2020年 第37卷 第1期
2020, 37(1): 1-8.
doi:10.11833/j.issn.2095-0756.2020.01.001
摘要:
目的分析未来气候环境对鹅掌楸
Liriodendron chinense空间分布的影响,以利于科学合理地制定鹅掌楸的保护措施。
方法采用最大熵模型(MaxEnt)和地理信息系统(ArcGIS)软件,以鹅掌楸的地理分布数据、Worldclim生物气候变量和人类活动强度数据为依据,分析影响鹅掌楸分布的主导因子,并对其在中国的适宜性分布区进行预测。
结果MaxEnt模型有很好的预测能力,训练集均值为0.973,测试集为0.953。年均降水量、最湿季度降水量、最冷月最低温、降水量变异系数和昼夜温差月均值是影响鹅掌楸分布的五大因子,总贡献率超过80%;人类活动强度也有影响,贡献率为2.3%。将MaxEnt模型预测结果导入GIS软件中进行适生区分级,发现鹅掌楸高适宜分布区在西南地区的大巴山以南向西南方向延伸到贵州中北部地区;在华东地区为北起天目山,向南延伸至浙南和闽北的丘陵山区。该模拟结果与已有调查结论一致。对21世纪50年代和21世纪70年代不同温室气体排放场景(RCP)下鹅掌楸在中国的分布预测表明:鹅掌楸的适宜分布区有向高纬度轻微移动的趋势,分布面积随着年份的增长呈先稳定后下降趋势;至21世纪70年代,RCP 8.5时,面积较当代减少5.3%,与已有研究认为全球变暖情况下生物适宜分布区减少的结果吻合。
结论该预测结果表明了气候变化将影响鹅掌楸种群分布,可为鹅掌楸未来的栽培与迁地保护提供参考。
2020, 37(1): 9-17.
doi:10.11833/j.issn.2095-0756.2020.01.002
摘要:
目的探究气候变化背景下杞麓湖动态演变过程及其流域景观生态风险。
方法基于1975-2015年8期时序Landsat数据,提取湖泊边界,并解译得到3期流域景观类型分类数据。从湖泊面积、轮廓和质心3个方面对杞麓湖动态演变进行研究,通过划分生态风险采样小区,建立生态风险评价模型,定量分析杞麓湖流域的景观生态风险。
结果① 近30 a来,杞麓湖流域景观结构变化特征明显,建设用地和滩涂湿地面积显著增加,农地、林地和水体面积持续减少,未利用地面积变化不大;②近40 a来,杞麓湖处于持续萎缩状态,2015年水体面积仅为面积最大年(1985年)的56.05%;杞麓湖形状体现为连续的复杂变化,以西部和南部的河流入湖口处变化最为明显,东部变化最小;杞麓湖质心主要向东北方向迁移,1975和2015年湖泊质心相距1 242 m;③生态风险评价结果表明:流域以较低生态风险为主,所占比为26.75%~35.09%,1985-2015年生态风险均值由0.957 8增加至1.013 9,流域生态风险趋于恶化。
结论杞麓湖流域生态风险空间分布具有明显的区位性和异质性,高生态风险主要分布于杞麓湖水体部分,低生态风险主要分布于流域的湖盆之中,其余生态风险主要沿湖盆和湖泊呈块状或带状分布。
2020, 37(1): 18-26.
doi:10.11833/j.issn.2095-0756.2020.01.003
摘要:
目的分析人工林和次生林在养分分布方面的异同点和诱因,以掌握养分现状和变化规律及其在不同部位的存在情况。
方法以粤北南亚热带地区相近林龄的红锥
Castanopsis hystrix人工林、乐昌含笑
Michelia chapensis人工林和次生林为研究对象,对凋落叶、根系及土壤(0~20 cm)全碳、全氮、全磷的质量分数进行了测定。
结果① 凋落叶全碳和全磷质量分数在3种林分间无显著差异(
P>0.05),但红锥林凋落叶全氮质量分数显著高于乐昌含笑林和次生林;根系的全碳、全氮、全磷质量分数在3种林分间差异显著(
P< 0.05),且全氮和全磷质量分数均为乐昌含笑林>次生林>红锥林;土壤的全碳、全氮、全磷质量分数差异显著,且均为红锥林>次生林>乐昌含笑林。②碳氮比在3种林分中均为根系>凋落叶>土壤;碳磷比在红锥林和次生林中均为根系>凋落叶>土壤,而在乐昌含笑林中为凋落叶>根系>土壤;氮磷比在红锥林、乐昌含笑林和次生林中均为凋落叶>根系>土壤。而土壤的碳氮比、碳磷比、氮磷比在3种林分中均无显著差异(
P< 0.05);凋落叶的碳氮比、碳磷比均为乐昌含笑林最高,根系的碳氮比、碳磷比均为红锥林>次生林>乐昌含笑林。③红锥林根系全氮和全磷质量分数、乐昌含笑林和次生林凋落物全氮和全磷质量分数以及根系全氮和全磷质量分数呈显著正相关(
P< 0.05);3种林分凋落叶和根系的碳氮比和氮磷比无相关性(
P>0.05);红锥林和乐昌含笑林的凋落叶、根系和土壤的碳磷比与氮磷比均呈显著正相关(
P< 0.05),而次生林仅有凋落叶和土壤的碳磷比与氮磷比呈显著正相关(
P< 0.05)。
结论不同林分根系吸收土壤养分规律不同;与全国土壤养分均值相比,研究区域呈高氮低磷的格局,说明当地土壤受全磷限制,因此,可以根据需求适当施磷改善土壤养分。
2020, 37(1): 27-35.
doi:10.11833/j.issn.2095-0756.2020.01.004
摘要:
目的京津风沙源二期低效林改造工程的主要任务之一是提高森林物种多样性。探究影响北京市低效林林下物种多样性指数的环境因素并确定各环境因素影响大小。
方法以侧柏
Platycladus orientalis低效林为研究对象,对35个低效林样地开展调查,获取并计算各样地的物种多样性指数;利用最大熵模型研究10个立地环境因子与侧柏低效林林下物种多样性指数的关系,分析不同立地条件类型对侧柏林下物种多样性的影响。
结果影响物种多样性的主要环境变量为海拔、坡向、土壤全磷、坡度和土壤全钾,其累积贡献率之和达93.8%;采用提升土壤全磷、土壤全钾和微地形改造的措施后,侧柏低效林林下物种多样性高于筛选值的分布概率,由0.354分别提升至0.431、0.654和0.379,同时实施上述3种措施后,分布概率提升至0.738,单独和同时实施以上措施均有助于提高物种多样性。
结论改良立地条件可以提高侧柏低效林的林下物种多样性。
2020, 37(1): 36-42.
doi:10.11833/j.issn.2095-0756.2020.01.005
摘要:
目的探索森林恢复方式,改善杉木
Cunninghamia lanceolata林林分结构及维护生物多样性,对杉木人工林可持续经营和森林恢复活动具有理论和实践价值。
方法2017年10月选择浙江省杭州市临安区昔口村二代萌芽杉木幼龄林为研究对象,对其植物群落特征进行实地调查。
结果昔口村杉木萌芽幼龄林植物种类共104种,其中乔木层植物14种,灌木层植物58种,草本层植物41种,优势植被构成杉木-蓬蘽
Rubus hirsutus-蕨
Pteridium aquilinum群落;物种丰富度指数、Simpson指数、Shannon-Wiener指数、Pielou指数均为灌木层>草本层>乔木层;林下植被除部分优势种长势较好,多数植物种类数量较少且分布较稀疏。
结论在改善森林生态系统物种、结构、资源利用方面的异质性时,要考虑当地农户和社区的需求,选择当地乡土阔叶树种、适生阔叶树种进行补植,形成混交林,并辅以科学的抚育措施。
2020, 37(1): 43-50.
doi:10.11833/j.issn.2095-0756.2020.01.006
摘要:
目的探讨毛竹
Phyllostachys edulis茎秆快速生长与
PeATG1和
PeATG4基因表达的关系。
方法以毛竹笋竹茎秆为材料,采用透射电镜监测笋竹快速生长期不同时间(10:00、14:00、18:00、22:00、2:00和6:00)和不同部位(第4、7、10、13节)的自噬活性,并用实时荧光定量聚合酶链式反应(qRT-PCR)分析技术测定第7节
PeATG1和
PeATG4基因表达量。
结果对毛竹茎秆24 h自噬活性监测,22:00和2:00在第7节和第10节观察到自噬体;第4节和第13节没有观察到自噬体。在夜间,
PeATG1和
PeATG4转录水平表达增强,
PeATG1表达量在22:00最高,分别是18:00和6:00的3.0倍和1.3倍(
P< 0.05);
PeATG4表达量在2:00最高,分别是18:00和6:00的1.7和1.6倍(
P< 0.05)。
结论毛竹茎秆不同时间段的生长发育存在显著差异,夜间有自噬体形成,
PeATG1和
PeATG4基因表达量较高,茎秆生长迅速。
2020, 37(1): 51-59.
doi:10.11833/j.issn.2095-0756.2020.01.007
摘要:
目的探讨绿竹
Dendrocalamopsis oldhami矮化方法及矮化后绿竹生长规律及光合机制具有重要意义。
方法以福建省尤溪县出笋盛期绿竹笋为研究对象,不截梢为对照(ck),比较不同高度H
1(60 cm)、H
2(90 cm)、H
3(120 cm)、H
4(150 cm)、H
5(180 cm)绿竹笋截梢对绿竹形态指标、成竹率、叶绿素质量分数及叶绿素荧光参数的影响。
结果① 竹笋截梢后绿竹形态发生显著变化,株高与截梢前绿竹笋高度呈线性极显著负相关(
R
2=0.90,
P< 0.01),其中:H
5处理绿竹株高由对照的539.40 cm降低至234.70 cm,较对照降低了56.49%。随着绿竹株高降低,枝下高、节数及分枝率减少,主枝长度增加。竹笋截梢后绿竹成竹率为82.14%~85.71%,成竹率未达显著差异(
P>0.05)。②竹笋截梢显著提高绿竹叶绿素a、叶绿素b及总叶绿素,降低了叶绿素a/b。③竹笋截梢处理初始荧光(
F
o)与对照无显著差异。随着绿竹株高降低,PSⅡ最大光化学效率(
F
v/
F
m)和光化学猝灭系数(
q
P)增加,而非光化学猝灭系数(
q
NP)呈下降趋势。电子传递速率(
E
TR)和PSⅡ实际光量子效率(
Y
ield)增加,在H
5时达最大值,较对照分别提高了48.63%和42.17%。④Pearson相关性分析表明:绿竹株高与总叶绿素总量及叶绿素荧光参数
F
v/
F
m、
Y
ield、
E
TR显著负相关,与叶绿素a/b及
q
NP显著正相关。
结论绿竹笋高度H
5(180 cm)时截梢处理可有效控制高度生长,矮化后光化学功能进一步提高。
2020, 37(1): 60-68.
doi:10.11833/j.issn.2095-0756.2020.01.008
摘要:
目的明确引种区不同生命周期阶段樟子松
Pinus sylvestrisvar.
mongolica固沙林在种子萌发期的天然更新优势。
方法以科尔沁沙地南缘不同林龄樟子松固沙林种子为材料,采用聚乙二醇(PEG 6000)溶液(0、-0.054、-0.177、-0.393和-0.735 MPa)模拟不同干旱胁迫处理(ck、T
1、T
2、T
3和T
4)的方法,研究了其种子萌发与幼苗生长对干旱胁迫的响应特征及抗旱性。
结果在干旱胁迫下,樟子松种子总体表现为萌发率下降,种子萌发时滞增加,萌发速率下降,萌发历时T
4处理下显著缩短(
P< 0.05);樟子松种子萌发对干旱胁迫的响应还存在林龄间差异,28年生樟子松种子萌发率响应干旱胁迫的阈值最大,林龄小的种子萌发历时延长。在干旱胁迫下,幼苗生长相对值均有所下降,且总体随着干旱胁迫的加强先增大后减小,胚根长则有所增大,胚芽长和胚轴直径随着干旱胁迫的加强呈减小的趋势;林龄小的幼苗生长对干旱胁迫的响应更敏感。采用隶属函数法综合分析,不同林龄樟子松在种子萌发期抗旱性由强到弱依次为16、28、35、54年生。
结论樟子松种子通过降低萌发率、推迟萌发、延长萌发持续时间、减缓萌发速率、增加胚根生长适应干旱胁迫,种子萌发期的抗旱性随林龄的增加而降低,宜选用青壮年樟子松种子,结合立地条件进行人工促进樟子松固沙林的天然更新。
2020, 37(1): 69-75.
doi:10.11833/j.issn.2095-0756.2020.01.009
摘要:
目的为改善土壤氧气体积分数提供方法手段,以实现退化雷竹
Phyllostachys violascens林的可持续经营。
方法通过田间试验,利用原位氧测定方法,分析了埋管通气法对不同通气处理(覆盖不通气M,覆盖通气MA,不覆盖通气A及不覆盖不通气对照ck)下雷竹林土壤氧气体积分数的影响。
结果覆盖会造成雷竹林根系的低氧胁迫,土壤埋管通气能有效提高雷竹林土壤氧气体积分数。在土壤40 cm深的水平方向上,相比未通气地块,土壤氧气体积分数提高了2.20%~5.25%;在土壤垂直方向上,可提高各土层土壤氧气体积分数0.78%~4.98%。在覆盖处理时,埋管通气可提高土壤氧气体积分数1.26%~4.71%。在土壤含水饱和时,通气处理可提高土壤氧气体积分数0.69%~7.58%。
结论土壤埋管通气法能有效提高雷竹林土壤氧气体积分数,在雷竹林高效经营方面有较好的应用前景。
2020, 37(1): 76-84.
doi:10.11833/j.issn.2095-0756.2020.01.010
摘要:
目的为研究不同密度杉木
Cunninghamia lanceolata人工林土壤微生物对碳源的利用情况及土壤理化性质与微生物多样性的相关关系。
方法运用Biolog微平板技术,对江西大岗山5种不同密度38年生杉木人工林(密度分别为1 667、3 333、5 000、6 667和10 000株·hm
-2,造林前3 a抚育,后基本无人工干扰)土壤微生物的功能多样性进行研究,探讨了土壤微生物碳代谢对林分密度的响应及土壤理化性质与微生物碳代谢的关系。
结果在杉木存活密度为2 600~4 600株·hm
-2时,反映土壤微生物代谢功能多样性的平均颜色变化率较高。该密度范围下土壤微生物多样性高,适合有机质的分解和养分的转化与积累;不同密度杉木人工林土壤微生物对6种碳源的利用量不同,密度在2 600~4 600株·hm
-2时,土壤微生物利用的主要碳源为糖类,其次为羧酸类和氨基酸类,但密度小于或超出这一范围时,土壤微生物对羧酸类的利用大于对糖类的利用;主成分分析结果显示:α-D-乳糖对土壤微生物的利用贡献最大,是杉木人工林中利用最多的物质;相关性分析结果显示:全氮和碱解氮与微生物多样性显著相关(
P< 0.05),是微生物利用碳源的决定性因素。
结论综合考虑微生物碳代谢与土壤理化性质,符合杉木人工林可持续发展要求的理想林分密度为2 600株·hm
-2。
2020, 37(1): 85-92.
doi:10.11833/j.issn.2095-0756.2020.01.011
摘要:
目的研究稻草不同还田量下土壤动物群落结构特征。
方法在5 m×5 m的样方内,以未进行稻草还田的处理为对照(ck),采用手拣法和干、湿漏斗分离法,调查稻草还田后2个月和稻草还田后5个月,不同还田量[0.8(T
20)、0.4(T
10)、0.2(T
5)和0 kg·m
-2(ck)]处理下耕地土壤动物群落特征。
结果试验共捕获土壤动物1 194只,隶属于3门11纲19目44科,平均密度4.45×105只·m
-2;稻草还田处理后的样地土壤动物密度和类群数明显增加(
P< 0.05),土壤动物类群数排序为T
20(37)> T
10(30)> T
5(28)> ck(17)。土壤动物群落垂直分布明显,土壤动物密度随着土层加深而降低,具有明显的表聚性特征。稻草还田2个月后T
20处理的土壤动物多样性指数、均匀度指数、丰富度指数均最高,稻草还田后5个月T
10处理优势度指数最高。
结论农业生产上稻草切碎后覆盖还田宜选择0.8 kg·m
-2还田量。
2020, 37(1): 93-99.
doi:10.11833/j.issn.2095-0756.2020.01.012
摘要:
目的提高马尾松毛虫
Dendrolimus punctatus幼虫发生量预测预报结果的准确性。
方法利用灰色灾变预测GM(1, 1)模型预测了安徽省潜山县1989-2016年马尾松毛虫越冬代、1代和2代严重发生的年份。
结果马尾松毛虫越冬代虫口数的GM(1, 1)灾变预测模型为:
\begin{document}${\hat z^{(1)}}(k + 1) = 9.580\;75{{\rm{e}}^{0.269\;33k}} - 8.580\;75$\end{document}
, 其中
k为年序号,
\begin{document}${\hat z^{(1)}}(k + 1)$\end{document}
为灾变年序号。1代幼虫虫口数的GM(1, 1)灾变预测模型为:
\begin{document}${\hat z^{(1)}}(k + 1) = 18.181\;8{{\rm{e}}^{0.241\;87k}} - 17.181\;8$\end{document}
。2代幼虫虫口数的GM(1, 1)灾变预测模型为:
\begin{document}${\hat z^{(1)}}$\end{document}
(
k+1)=20.123 7e
0.197 58k-19.123 7。根据此模型求得已知年份的拟合值与观察值, 对两者差异进行
t检验, 差异均不显著, 即拟合值与观察值间吻合度高, 各灾变年精度值平均为84.40%, 84.85%和84.08%, 总体平均精度依次为96.25%, 92.34%和94.09%, 模型精度高。由此推算未来时刻的预测值得到, 从2011年马尾松毛虫越冬代幼虫灾变年算起, 再过10 a即2021年为马尾松毛虫越冬代大发生年。从2011年马尾松毛虫1代幼虫灾变年算起, 再过11 a即2022年为马尾松毛虫1代幼虫大发生年。从2011年马尾松毛虫2代幼虫灾变年算起, 再过9 a即2020年为马尾松毛虫2代幼虫大发生年。
结论灾变预测对马尾松毛虫幼虫发生量灾变的预报是一种较理想的预报方法。
2020, 37(1): 100-104.
doi:10.11833/j.issn.2095-0756.2020.01.013
摘要:
目的通过对马尾松
Pinus massoniana人工林密度指数模型的研究,为制定木材产量及质量的提升决策提供参考。
方法以河南省薄山林场马尾松人工林为研究对象,采用147块标准地数据,以林分平均胸径为输入向量,以林分密度为输出向量,建立了林分密度指数人工神经网络(ANN)模型,并与Reineke的林分密度指数模型进行比较。
结果① 薄山林场马尾松人工林最大密度线斜率
b为-1.516 3,马尾松标准平均胸径为14 cm,Reineke的林分密度指数模型精度为92.11%,
t检验结果显著;②构建了网络结构为1:2:1的林分密度指数ANN模型,模型拟合精度为92.57%,均方误差为0.001 469 7。③无论采用Reineke林分密度指数还是人工神经网络技术,在拟合株数密度随林分平均胸径的变化趋势时,幼龄林组拟合效果都不理想,这与幼龄林组数据数量偏少有关。
结论所建模型可为薄山林场马尾松抚育经营决策提供依据。
2020, 37(1): 105-113.
doi:10.11833/j.issn.2095-0756.2020.01.014
摘要:
目的森林立地质量评价是指对立地的宜林性或潜在的生产力进行判断和预测,目的在于建立浙江省杉木
Cunninghamia lanceolata人工林立地质量评价数量化理论模型。
方法提出1个新的立地质量评价指标:最大胸径生长率指标。以最大胸径生长率指标为立地评价指标,以浙江省1994-2009年国家森林资源清查(NFI)数据为基础,从NFI复位样木时间序列数据中提取529个杉木人工林样地优势木最大胸径生长率;结合易于获取的纬度、海拔、坡位、坡向、坡度、土壤类型等立地因子,基于数量化理论Ⅰ方法,建立杉木人工林立地质量评价模型。
结果模型统计检验值为14.723,模型复相关系数为0.606,达极显著水平,模型效果较理想。基于NFI的最大胸径生长率是立地质量评价的合适指标;坡向、坡位、土壤类型、坡度、纬度、海拔等立地因子对最大胸径生长率贡献依次减弱。
结论基于NFI和数量化理论Ⅰ的浙江省杉木人工林立地质量评价模型总体指标合理,克服了传统立地质量评价对年龄的依赖,能有效利用NFI历史数据,适用于同龄林和异龄林;构建以最大胸径生长率为指标的立地质量评价模型,能对研究区立地质量进行有效评价,不仅可对现有杉木人工林生产力进行评价,也可以对无林地的生产潜力进行预测。
2020, 37(1): 114-121.
doi:10.11833/j.issn.2095-0756.2020.01.015
摘要:
目的树冠外轮廓模型不仅能够描述任意位置处树冠半径,而且能够推导预测树冠体积与树木地上部分生物量。根据福建地区98块杉木
Cunninghamia lanceolata人工林样地的413株杉木调查数据,构建了具有同一套模型参数的树冠外轮廓模型和树冠体积预测联立方程组系统。
方法选取4种常用的可积分树冠外轮廓备选模型,利用积分法对备选模型进行推导,得到树冠体积预测模型;将模型方程分别两两联立建立树冠外轮廓与体积相容性联立方程组,并利用SAS软件模块中的似乎不相关回归过程估计联立方程组模型系统的参数。为了消除模型异方差,采用加权回归方法拟合模型,并对不同模型系统的拟合精度、预测精度进行对比分析。
结果基于模型4的联立方程组拟合精度高、预测性能好,其树冠外轮廓和体积拟合精度分别达到0.829 5和0.861 0,预测结果精度分别为0.803 9和0.856 0;通过似乎不相关回归法解决了联立方程组共线性问题,加权回归方法一定程度上消除了模型中存在的异方差性。
结论所构建的树冠外轮廓-体积一致性模型方程实现了树冠外轮廓与体积模型之间互相推导,为进一步估测树木地上部分生物量提供了理论依据。
2020, 37(1): 122-128.
doi:10.11833/j.issn.2095-0756.2020.01.016
摘要:
目的探索立地因子与桉树
Eucalyptus适宜性之间的关系,开展树种适宜性研究,为桉树适宜性研究提供新思路,为科学造林提供支持。
方法以广西桉树人工林为研究对象,选取广西国有高峰林场的1 883个森林资源小班调查数据,分别运用朴素贝叶斯、支持向量机、随机森林算法作为树种适宜性评价方法,构建桉树适宜性分类模型。输入为地貌类型、海拔、坡向、坡位、坡度、凋落物厚度、腐殖质层厚度、土层厚度、石砾含量、成土母质,土壤类型等11个立地因子信息,输出为桉树适宜性。
结果3种算法构建的模型拟合精度依次为63.18%、69.73%、78.03%,泛化精度依次为64.33%、67.93%、78.18%。相比于朴素贝叶斯、支持向量机算法,随机森林算法分类效果更好。立地因子重要性排序由高到低依次为:海拔、土层厚度、坡向、坡度、石砾含量、凋落物厚度、坡位、腐殖质层厚度、土壤类型、地貌类型、成土母质。200~350 m海拔、80~100 cm土层厚度的地区比较适宜桉树生长。
结论基于机器学习算法构建的桉树适宜性评价模型可以较好地对桉树的适宜性做出预测。
2020, 37(1): 129-135.
doi:10.11833/j.issn.2095-0756.2020.01.017
摘要:
目的云南文山三七
Panax notoginseng作为经济价值较高的中草药,其产量多少与价格波动之间存在着较紧密的联系,实时准确地掌握三七种植面积,对于当地政府相关管理部门科学指导三七种植规模和确定价格等宏观调控具有重要意义。
方法以文山州4个三七主产县为研究区域,基于国产16 m分辨率的高分1号(GF-1)开源影像,根据三七的生长环境特点对专家决策树模型进行改进,并通过决策树分类法提取三七的荫棚图斑。在对三七荫棚识别可靠度和面积提取精度评价中,采用了谷歌影像代替实地调绘和以目视解译结果作为图斑面积基准的方法。
结果决策树分类成果和目视解译提取的图斑判定正确率分别为87%和99%;专家决策树分类提取的成果整体面积精度为80%。
结论与传统基于高分辨率商业影像采用目视解译的人工勾绘图斑方法相比,基于GF-1影像的三七面积提取所采用的方法能够在保证一定精度的条件下,以较快速度开展文山三七种植资源的调查,为当地特色农产品种植的科学监管与价值估算提供基础数据与有效技术支持。
2020, 37(1): 136-142.
doi:10.11833/j.issn.2095-0756.2020.01.018
摘要:
目的不同农作物种类光谱差异小,通过探测众多窄波段范围的细微差别,提取区分不同农作物的特征波段,是目前实现农作物高光谱遥感识别的重要途径。如何提取区分不同农作物的特征波段,进而实现农作物的精确识别是一个挑战。近来出现的随机森林方法在多变量目标的分类识别方法展现了优势,为解决这一难题提供了一个新手段。
方法利用随机森林法与传统方法分析杭州地区8种典型农作物的反射光谱,提取特征波段并进行分类,对比不同方法的识别效果。
结果不同作物的反射光谱及其一阶微分、二阶微分、倒数的对数、去包络线法所提取的特征波段只能区分部分作物;随机森林法无需对反射光谱预处理,直接对全波段反射光谱数据处理,不仅筛选出了区分不同作物的特征波段,且运用所选择的波段对作物进行随机森林分类的效果也是最优的。
结论随机森林法选择的波段(550、2 490、370、770、560、380、540、530、570、350 nm)不仅能区分不同作物,还能反映农作物生化属性的不同,使得用于分类的波段及分类方法体现了不同作物间物化性质的不同,在展现高光谱遥感识别农作物优势的同时,也为大面积农作物遥感精细分类提供借鉴。
2020, 37(1): 143-150.
doi:10.11833/j.issn.2095-0756.2020.01.019
摘要:
目的建立一套适合南瓜
Cucurbita moschata资源的评价方法。
方法以10个南瓜品种为试材,测定植株生长、果实、质地、种子、品质等相关的30个指标,并利用主成分分析法对南瓜进行综合评价。
结果不同南瓜品种间各性状存在显著差异。‘玩偶’‘Doll’的雌首花节位最高,‘红栗’‘Red Chestnut’和‘蜜本’‘NGMB’分枝性较强,‘日本黑’‘Black Japan’的叶柄直径、叶片显著大于其他9个品种,叶绿素SPAD值则最低,‘旭日’‘Rising Sun’和‘锦栗’‘Jin Li’的叶绿素SPAD值显著高于其他品种。‘锦栗’的可溶性糖和淀粉质量分数均最高。‘红栗’果肉色度值最高,色度角最低,周长最大,单果质量最大。奶油系列和‘黄狼’‘Yellow Wolf’果肉较硬,‘奶油NL1’‘Cream NL1’‘奶油Y’‘Cream Y’和‘黄狼’的果皮韧性差异显著。‘旭日’种子数最多,‘奶油’南瓜系列种子数较少;‘红栗’种子质量最大,且其种子的纵径和厚度显著大于其他品种。主成分分析共提取了5个主成分,累积贡献率达87.240%。
结论以5个主成分及单个主成分所对应的特征值占提取主成分特征值和的比例作为权重,构建了南瓜综合评价模型,综合得分最好的品种为‘红栗’,‘奶油NL1’最差。
2020, 37(1): 151-157.
doi:10.11833/j.issn.2095-0756.2020.01.020
摘要:
目的探讨成熟度对常规粳稻
Oryza sativa种子质量的影响。
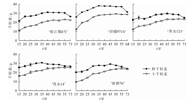
方法以‘春江糯6号’‘Chunjiangnuo 6’、‘绍糯9714’ ‘Shaonuo 9714’、‘秀水121’‘Xiushui 121’、‘秀水14’‘Xiushui 14’和‘浙粳70’‘Zhejing 70’等5个常规粳稻品种为材料,比较并分析成熟度对鲜种子含水量、千粒重及发芽率的影响。
结果鲜种子含水量随成熟度增加不断降低。与正常收获时期(‘绍糯9714’在盛花期后68 d,其他品种在盛花期后73 d)的种子相比,5个粳稻品种的干千粒重于盛花期后50~55 d达最大值,增加了0.9%~2.6%,以‘春江糯6号’和‘绍糯9714’增长最为明显。5个粳稻品种种子的发芽率随收获期延长先增加后降低,发芽率均于盛花期后50 d达到最大,与正常收获时期的种子相比发芽率增加了1.0%~7.1%,以‘秀水121’增长最为明显。相关分析表明:鲜种子含水量和千粒重均与发芽率显著或极显著相关。对不同粳稻品种鲜种子含水量与发芽率进行二次项建模可较好地预测种子发芽率,回归方程为:
y=-0.099 6
x
2+5.739 5
x+15.883 0。
结论随成熟度增加,粳稻不同品种种子质量逐渐升高,千粒重和发芽率在达到最大值后趋于平稳,如收获过迟则会引起种子质量下降。
2020, 37(1): 158-164.
doi:10.11833/j.issn.2095-0756.2020.01.021
摘要:
目的为引种栎木的科学利用提供理论依据。
方法以14年生美国红橡纳塔栎
Quercus nuttallii、水栎
Quercus nigra、舒玛栎
Quercus shumardii为对象,采用富兰克林解离法及X-射线衍射法(XRD)研究其纤维形态、微纤丝角及结晶度,并对数据进行方差分析及回归分析。
结果3种美国红橡纤维长度分别为1 172.14、1 178.68和1 162.45 μm,纤维宽度分别为15.86、16.56和16.91 μm,种间差异均不显著(
P>0.05);双壁厚度分别为10.23、11.19和10.96 μm,壁腔比分别为1.85、2.10和1.91,种间差异均显著(
P< 0.05);3种美国红橡的微纤丝角分别为33.79°、30.48°和34.10°,结晶度分别为51.35%、53.30%和52.97%,种间均具有极显著差异(
P< 0.01)。3种美国红橡纤维长度、宽度、双壁厚、壁腔比以及结晶度均随生长轮的增加呈增长趋势,微纤丝角随生长轮的增加呈下降趋势,并且年轮间存在着一定的波动。
结论14年生纳塔栎、水栎和舒玛栎纤维尺寸、微纤丝角、结晶度径向变化尚未稳定,仍处于幼龄期。纤维长度、宽度、双壁厚及微纤丝角与生长轮有较好的拟合关系。
2020, 37(1): 165-170.
doi:10.11833/j.issn.2095-0756.2020.01.022
摘要:
目的探讨铜唑(CuAz)防腐剂对重组木化学组分、防腐性能和物理力学性能的影响,以提高重组木的户外耐久性。
方法采用水溶性CuAz防腐剂对杨木纤维化单板进行常压和真空浸渍处理,以酚醛胶为胶黏剂压制防腐重组木。
结果CuAz防腐剂能进入导管、木射线和纤维等细胞的细胞腔和细胞壁中,并与细胞壁的半纤维素和木质素发生络合反应。经过白腐采绒革盖菌
Coriolus versicolor和褐腐密黏褶菌
Gloeophyllum trabeum12周侵蚀,防腐重组木的质量损失率均小于10%,达到强耐腐等级。防腐重组木的吸水率、吸水厚度膨胀率和吸水宽度膨胀率均低于未经防腐处理的重组木。同时,防腐重组木的弹性模量和水平剪切强度优于未经防腐处理的重组木,但静曲强度相比对照组有所降低。
结论CuAz防腐剂处理重组木,可提高重组木耐腐性能,改善其物理力学性能。
2020, 37(1): 171-181.
doi:10.11833/j.issn.2095-0756.2020.01.023
摘要:
热岛效应导致城市人居热环境恶化,并造成能源的巨大消耗,如何有效缓解热岛效应已成为迫切需要解决的问题。植被可以通过遮蔽长短波辐射和蒸腾等作用起到降低气温、增加湿度的效果,因此,城市绿化已成为一种缓解热岛效应的重要技术手段。为继续推动植被对城市热岛效应影响的研究,分别从研究现状、研究内容和研究方法、存在问题与展望等方面对国内外的相关研究进行梳理与综述。首先从城市热岛效应的研究起源、观测方式等角度梳理了国内外的研究进展。在此基础上,进一步分析了植被对城市气温的调节机理,并分别从植被垂直结构、水平结构、冠层结构等空间结构视角与植被遥感指数视角,进一步对植被的降温效应机理进行了综述。其中,植被冠层结构包含叶面积指数、冠幅、郁闭度、绿量等参数,遥感指数包含归一化植被指数、植被覆盖度、绿度植被指数等参数。除对国内外的研究现状进行综述外,还总结了目前绿地降温效应研究中的主要问题,并在未来研究方向等方面提出建议,为后续研究提供借鉴和参考。
热岛效应导致城市人居热环境恶化,并造成能源的巨大消耗,如何有效缓解热岛效应已成为迫切需要解决的问题。植被可以通过遮蔽长短波辐射和蒸腾等作用起到降低气温、增加湿度的效果,因此,城市绿化已成为一种缓解热岛效应的重要技术手段。为继续推动植被对城市热岛效应影响的研究,分别从研究现状、研究内容和研究方法、存在问题与展望等方面对国内外的相关研究进行梳理与综述。首先从城市热岛效应的研究起源、观测方式等角度梳理了国内外的研究进展。在此基础上,进一步分析了植被对城市气温的调节机理,并分别从植被垂直结构、水平结构、冠层结构等空间结构视角与植被遥感指数视角,进一步对植被的降温效应机理进行了综述。其中,植被冠层结构包含叶面积指数、冠幅、郁闭度、绿量等参数,遥感指数包含归一化植被指数、植被覆盖度、绿度植被指数等参数。除对国内外的研究现状进行综述外,还总结了目前绿地降温效应研究中的主要问题,并在未来研究方向等方面提出建议,为后续研究提供借鉴和参考。
2020, 37(1): 182-187.
doi:10.11833/j.issn.2095-0756.2020.01.024
摘要:
目的研究不同条件下,黄薇
Heimia myrtifolia的花粉萌发及花粉管生长情况。
方法以黄薇为材料,采用花粉离体萌发法研究不同温度、蔗糖质量浓度和硼酸质量浓度对黄薇花粉萌发及花粉管生长的影响;用联苯胺-过氧化氢法测定柱头可授性,研究不同质量浓度萘乙酸、赤霉素、6-苄基腺嘌呤对黄薇柱头可授性的影响,并对黄薇花粉与柱头进行电镜扫描观察。
结果① 不同温度、蔗糖质量浓度、硼酸质量浓度对黄薇花粉的萌发生长影响差异明显,培养黄薇花粉适宜温度为35℃,蔗糖适宜质量浓度为50.0~150.0 g·L
-1,硼酸适宜质量浓度为0.5~1.0 g·L
-1;②黄薇柱头可授性受时间影响,在开花6~8 h柱头可授性最强;③不同植物生长调节剂对黄薇柱头可授性影响差异明显,提高黄薇柱头可授性最适质量浓度为萘乙酸10.0 mg·L
-1、赤霉素200.0~400.0 mg·L
-1、6-苄基腺嘌呤20.0 mg·L
-1;④黄薇柱头直径为425.78~546.93 μm,花粉极轴长为23.15~26.74 μm,赤道轴长为18.02~20.03 μm,属小型花粉。
结论黄薇人工授粉的最佳时期在开花后6~8 h,结合一定质量浓度的植物生长调节剂,可以有效提高结实率。
2020, 37(1): 188-194.
doi:10.11833/j.issn.2095-0756.2020.01.025
摘要:
目的以闽楠
Phoebe bournei近成熟胚为外植体,采用多种方法建立闽楠微扦插繁殖体系。
方法探究不同子叶切除强度对胚褐化的影响,以及抗褐化剂和吲哚丁酸(IBA)对近成熟胚萌发和无菌苗微扦插生根的影响。
结果闽楠近成熟胚褐化的主要部位为子叶,子叶切除后胚可以萌发但不能正常生长,添加聚乙烯基吡咯烷酮(PVP)对抑制子叶褐化有明显效果且不影响胚的萌发。近成熟胚萌发最佳培养基为1/2MS+0.2 mg·L
-1IBA+2 g·L
-1PVP,萌发率最高可达89.71%。无菌苗微扦插最佳生根培养基为1/2MS+1.5 mg·L
-1IBA+2 g·L
-1PVP,顶芽生根率为100%,平均生根数为3.86条,平均根长1.56 cm;侧芽生根率为60.27%,平均生根数为1.55条,平均根长0.85 cm。筛选出的3号株系的繁殖系数达24.40。
结论研究结果可为闽楠良种繁育提供参考。





























