0.98 mmol·m-2·s-1,LSP为340.49 μmol·m-2·s-1,AQE为0.18 mol·mol-1,Rd为1.20 μmol·m-2·s-1,Pmax为5.34 μmol·m-2·s-1)比高温缓慢生长期(Pn为1.74 μmol·m-2·s-1,Gs为17.53 mol·m-2·s-1,Tr为0.36 mmol·m-2·s-1,LSP为159.28 μmol·m-2·s-1,AQE为0.06 mol·mol-1,Rd为0.70 μmol·m-2·s-1,Pmax为2.45 μmol·m-2·s-1)数值高41.67%~67.26%;Ci和LSP呈现先下降后趋于稳定趋势,表明高温缓慢生长期的强光、高温、低湿等环境条件使其光合活跃度下降,对植株生长产生胁迫。综合试验结果得出结论,不同生育时期三叶青均在遮光度70%的条件下生长适宜。
为探讨适宜三叶青Tetrastigma hemsleyanum生长的光强环境,并为其人工栽培和林下栽培提供基础,以2年生三叶青扦插苗为试验材料,对它们进行不同梯度的遮光处理,梯度设置为全光照(ck),遮光30%,50%,70%和90%,研究光强对三叶青不同生育时期(快速生长期与高温缓慢生长期)的光合特性的影响。采用体积分数为95%乙醇浸提法测定三叶青叶片中光合色素,利用LI-6400XT便携式光合系统测定仪测定叶片净光合速率(Pn),气孔导度(Gs),胞间二氧化碳摩尔分数(Ci)和蒸腾速率(Tr)等指标,计算光饱和点(LSP),光补偿点(LCP),量子效率(AQE),暗呼吸速率(Rd)和最大净光合速率(Pmax),并拟合光响应曲线。结果表明:随着遮光程度的增加,叶绿素a,叶绿素b,总叶绿素和类胡萝卜素总体上呈现上升趋势,但是在不同生育时期变化不大;多数光合指标亦随遮光程度增加而呈现增长趋势,多在遮光70%时达到最大值之后下降,且快速生长期(Pn为4.19 μmol·m-2·s-1,Gs为53.54 mol·m-2·s-1,Tr为0.98 mmol·m-2·s-1,LSP为340.49 μmol·m-2·s-1,AQE为0.18 mol·mol-1,Rd为1.20 μmol·m-2·s-1,Pmax为5.34 μmol·m-2·s-1)比高温缓慢生长期(Pn为1.74 μmol·m-2·s-1,Gs为17.53 mol·m-2·s-1,Tr为0.36 mmol·m-2·s-1,LSP为159.28 μmol·m-2·s-1,AQE为0.06 mol·mol-1,Rd为0.70 μmol·m-2·s-1,Pmax为2.45 μmol·m-2·s-1)数值高41.67%~67.26%;Ci和LSP呈现先下降后趋于稳定趋势,表明高温缓慢生长期的强光、高温、低湿等环境条件使其光合活跃度下降,对植株生长产生胁迫。综合试验结果得出结论,不同生育时期三叶青均在遮光度70%的条件下生长适宜。
2018, 35(3): 552-561.
doi: 10.11833/j.issn.2095-0756.2018.03.022
摘要:
植物嫁接砧穗愈合是指同种或异种植物的细胞、组织或器官互相影响与作用,结合成一个完整有机体的过程,受砧穗自身和外界等多种因素的调节和控制,是植物学领域的研究热点。嫁接可使植物的产量及品质得到提升,并有助于植物更好地适应环境。了解植物嫁接砧穗愈合机制对提高嫁接成活率和嫁接技术在生产中的应用具有重要的意义。就当前植物嫁接砧穗愈合的形态学进程、生理生化机制、分子调控及影响因素等方面的研究进展进行了综述,并对未来研究方向进行了展望。
植物嫁接砧穗愈合是指同种或异种植物的细胞、组织或器官互相影响与作用,结合成一个完整有机体的过程,受砧穗自身和外界等多种因素的调节和控制,是植物学领域的研究热点。嫁接可使植物的产量及品质得到提升,并有助于植物更好地适应环境。了解植物嫁接砧穗愈合机制对提高嫁接成活率和嫁接技术在生产中的应用具有重要的意义。就当前植物嫁接砧穗愈合的形态学进程、生理生化机制、分子调控及影响因素等方面的研究进展进行了综述,并对未来研究方向进行了展望。
2018, 35(3): 562-566.
doi: 10.11833/j.issn.2095-0756.2018.03.023
摘要:
四溴双酚A型环氧树脂(tetrabromobisphenol A type epoxy resin,TBEP)广泛应用于电子、航空航天工业,但因成本高,大规模应用受到一定的限制。以溴化木质素替代四溴双酚A制备阻燃性、耐热性高,成本低、可再生、环境友好的环氧树脂具有重要意义。以木质素和溴化质素为原料,与双酚A混合制备环氧树脂,研究木质素添加量及溴化质素对环氧树脂热性能的影响。结果表明:木质素-双酚A型环氧树脂(lignin base bisphenol A type epoxy resin,LBEP)的热稳定性较TBEP高;当添加摩尔分数10%的木质素时,LBEP失重起始温度和峰值温度分别比TBEP高4.4 ℃和68.9 ℃,失重率低3.8%;溴化木质素-双酚A型环氧树脂(bromided lignin bisphenol A type epoxy,Br-LBEP)较LBEP的失重起始温度和峰值温度分别高112.2 ℃和93.7 ℃,热失重率低2.1%。表明Br-LBEP热稳定性较LBEP高,以溴化木质素替代四溴双酚A制备耐热性环氧树脂具有可行性。
四溴双酚A型环氧树脂(tetrabromobisphenol A type epoxy resin,TBEP)广泛应用于电子、航空航天工业,但因成本高,大规模应用受到一定的限制。以溴化木质素替代四溴双酚A制备阻燃性、耐热性高,成本低、可再生、环境友好的环氧树脂具有重要意义。以木质素和溴化质素为原料,与双酚A混合制备环氧树脂,研究木质素添加量及溴化质素对环氧树脂热性能的影响。结果表明:木质素-双酚A型环氧树脂(lignin base bisphenol A type epoxy resin,LBEP)的热稳定性较TBEP高;当添加摩尔分数10%的木质素时,LBEP失重起始温度和峰值温度分别比TBEP高4.4 ℃和68.9 ℃,失重率低3.8%;溴化木质素-双酚A型环氧树脂(bromided lignin bisphenol A type epoxy,Br-LBEP)较LBEP的失重起始温度和峰值温度分别高112.2 ℃和93.7 ℃,热失重率低2.1%。表明Br-LBEP热稳定性较LBEP高,以溴化木质素替代四溴双酚A制备耐热性环氧树脂具有可行性。
2018, 35(3): 567-571.
doi: 10.11833/j.issn.2095-0756.2018.03.024
摘要:
以伴矿景天Sedum plumbizincicola幼嫩叶片为外植体,以添加了300 mg·L-1水解酪蛋白的MS(Murashige and Skoog)培养基为基本培养基,研究不同植物生长调节剂组合对伴矿景天愈伤组织诱导及分化的影响,并建立再生体系。结果表明:1.00 mg·L-1 2,4-二氯苯氧乙酸(2,4-D)+0.30 mg·L-1 6-苄基腺嘌呤(6-BA)组合下,愈伤组织诱导效果最佳(P < 0.05),诱导率为92.01%;0.10 mg·L-1 2,4-D+1.00 mg·L-1 6-BA组合下,分化效果最优(P < 0.05),分化率为27.44%。适宜的芽增殖培养基为0.10 mg·L-1 2,4-D+(0.50~1.00)mg·L-1 6-BA;适宜的生根培养基为1.00~2.00 mg·L-1吲哚丁酸(IBA)。本研究为伴矿景天转基因技术体系的建立奠定了组织培养基础。
以伴矿景天Sedum plumbizincicola幼嫩叶片为外植体,以添加了300 mg·L-1水解酪蛋白的MS(Murashige and Skoog)培养基为基本培养基,研究不同植物生长调节剂组合对伴矿景天愈伤组织诱导及分化的影响,并建立再生体系。结果表明:1.00 mg·L-1 2,4-二氯苯氧乙酸(2,4-D)+0.30 mg·L-1 6-苄基腺嘌呤(6-BA)组合下,愈伤组织诱导效果最佳(P < 0.05),诱导率为92.01%;0.10 mg·L-1 2,4-D+1.00 mg·L-1 6-BA组合下,分化效果最优(P < 0.05),分化率为27.44%。适宜的芽增殖培养基为0.10 mg·L-1 2,4-D+(0.50~1.00)mg·L-1 6-BA;适宜的生根培养基为1.00~2.00 mg·L-1吲哚丁酸(IBA)。本研究为伴矿景天转基因技术体系的建立奠定了组织培养基础。
2018, 35(3): 572-580.
doi: 10.11833/j.issn.2095-0756.2018.03.025
摘要:
为探究芸香Ruta graveolens叶片和花瓣释放的挥发性有机物的成分及其变化规律,采用顶空-固相微萃取与气相色谱-质谱联用技术,对芸香叶片和花瓣中释放的挥发性有机物成分进行采集,分析叶片和花瓣中挥发性有机物的主要成分、相对含量及叶片在不同时期挥发性有机物成分的差异。结果表明:1 a中不同季节芸香释放的挥发性有机物共鉴定出29种,其中酯类化合物11种,酮类化合物7种,为芸香挥发物的主要成分。1 a中,芸香叶片释放的挥发性有机物的种类呈先增加后减少的趋势;其中,6月检测到的挥发性有机物种类最多,为18种;9月最少,仅为10种。主要成分酯类物质的相对含量呈先上升后下降趋势,酮类化合物呈先下降后上升趋势。在6月的日变化检测中,挥发性有机物的种类呈先增多后减少趋势,依次为12:00 > 10:00 > 14:00 > 16:00,18:00 > 8:00 > 20:00,在12:00达到高峰,以酯类和酮类化合物为主。芸香花瓣释放的挥发性有机物种类少于叶片,主要成分为酮类化合物,以2-十一(烷)酮为主。芸香叶片和花瓣释放的挥发性有机物的主要成分均具有一定的药用保健作用,因此,芸香是营造保健型植物景观的理想材料。
为探究芸香Ruta graveolens叶片和花瓣释放的挥发性有机物的成分及其变化规律,采用顶空-固相微萃取与气相色谱-质谱联用技术,对芸香叶片和花瓣中释放的挥发性有机物成分进行采集,分析叶片和花瓣中挥发性有机物的主要成分、相对含量及叶片在不同时期挥发性有机物成分的差异。结果表明:1 a中不同季节芸香释放的挥发性有机物共鉴定出29种,其中酯类化合物11种,酮类化合物7种,为芸香挥发物的主要成分。1 a中,芸香叶片释放的挥发性有机物的种类呈先增加后减少的趋势;其中,6月检测到的挥发性有机物种类最多,为18种;9月最少,仅为10种。主要成分酯类物质的相对含量呈先上升后下降趋势,酮类化合物呈先下降后上升趋势。在6月的日变化检测中,挥发性有机物的种类呈先增多后减少趋势,依次为12:00 > 10:00 > 14:00 > 16:00,18:00 > 8:00 > 20:00,在12:00达到高峰,以酯类和酮类化合物为主。芸香花瓣释放的挥发性有机物种类少于叶片,主要成分为酮类化合物,以2-十一(烷)酮为主。芸香叶片和花瓣释放的挥发性有机物的主要成分均具有一定的药用保健作用,因此,芸香是营造保健型植物景观的理想材料。