-
土壤是岩石圈、大气圈、水圈和生物圈共同作用的产物,土壤也是全球生物地球化学循环重要参与者。土壤发生与地球化学特征研究是土壤地理学研究中的重要组成部分。在自然成土因素的影响下,土壤中的各种元素存在不同程度的迁移和再分配,不同土壤发生层中元素的含量与组成特征,较好地记录了土壤形成时物质迁移和累积的信息,并通过这些信息指示土壤的发育程度。随着成土时间的推移,风化成壤作用会不断加深,土壤中常量元素的地球化学特征不断发生变化。土壤的地球化学特征与其发育过程是密不可分的,土壤发育会使其地球化学特性发生变化,而土壤的地球化学特征则可以反映土壤的发育过程和程度[1]。土壤发育的本质就是土壤中不同元素进行一系列的重新组合与迁移的过程。由于常量元素地球化学特性的差异,在土壤剖面中会导致钠(Na)、钾(K)、钙(Ca)、镁(Mg)的淋失速度较快,硅(Si)的淋失速度较慢,而铝(Al)、铁(Fe)相对富集的现象[2-3]。许多学者运用元素地球化学手段对土壤发育过程进行了研究。EFFOUDOU-PRISO等[4]对喀麦隆杜阿拉沉积环境的风化过程中常量元素的研究发现:铁铝土中二氧化硅(SiO2)的含量最高,氧化铝(Al2O3)、三氧化二铁(Fe2O3)和二氧化钛(TiO2)次之,氧化钾(K2O)、氧化钠(Na2O)、氧化镁(MgO)和氧化钙(CaO)的含量极低。陈武等[5]对贵州3个典型喀斯特地区土壤的研究发现:石灰土中矿物元素的淋溶较为强烈。RATE等[6]对伊拉克库尔德斯坦地区钙质森林土壤的元素地球化学特征研究表明:该地区土壤强烈的风化作用促进微量元素的淋失,Na、K、Ca和锶(Sr)元素的土层深度分布差异能够有效指示不同浓度溶质向下淋溶和向上蒸发对土壤水分平衡具有的重要作用。黄成敏等[7]对海南岛北部玄武岩发育土壤的特性研究发现:随着风化成土时间的增加,土体中Ca、Mg、K、Na元素大量淋失,SiO2含量也不断降低,同时Al2O3、Fe2O3、TiO2的含量不断增加。李建武等[8]关于海南岛东北部玄武岩发育的红色风化壳的研究表明:土壤中水溶性元素大量淋失,Fe和Al等元素的迁移反映基岩发育土壤自上而下的风化渐进特征。杨艳芳等[9]对雷州半岛玄武岩发育土壤的研究发现:硅铁铝率(Saf)和硅铝率(Sa)在土壤风化早期具有一定的指示作用,土壤中的硅铝率和硅铁铝率的变化也在一定程度上反映土壤中存在生物复硅现象。因此,土壤发生与地球化学特征研究不仅能为土壤形成的地质背景与气候环境提供重要信息,也为探究土壤的发生与演化规律、完善土壤系统分类奠定基础。中国不同地区的土壤的元素化学组成特征,主要受气候、生物、地形、母质等因素的制约。因此,本研究通过玄武岩发育土壤的元素地球化学特征分析,对比研究不同剖面土壤的常量元素质量分数以及不同土壤发生层中常量元素的迁移特征,阐明亚热带地区玄武岩发育土壤的发育程度和演变规律,为浙江省玄武岩发育土壤的多元特征以及中国亚热带地区土壤的发生和演化过程提供参考。
-
本研究选择浙江东部新嵊盆地玄武岩分布区作为研究区域。该区域是浙江新生代玄武岩中溢流相玄武岩最主要的分布区,以碱性橄榄玄武岩为主[10]。岩石主要呈黑色,为致密块状,在岩石顶部和底部具有杏仁构造和气孔构造,有拉斑结构,斑晶成分以橄榄石为主,有少量辉石,基质有间隐结构,成分主要为基性斜长石[11-12]。研究区位于中国东部沿海浙闽丘陵的一带,地貌类型多样,以低山丘陵为主。区域内土壤主要为红壤、黄壤等。研究区属亚热带季风气候,四季分明,年均气温为16.6 ℃。水热条件丰沛,年均降水量为1 500.0 mm,雨热同期,降水量夏季多冬季少,分配较不均匀,夏季受季风影响较大。
根据新嵊盆地玄武岩的分布情况,结合土壤地理学的工作方法开展野外实习调查,系统地采集岩石和土壤样品,获得较为全面的研究材料。选取研究区域内4个玄武岩发育土壤剖面,即:
AJ剖面:位于嵊州市新昌县庵基山(29°37′32″N,120°47′52″E,海拔197 m)。剖面上部0~15 cm为A层,土壤质地为壤黏土,土体黑色,润,粒状,团粒结构,松散,存在大量根系;15~25 cm为B层,土壤质地为黏土,土体棕黑色,润,弱块状,稍紧,存在中量根系;50~100 cm为C层,土壤质地为黏壤土,土体棕褐色,润,块状,紧实,存在中量原岩碎块,存在半风化球体。
CR剖面:位于嵊州市崇仁镇下五山(29°42′30″N,120°43′44″E,海拔220 m)。剖面上部0~20 cm为A层,土壤质地为壤黏土,土体黑色,润,粒状,团粒结构,松散,存在大量根系;20~65 cm为B层,土壤质地为黏土,土体棕黄偏黑色,干,粉状,疏松,存在半风化球体;65~163 cm为C层,土壤质地为黏壤土,土体棕黄色,干,松散,存在大量原岩碎块。
SC剖面:位于嵊州市新昌县双彩乡(29°35′19″N,120°49′00″E,海拔203 m)。剖面上部0~10 cm为A层,土壤质地为壤黏土,土体棕褐色,润,粒状,团粒结构,松散,存在大量根系;10~19 cm为B层,土壤质地为黏土,土体棕黄色,润,小块状,稍紧,存在中量根系,存在大量黑色铁锰;19~50 cm为C层,土壤质地为黏壤土,土体灰黄色,润,稍紧,存在少量原岩碎块及半风化球体。
SJ剖面:位于嵊州市三界镇砂厂附近(29°42′11″N,120°53′54″E,海拔188 m)。剖面上部0~10 cm为A层,土壤质地为壤黏土,土体黑色,润,粒状,团粒结构,松散,存在大量根系;10~30 cm为B层,土壤质地为黏土,土体棕黑色,润,弱块状,稍紧;30~140 cm为C层,土壤质地为黏壤土,土体棕色,润,紧实。
按照土壤发生层采样,每层采取土样6~8个。实验室分析方法主要包括:①样品处理。将土壤样品放置阴凉处,自然风干后用木棒压碎,然后在玛瑙研钵中磨细,并分别过10、60、100、200目筛,储存备用。②基础理化性质分析。采用水土比2.5:1.0电位法,用酸度计测定土壤pH值。用重铬酸钾-硫酸硝化法测定土壤有机质(SOM)[13]。③土壤元素分析。常量元素:分析采用过100目筛的土壤样品,用偏硼酸锂熔融-等离子发射光谱仪(ICP-AES)法测定所采集的岩石和土壤样品中的常量元素,并作全程空白实验,然后插入国家标准土壤样品(GSS-3和GSS-8)一同消化测定,同时进行质量控制[13]。痕量元素:主要指文中作为稳定元素钍(Th)等。分析采用过200目筛的土壤样品,用Finnigan Element Ⅱ型高分辨率电感耦合等离子质谱仪(HR-ICP-MS)进行土壤样品中痕量元素的测定[14]。
主要采用Excel、Origin、MapInfo等进行数据的相关分析和图表的绘制。指标计算方法如下:①分子比率(硅铁铝率RSaf和硅铝率RSa),用来说明土壤矿物的风化程度,在同一剖面的差异也可以说明剖面中的黏粒及铁、铝等物质的迁移或富集情况[15]。
$$ {R_{{\rm{Saf}}}} = {W_{{\rm{Si}}{{\rm{O}}_{\rm{2}}}}}/\left( {{W_{{\rm{A}}{{\rm{l}}_{\rm{2}}}{{\rm{O}}_{\rm{3}}}}} + {W_{{\rm{F}}{{\rm{e}}_{\rm{2}}}{{\rm{O}}_{\rm{3}}}}}} \right); $$ (1) $$ {R_{{\rm{Sa}}}} = {W_{{\rm{Si}}{{\rm{O}}_{\rm{2}}}}}/{W_{{\rm{A}}{{\rm{l}}_{\rm{2}}}{{\rm{O}}_{\rm{3}}}}}。 $$ (2) 式(1)和式(2)中:WSiO2、WAl2O3、WFe2O3分别为SiO2、Al2O3和Fe2O3在土壤和岩石中的质量分数。②化学风化指数(chemical index of weathering,ICIW)和化学蚀变指数(chemical index of alteration,ICIA),可以反映岩石风化、土壤成土过程中K、Na、Ca的相对损失量[16-17]。
$$ {I_{{\rm{CIW}}}} = {W_{{\rm{A}}{{\rm{l}}_{\rm{2}}}{{\rm{O}}_{\rm{3}}}}}/\left( {{W_{{\rm{A}}{{\rm{l}}_{\rm{2}}}{{\rm{O}}_{\rm{3}}}}} + {W_{{\rm{CaO}}}} + {W_{{\rm{N}}{{\rm{a}}_{\rm{2}}}{\rm{O}}}}} \right); $$ (3) $$ {I_{{\rm{CIA}}}} = {W_{{\rm{A}}{{\rm{l}}_{\rm{2}}}{{\rm{O}}_{\rm{3}}}}}/\left( {{W_{{\rm{A}}{{\rm{l}}_{\rm{2}}}{{\rm{O}}_{\rm{3}}}}} + {W_{{\rm{CaO}}}} + {W_{{\rm{N}}{{\rm{a}}_{\rm{2}}}{\rm{O}}}} + {W_{{{\rm{K}}_{\rm{2}}}{\rm{O}}}}} \right)。 $$ (4) 式(3)和式(4)中:WAl2O3、WCaO、WNa2O、WK2O分别为Al2O3、CaO、Na2O和K2O在土壤和岩石中的质量分数。③元素变化率ΔX计算方法:本研究采用Th作为稳定元素来计算元素变化率,公式为:
$$ \Delta X = \left[ {\left( {{X_{\rm{s}}}/{I_{\rm{s}}}} \right)/\left( {{X_{\rm{r}}}/{I_{\rm{r}}}} \right) - 1} \right] \times 100\% 。 $$ (5) 式(5)中:Xs、Xr分别为X元素在土壤和岩石中的质量分数;Is、Ir分别是稳定元素在土壤和岩石中的质量分数。ΔX>0表示该元素在成土过程中发生富集,ΔX<0则表示该元素在成土过程中有亏损或迁移。
-
表 1表明:浙江省东部新嵊盆地玄武岩发育土壤剖面的常量元素组成以SiO2、Al2O3和Fe2O3为主,三者总量超过70%。其中SiO2质量分数最高,最大值可达48.63%,Al2O3和Fe2O3质量分数分别可达13%和11%以上。TiO2质量分数较高,为1.88%和2.92%。CaO、K2O、MgO、Na2O、MnO2和P2O5质量分数较低,其中K2O、Na2O、MnO2和P2O5质量分数均不足2.5%,MgO和CaO质量分数波动较大,分别为0.41%~5.62%和0.29%~6.97%。从剖面内部自上而下来看,土壤样品的Al2O3、Fe2O3和TiO2质量分数均表现为母质层(C)低于表土层(A)和淀积层(B)。SiO2、CaO、K2O、MgO和Na2O的规律与Al2O3、Fe2O3相反,它们的质量分数沿土壤剖面自上而下逐渐增加。SiO2、CaO和MgO在0~50 cm变化较大,表明表层土壤淋失较为强烈,50 cm以下则淋失程度逐渐减弱。由于极易发生淋溶,Na2O、K2O的质量分数在整个土体中淋失严重,故随土壤深度变化较小。值得说明的是,AJ剖面中常量元素的质量分数在70 cm深度处出现异常偏高值,这可能是由该处存在的半风化球体干扰造成。
表 1新嵊盆地玄武岩发育土壤的常量元素质量分数
Table 1.Major element contents in the soils derived from basaltic in Xinchang-Shengzhou Basin
剖面 层次 常量元素质量分数/% Al2O3 CaO Fe2O3 K2O MgO MnO Na2O P2O5 SiO2 TiO2 AJ A 13.53 0.86 14.88 0.52 0.82 0.23 0.10 0.21 46.95 2.92 B 14.47 0.80 14.81 0.42 0.82 0.27 0.55 0.27 46.21 2.18 C 13.17 0.29 14.27 0.61 0.41 0.29 0.49 0.24 48.03 1.88 CR A 13.96 0.52 14.09 1.03 0.38 0.19 0.45 0.55 42.92 2.44 B 14.48 1.35 12.58 1.12 1.65 0.22 1.12 0.43 46.08 2.17 C 13.33 2.60 11.41 1.09 2.20 0.18 1.29 0.43 48.19 2.11 SC A 14.23 3.02 12.67 1.28 3.12 0.19 1.26 0.38 46.55 2.40 B 15.04 4.10 13.03 1.45 4.29 0.19 1.59 0.30 45.89 2.06 C 13.74 6.97 11.72 1.46 5.62 0.19 2.48 0.42 48.63 2.00 SJ A 15.53 3.34 12.81 1.49 3.82 0.16 1.78 0.42 44.98 2.40 B 15.31 3.79 12.31 1.49 4.06 0.14 2.12 0.46 47.67 2.29 C 15.26 4.28 11.91 1.49 4.03 0.14 2.11 0.43 48.12 2.16 新嵊盆地玄武岩发育土壤中B层的Al2O3和Fe2O3的质量分数略高于A层,这种现象可能是由于亚热带气候条件下较强淋溶作用下,Al和Fe易发生从土壤表层向下迁移并在B层淀积。与母岩对比,研究区域土壤剖面的不同常量元素的质量分数表现出不同的规律。Al2O3、Fe2O3和TiO2的质量分数较母岩具有富集特征,而CaO、K2O、MgO、Na2O等易溶性元素则淋失严重,质量分数远低于母岩。由于研究区域玄武岩母岩属碱性橄榄玄武岩,具有高镁、低铝、高钛、高碱的特点[12],同时研究区地处亚热带,水热丰沛,化学风化较为强烈,生物循环较为活跃,元素迁移能力较强,矿物质风化形成的弱碱性条件使可溶性盐,碱基离子和硅酸大量淋溶流失,而含水铁、铝氧化物相对聚集,形成富含铁、铝的土体。随着盐基的不断淋溶,风化层上部变为酸性。当酸性达到一定程度时,含水的Fe、Al氧化物开始溶解,并具有流动性,但一般向下移动不深,旱季可随毛管水上升至表层,经脱水以凝胶形式聚积或形成Fe、Al结核体,又因土体上部植物残体矿化提供盐基较丰富,酸性较弱,故含水Fe、Al氧化物活性也较弱,多淀积,更利于Fe、Al残余积聚层的形成,从而造成Al和Fe在土壤中富集。综上所述,新嵊盆地土壤常量元素的组成特征表明该地区玄武岩母质发育的土壤经历了较为强烈的化学风化过程和脱硅富铁铝作用。
-
分子比率(硅铁铝率RSaf和硅铝率RSa)、化学蚀变指数(ICIA)、化学风化指数(ICIW)等指数,已被广泛应用于土壤化学风化程度的评价。化学蚀变指数(ICIA)是判断源区物质化学风化程度的地球化学指标[12],ICIA越高指示该土壤经历的化学风化程度越强烈[18]。HARNOIS[16]提出ICIW与ICIA相似,但ICIW反映Na、Ca的相对损失量。新嵊盆地玄武岩发育土壤的平均ICIA介于42.81%~87.37%,ICIW平均值在45.04%~91.43%(表 2),表明研究区土壤经历了较为强烈的化学风化过程,这与该区域位于亚热带气候区有关[18]。ICIA和ICIW在同一剖面内的变化趋势一致,土壤剖面自母岩到半风化层至土壤层ICIW与ICIA均呈现逐渐增大的趋势,指示原位母岩发育土壤自下而上风化程度逐渐增强的成壤过程。半风化层中的ICIA和ICIW有个别偏高的现象,可能与这些层次中存在球状风化物有关。
表 2玄武岩发育土壤的化学风化指标
Table 2.Chemical weathering indexes of the soils derived from basilt
剖面 层次 RSa RSaf ICIA ICIW AJ A 5.90 3.47 85.63 88.80 B 5.43 3.29 83.76 86.04 C 6.20 3.67 87.37 91.43 CR A 5.23 3.18 83.59 89.58 B 5.42 3.49 73.14 77.95 C 6.15 3.98 63.05 66.85 SC A 5.56 3.55 61.49 65.43 B 5.19 3.34 56.32 59.85 C 6.02 3.90 42.81 45.04 SJ A 4.93 3.23 59.39 63.30 B 5.29 3.50 56.05 59.57 C 5.42 3.61 54.72 58.07 硅铝率(RSa)和硅铁铝率(RSaf),能够指示土壤的脱硅富铁铝的过程,反映土壤风化过程的强弱。RSa和RSaf越大,表明脱硅富铁铝程度越低,风化成壤作用也越弱[14]。研究区土壤自母岩到半风化层至土壤层,RSa和RSaf呈现逐渐减小的趋势,指示剖面自下而上脱硅富铁铝程度逐渐增强。AJ和SC剖面表层土壤RSa和RSaf呈略有增加的趋势,即A层的RSa和RSaf略高于B层,同时CR和SJ剖面A层上部土壤RSa和RSaf也略高于A层下部,这类现象可能与土壤表层的生物富硅现象有关。
-
本研究采用Person相关分析对研究区土壤样品中的常量元素质量分数进行了相关性分析(表 3)。结果显示:SiO2、CaO、K2O、MgO、Na2O、P2O5元素质量分数普遍与Al2O3、Fe2O3、TiO2、MnO元素质量分数呈负相关关系。这是因为研究区地处亚热带,气候高温多雨,水热条件充沛,造成SiO2、CaO、K2O、MgO、Na2O、P2O5等易迁移元素大量淋湿,Al2O3、Fe2O3、TiO2、MnO等稳定元素相对富集。
表 3玄武岩发育土壤中不同元素质量分数的相关性
Table 3.Correlation between element contents of soils derived from basilt
化合物 Al2O3 Fe2O3 SiO2 CaO K2O MgO Na2O TiO2 MnO P2O5 Al2O3 1.00 Fe2O3 -0.06 1.00 SiO2 -0.30 -0.54** 1.00 CaO -0.43* -0.57** 0.64** 1.00 K2O -0.52** -0.71** 0.09 0.16 1.00 MgO -0.11 -0.85** 0.43** 0.79** 0.59** 1.00 Na2O -0.32 -0.30 0.75** 0.76** 0.04 0.46* 1.00 TiO2 0.13 0.25 -0.40* -0.31 -0.12 -0.19 -0.46* 1.00 MnO -0.34 0.64** -0.10 -0.20 -0.67** -0.50** 0.12 -0.18 1.00 P2O5 0.11 -0.44* -0.31 0.19 0.55** 0.50** -0.15 0.10 -0.60** 1.00 说明:*表示在0.05水平(双侧)上显著相关;**表示在0.01水平(双侧)上显著相关 -
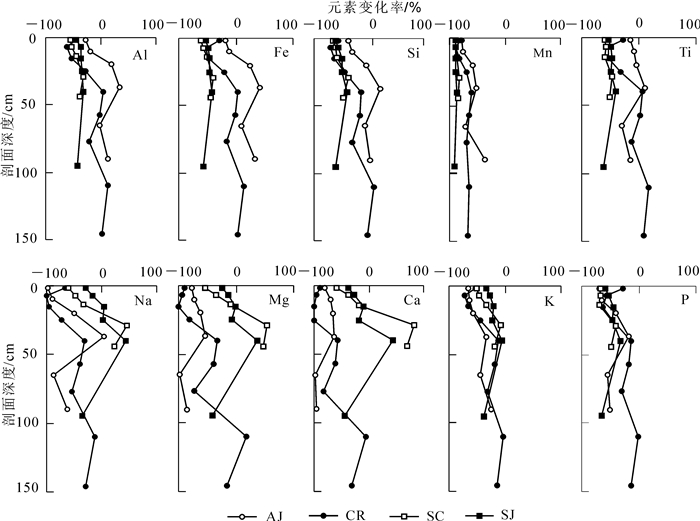
土壤中的矿质元素会随着风化和成土作用发生迁移和再分配,从而出现亏损和富集的现象。通过元素的迁移率,探究元素在土壤剖面中的迁移规律是土壤发生与演化研究的重要方法之一。研究矿质元素在成土作用中的迁移是以稳定元素作为计算基础的,李建武等[8]研究表明:Th在亚热带和热带环境中相对更加稳定,可作为迁移率计算的稳定元素。总体来看,大多数土壤样品相对于Th的迁移率均为负值,即ΔX<0(图 1),表明大部分元素在风化成土过程中相较于母岩出现亏损。易溶元素(如Ca、Na、Mg、K)在剖面中的迁移率表现为明显的负值(最小值可达-99%),表明它们在土壤发育过程中发生了较为强烈的淋失。研究区土壤中Al、Fe、Ti、Mn等元素富集程度不高,在淋溶层存在一定程度的淋失,这可能与研究剖面地处中国亚热带气候区,水热条件充沛有关。
Al、Fe、Ti、Mn等元素在A层(淋溶)出现了一定程度的淋失,但在部分剖面B层(淀积层)及以下部位都有不同程度的富集,这是因为Al、Fe、Ti、Mn等元素在土壤中的存在形式多为稳定不易淋失的化合物。而部分剖面中Si和P出现异常值(富集),这可能与玄武岩球状风化体的存在有关。另外,研究剖面常量元素的迁移率随土壤深度呈现逐渐降低的趋势,指示出研究区玄武岩发育土壤自下而上的风化渐进特征。
-
本研究得出以下结论:①土壤中常量元素以SiO2、Al2O3、Fe2O3和TiO2为主,Al2O3、Fe2O3和TiO2相对富集;CaO、K2O、MgO、Na2O等易溶元素质量分数极低,表明在亚热带高温多雨的气候条件下,常量元素发生了较大程度的迁移。②ICIA和ICIW均揭示了土壤经历了较为强烈的化学风化过程。ICIA、ICIW均沿土壤剖面自下而上逐渐增大,RSa和RSaf沿土壤剖面自下而上先减小后略有增大,反映了原位基岩上发育的土壤自母岩到半风化层到土壤层,风化逐渐加强成壤过程逐渐增强的趋势。而部分剖面土壤表层的RSa和RSaf出现的略有增大趋势,可能与土壤表层SiO2的生物归还作用有关。③土壤中大部分元素的迁移率(ΔX)均为负值,表明土壤发育过程中发生了较为强烈的淋失,在亚热带高温多雨气候条件下,研究区内的土壤经历了较为强烈的化学风化过程。
Weathering characteristics of soil profiles from basalt in eastern Zhejiang Province
-
摘要:
目的探究浙江省东部玄武岩发育土壤的发生演化过程,对当前亚热带地区土壤的发生和演变提供更全面的认识,从而有利于促进对该区域土地资源的高效利用。 方法选取新昌-嵊州盆地4个玄武岩风化壳母质发育土壤剖面,分析土壤的常量元素组成、化学风化指标[化学蚀变指数( I CIA)、化学风化指数( I CIW)]和元素迁移率。 结果① 不同土壤剖面中常量元素质量分数以二氧化硅(SiO 2)、氧化铝(Al 2O 3)和三氧化二铁(Fe 2O 3)为主,三者质量分数可达79%以上。② I CIA为42.81%~87.37%, I CIW为45.04%~91.43%,两者均指示中等强度化学风化。③大多数土壤样品的常量元迁移率为负值。钙(Ca)、钾(K)、镁(Mg)、钠(Na)等易溶元素大量淋失,在剖面中的迁移率表现为明显的负值(最小值可达-99%),铝(Al)、铁(Fe)、钛(Ti)元素在部分剖面的淀积层(B)相对富集,迁移率>0。常量元素的迁移率随土壤深度呈逐渐降低的趋势。 结论① 研究区不同剖面土壤样品的化学组成具有较好的一致性。②研究区较为湿热环境下,土壤经历了较为强烈的化学风化过程。③土壤发育过程符合亚热带地区脱硅富铝铁的基本成土过程。各剖面土壤常量元素迁移率随土壤深度的变化规律,揭示了基岩发育土壤自下而上的风化渐进特征。 Abstract:ObjectiveThis study aims to explore the soil genesis of soil profiles from basalt in eastern Zhejiang Province, and to provide a comprehensive understanding of soil genesis in subtropical regions for efficient use of land resources. MethodFour soil profiles developed from basalt in Xinchang-Shengzhou Basin were selected. The major element composition, chemical weathering indexes[chemical index of alteration( I CIA), chemical index of weathering( I CIW)] and element migration of soil were analyzed. Result(1) The main components in different profiles were SiO 2, Al 2O 3, and Fe 2O 3, whose total content reached over 79%. (2) I CIAvalue was 42.81%-87.37%, and I CIWvalue was 45.04%-91.43%, both indicating moderate strength of chemical weathering. (3) The major element migration of most soil samples was negative. Ca, K, Mg and Na were leached out of the soil in large quantities and the mobility in the profile was significantly negative (up to a minimum value of -99%). Al, Fe and Ti elements were relatively enriched in the deposition layer (B) of some profiles, and the migration rate was over zero. The major element migration gradually decreased with soil depth. Conclusion(1) The chemical composition of the soil samples in different profiles was consistent. (2)The soil in the study area experienced a relatively strong chemical weathering process under the humid and hot environment. (3) The soil genesis conformed to the desilicification and allitization basic soil formation process in subtropical regions. The law of major element migration changing with soil depth in each profile suggested the gradual bottom-up weathering characteristics of the soil developed from the bedrock. -
表 1新嵊盆地玄武岩发育土壤的常量元素质量分数
Table 1.Major element contents in the soils derived from basaltic in Xinchang-Shengzhou Basin
剖面 层次 常量元素质量分数/% Al2O3 CaO Fe2O3 K2O MgO MnO Na2O P2O5 SiO2 TiO2 AJ A 13.53 0.86 14.88 0.52 0.82 0.23 0.10 0.21 46.95 2.92 B 14.47 0.80 14.81 0.42 0.82 0.27 0.55 0.27 46.21 2.18 C 13.17 0.29 14.27 0.61 0.41 0.29 0.49 0.24 48.03 1.88 CR A 13.96 0.52 14.09 1.03 0.38 0.19 0.45 0.55 42.92 2.44 B 14.48 1.35 12.58 1.12 1.65 0.22 1.12 0.43 46.08 2.17 C 13.33 2.60 11.41 1.09 2.20 0.18 1.29 0.43 48.19 2.11 SC A 14.23 3.02 12.67 1.28 3.12 0.19 1.26 0.38 46.55 2.40 B 15.04 4.10 13.03 1.45 4.29 0.19 1.59 0.30 45.89 2.06 C 13.74 6.97 11.72 1.46 5.62 0.19 2.48 0.42 48.63 2.00 SJ A 15.53 3.34 12.81 1.49 3.82 0.16 1.78 0.42 44.98 2.40 B 15.31 3.79 12.31 1.49 4.06 0.14 2.12 0.46 47.67 2.29 C 15.26 4.28 11.91 1.49 4.03 0.14 2.11 0.43 48.12 2.16 表 2玄武岩发育土壤的化学风化指标
Table 2.Chemical weathering indexes of the soils derived from basilt
剖面 层次 RSa RSaf ICIA ICIW AJ A 5.90 3.47 85.63 88.80 B 5.43 3.29 83.76 86.04 C 6.20 3.67 87.37 91.43 CR A 5.23 3.18 83.59 89.58 B 5.42 3.49 73.14 77.95 C 6.15 3.98 63.05 66.85 SC A 5.56 3.55 61.49 65.43 B 5.19 3.34 56.32 59.85 C 6.02 3.90 42.81 45.04 SJ A 4.93 3.23 59.39 63.30 B 5.29 3.50 56.05 59.57 C 5.42 3.61 54.72 58.07 表 3玄武岩发育土壤中不同元素质量分数的相关性
Table 3.Correlation between element contents of soils derived from basilt
化合物 Al2O3 Fe2O3 SiO2 CaO K2O MgO Na2O TiO2 MnO P2O5 Al2O3 1.00 Fe2O3 -0.06 1.00 SiO2 -0.30 -0.54** 1.00 CaO -0.43* -0.57** 0.64** 1.00 K2O -0.52** -0.71** 0.09 0.16 1.00 MgO -0.11 -0.85** 0.43** 0.79** 0.59** 1.00 Na2O -0.32 -0.30 0.75** 0.76** 0.04 0.46* 1.00 TiO2 0.13 0.25 -0.40* -0.31 -0.12 -0.19 -0.46* 1.00 MnO -0.34 0.64** -0.10 -0.20 -0.67** -0.50** 0.12 -0.18 1.00 P2O5 0.11 -0.44* -0.31 0.19 0.55** 0.50** -0.15 0.10 -0.60** 1.00 说明:*表示在0.05水平(双侧)上显著相关;**表示在0.01水平(双侧)上显著相关 -
[1] 吴涌泉.基于微地形下的紫色砂岩和泥岩土壤剖面分异特性研究[D].重庆: 西南大学, 2010.WU Yongquan.The Study of the Distribution of Soil Properties in Soil Profiles and Microtopography Originated from Purple Sandstone and Mudstolle[D]. Chongqing: Southwest University, 2010. [2] AL-KHIRBASH S A. Geology, mineralogy, and geochemistry of low grade Ni-lateritic soil (Oman Mountains, Oman)[J]. Chemie der Erde, 2016, 76: 363-381. [3] 刘琼峰, 李明德, 吴海勇, 等.湖南张家界典型植烟土壤地球化学特征研究[J].中国生态农业学报, 2012, 20(6):757-766.LIU Qiongfeng, LI Mingde, WU Haiyong,et al. Geochemical characteristics of typical tobacco-planting soils in Zhangjiajie mountainous area[J]. Chin J Eco-Agric, 2012, 20(6): 757-766. [4] EFFOUDOU-PRISO E N, ONANA V L, BOUBAKAR L,et al. Relationships between major and trace elements during weathering processes in a sedimentary context: implications for the nature of source rocks in Douala, Littoral Cameroon[J]. Chemie der Erde, 2014, 74: 765-781. [5] 陈武, 任明强, 芦正艳, 等.贵州典型喀斯特区土壤地球化学特征研究[J].中国岩溶, 2010, 29(3):246-252.CHEN Wu, REN Mingqiang, LU Zhengyan,et al. Research on the property of soil geochemistry in typical karst area in Guizhou Province[J]. Carsol Sin, 2010, 29(3): 246-252. [6] RATE A W, SHEIKH-ABDULLAH S M. The geochemistry of calcareous forest soils in Sulaimani Governorate, Kurdistan Region, Iraq[J]. Geoderma, 2017, 289: 54-65. [7] 黄成敏, 龚子同.海南岛北部玄武岩上土壤发生的化学特性研究[J].热带地理, 2001, 21(3):207-212.HUANG Chengming, GONG Zitong. A study on the chemical properties of the soils derived from basalt in northern Hainan island [J]. Trop Geogr, 2001, 21(3): 207-212. [8] 李建武, 张甘霖, 李德成, 等.强烈风化条件下玄武岩发育土壤的元素地球化学特征[J].地球与环境, 2012, 40(4):491-498.LI Jianwu, ZHANG Ganlin, LI Decheng,et al. Mobilization and redistribution of elements in soils developed from extremely weatered basalts on the Hainan Island[J]. Earth Environ, 2012, 40(4): 491-498. [9] 杨艳芳, 李德成, 张甘霖, 等.雷州半岛玄武岩发育的时间序列土壤的发生演变[J].土壤学报, 2010, 47(5):817-825.YANG Yanfang, LI Decheng, ZHANG Ganlin,et al. Evolution of chronosequential soils derived from volcanic basalt on tropical Leizhou Peninsula, south China[J]. Acta Pedol Sin, 2010, 47(5): 817-825. [10] 王人镜, 杨淑荣.浙江嵊县-新昌盆地新生代玄武岩中橄榄石、辉石、斜长石矿物化学及演化的研究[J].岩石学报, 1987, 3(1):27-39.WANG Renjing, YANG Shurong. On the evolution and mineral chemistry of olivine, pyroxene, plagioclase in cenozoic basalts from the Chenxian-Xinchang Basin in Zhejiang Province[J]. Acta Petrol Sin, 1987, 3(1): 27-39. [11] 董传万, 杨树锋, 唐立梅, 等.浙江新昌复合式火成杂岩的岩石学、地球化学及其地质意义[J].高校地质学报, 2008, 14(3):365-376.DONG Chuanwan, YANG Shufeng, TANG Limei,et al. Petrology and geochemistry of the Xinchang composite igneous complexes, Zhejiang and their geological implication[J]. Geol J China Univs, 2008, 14(3): 365-376. [12] 翁世劼, 黄海, 孔庆寿, 等.浙江省新生代玄武岩岩石化学特征与成因探讨[J].中国地质科学院南京地质矿产研究所所刊, 1985, 6(2):36-55.WENG Shijie, HUANG Hai, KONG Qingshou,et al. Petrochemical characteristics of cenozoic basalts, Zhejiang Province, and the genetic discussion[J]. Bull Nanjing Inst Geol M R. Chin Acad Geol Sci, 1985, 6(2): 36-55. [13] 中国科学院南京土壤研究所.土壤理化分析[M].上海:上海科学技术出版社, 1978. [14] NESBITT H W, MARKOVICS G. Weathering of granodioritic crust, long-term storage of elements in weathering profiles, and petrogenesis of siliciclastic sediments[J]. J Geochem Soc Meteorit Soc, 1997, 61(8): 1653-1670. [15] 吴志东, 龚子同.我国热带、亚热带土壤地球化学类型的主组元分析[J].土壤学报, 1983, 20(4):431-439.WU Zhidong, GONG Zitong. The principal component analysis of soil geochemical types in the tropical and subtropical China[J]. Acta Pedol Sin, 1983, 20(4): 431-439. [16] HARNOIS L. The CIW index: a new chemical index of weathering[J]. Sediment Geol, 1988, 55(3/4): 319-322. [17] NESBITT H W, YOUNG G M. Early proterozoic climates and plate motions inferred from major element chemistry of lutites [J]. Nature, 1982, 299: 715-717. [18] 冯连君, 储雪蕾, 张启锐, 等.化学蚀变指数(CIA)及其在新元古代碎屑岩中的应用[J].地学前缘, 2003, 10(4):539-544.FENG Lianjun, CHU Xuelei, ZHANG Qirui,et al. CIA (chemical index of alteration) and its applications in the Neoproterozoic clastic rocks[J]. Earth Sci Front, 2003, 10(4): 539-544. -
- 链接本文:
https://zlxb.zafu.edu.cn/article/doi/10.11833/j.issn.2095-0756.2020.02.009






下载:

